Form: S-1

General form of registration statement for all companies including face-amount certificate companies

November 20, 2014


As filed with the Securities and Exchange Commission on November 20, 2014

Registration No. 333-            


UNITED STATES
SECURITIES AND EXCHANGE COMMISSION
Washington, D.C. 20549



FORM S-1
REGISTRATION STATEMENT
UNDER
THE SECURITIES ACT OF 1933



TREVENA, INC.
(Exact name of registrant as specified in its charter)



Delaware
(State or other jurisdiction of
incorporation or organization)
  2834
(Primary Standard Industrial
Classification Code Number)
  26-1469215
(I.R.S. Employer
Identification Number)

1018 West 8th Avenue, Suite A
King of Prussia, PA 19406
(610) 354-8840
(Address, including zip code, and telephone number, including
area code, of registrant's principal executive offices)



John M. Limongelli, Esq.
Senior Vice President, General Counsel and Secretary
Trevena, Inc.
1018 West 8th Avenue, Suite A
King of Prussia, PA 19406
(610) 354-8840

(Name, address, including zip code,
and telephone number, including area code, of agent for service)



Copies to:

Brent B. Siler, Esq.
Derek O. Colla, Esq.
Cooley LLP
11951 Freedom Drive
Reston, Virginia 20190
Telephone: (703) 456-8000
Fax: (703) 456-8100

 

Peter N. Handrinos, Esq.
Michael E. Sullivan, Esq.
Latham & Watkins LLP
John Hancock Tower
200 Clarendon Street
Boston, MA 02116
Telephone: (617) 948-6000
Fax: (617) 948-6001



Approximate date of commencement of proposed sale to the public:
As soon as practicable after the effective date of this registration statement.



          If any of the securities being registered on this Form are to be offered on a delayed or continuous basis pursuant to Rule 415 under the Securities Act of 1933, check the following box.    o

          If this Form is filed to register additional securities for an offering pursuant to Rule 462(b) under the Securities Act, check the following box and list the Securities Act registration statement number of the earlier effective registration statement for the same offering.    o

          If this Form is a post-effective amendment filed pursuant to Rule 462(c) under the Securities Act, check the following box and list the Securities Act registration statement number of the earlier effective registration statement for the same offering.    o

          If this Form is a post-effective amendment filed pursuant to Rule 462(d) under the Securities Act, check the following box and list the Securities Act registration number of the earlier effective registration statement for the same offering.    o

          Indicate by check mark whether the registrant is a large accelerated filer, an accelerated filer, a non-accelerated filer, or a smaller reporting company. See the definitions of "large accelerated filer," "accelerated filer" and "smaller reporting company" in Rule 12b-2 under the Securities Exchange Act of 1934. (Check one):

Large Accelerated Filer o   Accelerated Filer o   Non-accelerated Filer o
(Do not check if a
smaller reporting company)
  Smaller Reporting Company ý



CALCULATION OF REGISTRATION FEE

       
 
Title of Each Class of
Securities to be Registered

  Proposed Maximum
Aggregate Offering Price(1)(2)

  Amount of
Registration Fee

 

Common Stock, par value $0.001 per share

  $46,000,000   $5,346

 

(1)
Includes shares that the underwriters have the option to purchase.

(2)
Estimated solely for the purpose of calculating the registration fee pursuant to Rule 457(o) under the Securities Act of 1933, as amended.



          The registrant hereby amends this Registration Statement on such date or dates as may be necessary to delay its effective date until the registrant shall file a further amendment that specifically states that this Registration Statement shall thereafter become effective in accordance with Section 8(a) of the Securities Act of 1933, as amended, or until the registration statement shall become effective on such date as the Commission, acting pursuant to said Section 8(a), may determine.

   


Table of Contents

Subject to Completion, dated November 20, 2014

The information in this preliminary prospectus is not complete and may be changed. These securities may not be sold until the registration statement filed with the Securities and Exchange Commission is effective. This preliminary prospectus is not an offer to sell nor does it seek an offer to buy these securities in any jurisdiction where the offer or sale is not permitted.

PROSPECTUS



$40,000,000

GRAPHIC


Trevena, Inc.

Common Stock


This is an offering of $40,000,000 of shares of the common stock of Trevena, Inc. All of the shares of common stock are being sold by us.

Our common stock trades on the NASDAQ Global Select Market under the symbol "TRVN." On November 18, 2014, the last reported trading price of our stock was $5.87 per share.

We are an "emerging growth company" as that term is used in the Jumpstart Our Business Startups Act of 2012 and, as such, have elected to comply with certain reduced public company reporting requirements.

Investing in our common stock involves risks. See "Risk Factors" beginning on page 14 of this prospectus.

 
  Per Share   Total  

Price to the public

  $     $    

Underwriting discounts and commissions1

  $     $    

Proceeds to Trevena (before expenses)

  $     $    

1
We refer you to "Underwriting" beginning on page 164 of this prospectus for additional information regarding underwriter compensation.

We have granted the underwriters the option to purchase up to $6,000,000 of additional shares of common stock on the same terms and conditions set forth above.

Neither the Securities and Exchange Commission nor any state securities commission has approved or disapproved of these securities or passed upon the accuracy or adequacy of this prospectus. Any representation to the contrary is a criminal offense.

The underwriters expect to deliver the shares on or about                           , 2014.


Barclays   Cowen and Company   Jefferies



JMP Securities   Needham & Company

   

Prospectus dated                           , 2014.


TABLE OF CONTENTS



        We have not authorized anyone to provide any information or to make any representations other than those contained in this prospectus or in any free writing prospectuses we have prepared. We take no responsibility for, and can provide no assurance as to the reliability of, any other information that others may give you. This prospectus is an offer to sell only the shares offered hereby, but only under circumstances and in jurisdictions where it is lawful to do so. The information contained in this prospectus is current only as of its date.

        For investors outside the United States: We have not and the underwriters have not done anything that would permit this offering or possession or distribution of this prospectus in any jurisdiction where action for that purpose is required, other than in the United States. Persons who come into possession of this prospectus and any applicable free writing prospectus in jurisdictions outside the United States are required to inform themselves about and to observe any restrictions as to this offering and the distribution of this prospectus and any such free writing prospectus applicable to that jurisdiction.

i


Table of Contents



PROSPECTUS SUMMARY

        This summary highlights information contained elsewhere in this prospectus and does not contain all of the information that you should consider in making your investment decision. Before investing in our common stock, you should carefully read this entire prospectus, including our financial statements and the related notes thereto and the information set forth under the sections "Risk Factors" and "Management's Discussion and Analysis of Financial Condition and Results of Operations," in each case included in this prospectus. Unless the context otherwise requires, we use the terms "Trevena," "company," "we," "us" and "our" in this prospectus to refer to Trevena, Inc.

Company Overview

        We are a clinical stage biopharmaceutical company that discovers, develops and intends to commercialize therapeutics that use a novel approach to target G protein coupled receptors, or GPCRs. Using our proprietary product platform, we have identified and advanced three differentiated product candidates into the clinic as follows:

    •
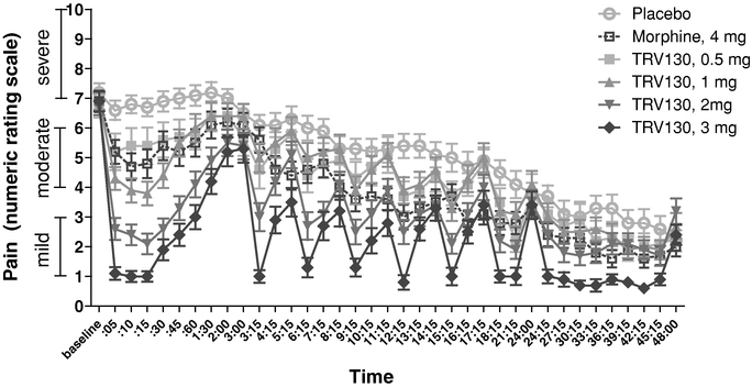
    TRV130:  We recently announced top-line data from our Phase 2a/b clinical trial of TRV130 in postoperative pain. At doses of 2 mg and 3 mg of TRV130 administered every three hours, the trial achieved its primary endpoint of statistically greater pain reduction than placebo for 48 hours, which we believe demonstrates proof of concept for TRV130. The 3 mg dose of TRV130 also showed statistically superior analgesic efficacy over the 48-hour trial period compared to 4 mg of morphine administered every four hours. Additionally, in the first three hours of dosing, when pain was most severe, the 1 mg, 2 mg and 3 mg doses of TRV130 demonstrated superior analgesic efficacy in the trial compared to placebo, and the 2 mg and 3 mg doses of TRV130 demonstrated superior analgesic efficacy compared to 4 mg of morphine. There were no serious adverse events reported in the trial, which we believe suggests that these levels of pain relief can be achieved safely. Over the 48-hour trial period, the tolerability of TRV130 at doses of 2 mg and 3 mg administered every three hours was similar to that of 4 mg of morphine administered every four hours. Based on these data, we plan to move into Phase 3 preparations, which we expect to occur in parallel with a second Phase 2 trial we are planning for TRV130. These data complement the data generated in our Phase 1b trial, in which TRV130 showed superior efficacy with an improved tolerability profile following a single dose of TRV130 relative to a 10 mg dose of morphine in a human evoked-pain model. We hold a U.S. patent covering the composition of matter and methods of use for TRV130. We have retained all worldwide development and commercialization rights to TRV130, and plan to commercialize it in acute care markets such as hospitals and ambulatory surgery centers if it receives regulatory approval.

    •
    TRV734:  We have completed a first Phase 1 single ascending dose clinical trial for TRV734, an oral follow-on to TRV130 for the treatment of moderate to severe acute and chronic pain. We have completed enrollment in a second Phase 1 multiple ascending dose clinical trial and expect to report data from this trial early in the first quarter of 2015. We have retained all worldwide development and commercialization rights to TRV734.

    •
    TRV027:  We have completed a Phase 2a clinical trial and in early 2014 we initiated a Phase 2b clinical trial of TRV027 for acute heart failure, or AHF. Enrollment in this trial is ongoing, with over 200 patients recruited out of planned enrollment of approximately 500 patients. More than 65 sites in 12 countries are now open and recruiting, and we expect patient enrollment will conclude in the third quarter of 2015. We expect to report top-line data from this trial in the fourth quarter of 2015. Actavis plc, or Actavis, has the exclusive option to license TRV027 from us. We plan for TRV027 to be commercialized in the acute care hospital market if it receives regulatory approval.

 

1


Table of Contents

        We also plan to identify a product candidate from our preclinical d-opioid receptor program focused on central nervous system, or CNS, indications in 2014 and to advance the product candidate to preclinical studies in 2015 that would support our submission of an investigational new drug application, or IND, to the U.S. Food and Drug Administration, or FDA.

Our Pipeline

GRAPHIC

Our Platform

        GPCRs are a large family of cell surface receptors that trigger two signaling pathways, G protein and b-arrestin, and are implicated in cellular function and disease processes. More than 30% of all currently marketed therapeutics target GPCRs. Currently available therapeutics that target GPCRs, or GPCR ligands, are typically not signal specific, and therefore either inhibit both the G protein and b-arrestin pathways (an antagonist ligand) or activate both pathways (an agonist ligand). This lack of signal specificity often results in a suboptimal therapeutic profile for these drugs because in many cases one of the pathways is associated with a beneficial therapeutic effect and the other is associated with limiting that benefit or with an undesirable side effect (see Figure 1). We use our proprietary Advanced Biased Ligand Explorer, or ABLE, product platform to identify "biased" ligands, which are compounds that activate one of the two signaling pathways of the GPCR while inhibiting the other (see Figure 2). This signaling specificity is the basis for our drug discovery and development approach, which is to identify selective GPCR biased ligands and develop them into differentiated clinical products. While some GPCRs trigger other signaling pathways in addition to G protein and b-arrestin, most GPCRs trigger those two pathways.

        Our ABLE product platform is a collection of proprietary biological information, in vitro assays, know-how and expertise that we use to identify unique GPCR-targeted biased ligands with attractive pharmaceutical properties. Our in vitro assays use cells that have the receptor of interest on the cell surface, where G protein and b-arrestin signaling from that receptor can be measured to determine if a

 

2


Table of Contents

particular ligand is biased, and if so whether it is a G protein or b-arrestin biased ligand. Our assays can also measure different cellular responses resulting from signaling through b-arrestin and can thereby help us to associate pharmacological responses with molecular signaling. Most components of our ABLE product platform are maintained as trade secrets, but the output of the product platform is reflected in the product candidates that we have advanced into clinical testing and the research we have published in numerous peer-reviewed journals. We believe that our ABLE product platform provides us with an important competitive advantage in identifying further opportunities for efficient and high-impact biased ligand drug discovery, development and commercialization.

        We were founded in late 2007 to discover and develop product candidates based on biased ligands, a concept discovered by our scientific founder, Dr. Robert Lefkowitz, who was awarded the 2012 Nobel Prize in Chemistry in part for his elucidation of the multiple pathways that a GPCR engages. We believe that we are the first company to progress a GPCR biased ligand into clinical trials. The members of our executive management team have held senior positions at leading pharmaceutical and biotechnology companies and possess substantial experience across the spectrum of drug discovery, development and commercialization.


Figure 1: Mechanism of current GPCR-targeted drugs

GRAPHIC


Figure 2: Mechanism of our biased ligands—the next generation of GPCR-targeted drugs

GRAPHIC

 

3


Table of Contents

CNS Portfolio

TRV130

        TRV130 is a small molecule G protein biased ligand at the µ-opioid receptor that we are developing as a first-line treatment for patients experiencing moderate to severe acute pain where intravenous, or IV, administration is preferred. The µ-opioid receptor is a well-established target for analgesics such as fentanyl and morphine, which are unbiased µ-opioid agonists. TRV130 activates the µ-opioid G protein pathway, associated with analgesia, and inhibits the b-arrestin pathway, which, in preclinical studies, was associated with limiting opioid analgesia, and with promoting opioid-induced respiratory depression and constipation. We believe that the management of moderate to severe, acute postoperative pain represents the largest opportunity for an intravenously administered µ-opioid therapy like TRV130. Accordingly, we have focused our initial clinical trials on the treatment of surgical patients. We believe that delivering better pain relief or mitigating dose limiting side effects typically associated with the activation of the µ-opioid receptor will position TRV130, if approved, to more effectively treat postoperative pain than currently available µ-opioid therapies.

        According to data from IMS Health, a healthcare information firm, in 2013 there were approximately 47 million hospital inpatient stays and outpatient visits during which reimbursement claims for injectable opioids were made, 20 million of which involved a surgical procedure. Given its pharmacokinetic, tolerability and efficacy profile in our Phase 1 and Phase 2a/b clinical trials, we believe that both the inpatient and outpatient settings could be appropriate for TRV130 use. Despite the adoption of postoperative pain management guidelines, significant unmet need remains. In a 2012 survey of 300 surgical patients in the United States, over 80% of patients reported postoperative pain after the first analgesic medication had been administered, and 40% of those patients reported this pain to be moderate or severe. Currently available m-opioid agonists, such as morphine and fentanyl, are the most effective class of analgesics for moderate to severe acute postoperative pain, but their effectiveness is limited in part because their doses are limited by severe side effects such as respiratory depression, nausea and vomiting, constipation and postoperative ileus, which is a condition that most commonly occurs after surgery involving interruption of movement of the intestines in which the bowel enters spasm and stops passing food and waste.

        We have announced top-line data from our Phase 2a/b clinical trial of TRV130 in postoperative pain. At doses of 2 mg and 3 mg of TRV130 administered every three hours, the trial achieved its primary endpoint of statistically greater pain reduction than placebo for 48 hours, which we believe demonstrates proof of concept for TRV130. The 3 mg dose of TRV130 also showed statistically superior analgesic efficacy over the 48-hour trial period compared to 4 mg of morphine administered every four hours. Additionally, in the first three hours of dosing, when pain was most severe, the l mg, 2 mg and 3 mg doses of TRV130 demonstrated superior analgesic efficacy in the trial compared to placebo, and the 2 mg and 3 mg doses of TRV130 demonstrated superior analgesic efficacy compared to 4 mg of morphine. There were no serious adverse events reported in the trial, which we believe suggests that these levels of pain relief can be achieved safely. Over the 48-hour trial period, the tolerability of TRV130 at doses of 2 mg and 3 mg administered every three hours was similar to that of 4 mg of morphine administered every four hours. Based on these data, we plan to move into Phase 3 preparations, which we expect to occur in parallel with a second Phase 2 trial we are conducting for TRV130.

        In our Phase 1b clinical trial in healthy subjects using an evoked-pain model, TRV130 showed superior analgesia compared to a high dose of morphine following a single dose administration, while causing less respiratory depression, less severe nausea and less vomiting. Together with our top-line Phase 2a/b data, we believe these results suggest that TRV130 may have an improved clinical profile in terms of efficacy, safety and tolerability compared to unbiased µ-opioid agonists, which are the current standard of care.

 

4


Table of Contents

        We plan to initiate a second Phase 2 clinical trial in the fourth quarter of 2014 in soft tissue pain to inform Phase 3 development, since efficacy in both hard and soft tissue pain would be required by the FDA for a broad label in the treatment of acute moderate to severe pain. This trial will use flexible, as-needed dosing to allow patients to control the balance of efficacy and tolerability as their needs change over time. We expect to report top-line data from this second Phase 2 clinical trial in mid-2015. Prior to later-phase clinical development, we are also conducting or planning additional Phase 1 clinical testing in healthy subjects to add to our clinical understanding of TRV130.

        We intend to retain full commercialization rights in the United States for TRV130. After the availability of the final Phase 2a/b clinical data for TRV130, we may seek collaborators for commercializing TRV130 outside of the United States to offset risk and preserve capital. We may also seek to collaborate with a third party to evaluate novel formulations of TRV130 for chronic pain and breakthrough pain. We have an issued U.S. patent that covers TRV130, compositions comprising TRV130 and methods of using TRV130, and this patent is expected to expire no earlier than 2032.

TRV734

        TRV734 is a small molecule G protein biased ligand targeting the µ-opioid receptor, which we are developing as a first-line, orally administered compound for the treatment of moderate to severe acute and chronic pain. Like TRV130, TRV734 takes advantage of a well-established mechanism of pain relief by targeting the µ-opioid receptor, but does so with enhanced selectivity for the G protein signaling pathway, which in preclinical studies was linked to analgesia, as opposed to the b-arrestin signaling pathway, which in preclinical studies was associated with limiting analgesic efficacy and with promoting opioid-induced respiratory depression and constipation. Subject to successful non-clinical and clinical development and regulatory approval, we believe TRV734 may have an improved profile of efficacy relative to tolerability, or therapeutic profile, as compared to current commonly prescribed oral analgesics, such as oxycodone. We have filed patent applications covering TRV734 and methods of using TRV734.

        In a Phase 1 single ascending dose clinical trial in healthy subjects, using pupil constriction as a surrogate for the analgesic efficacy of opioid drugs, orally administered TRV734 showed pharmacokinetics and pharmacodynamics across a dose range that was generally safe and well tolerated. These data supported further development, and we have completed enrollment in a second Phase 1 clinical trial, which is a multiple ascending dose trial evaluating the safety, tolerability, pharmacodynamics and pharmacokinetics of TRV734 given as a single dose and as multiple ascending doses in healthy volunteers. The aim of this trial is to support Phase 2 development, and top line data are expected early in the first quarter of 2015. We intend to seek a collaborator with experience in developing and commercializing controlled-substance therapeutics in acute and chronic care pain markets, thereby leveraging their expertise while retaining rights to commercialize TRV734 in treatment settings for which we can leverage our commercial strategy for TRV130.

d-opioid receptor program

        We are pursuing a research program to identify a small molecule G protein biased ligand targeting the d-opioid receptor for the treatment of CNS disorders, which may include migraine, Parkinson's disease or neuropathic pain. We expect to identify a product candidate by the end of 2014. We intend to seek a collaborator with CNS experience to leverage their expertise in development and commercialization of a d-opioid receptor product candidate, retaining rights for any acute care indications in the United States.

 

5


Table of Contents

Cardiovascular Program

TRV027

        We are developing TRV027 as a first-line IV treatment in combination with standard diuretic therapy for AHF patients. TRV027 is a peptide b-arrestin biased ligand that targets the angiotensin II type 1 receptor, or AT1R, which is a GPCR expressed on cells in the cardiovascular system. TRV027 inhibits G protein signaling and activates b-arrestin signaling. In our Phase 2a clinical trial, TRV027 rapidly reduced blood pressure and preserved renal, or kidney, function, while preserving cardiac performance. We are enrolling patients in a Phase 2b clinical trial to evaluate the safety and efficacy of TRV027 in AHF. Over 200 patients have been recruited out of planned enrollment of approximately 500 patients. More than 65 sites in 12 countries are open and recruiting, and we expect patient enrollment to conclude in the third quarter of 2015. We expect to report data from this trial by the end of the fourth quarter of 2015. If subsequent Phase 3 development is successful and TRV027 is approved by regulatory authorities, we believe TRV027 would be used as a first-line in-hospital AHF treatment. We also believe TRV027 could improve AHF symptoms, shorten length of hospital stay in the short term, and potentially lower readmission rates and mortality rates in the long term.

        There are over 20 million people living with heart failure in the United States and Europe, according to the American Heart Association and the European Society of Cardiology. AHF, also sometimes referred to as acute decompensated heart failure, is heart failure requiring hospitalization. AHF patients present with severe dyspnea, a serious shortness of breath sometimes described as "air hunger," and fluid overload, leading to an inability to perform simple functions such as standing and walking short distances. This can also lead to organ dysfunction, including dysfunction in the kidneys and heart. The National Hospital Discharge Survey reported over five million hospital discharges in the United States in 2010 where heart failure was listed as a component of the diagnosis, over one million of which listed heart failure as the primary diagnosis. TRV027 has shown beneficial effects on the three key organ systems affected in heart failure, the blood vessels, heart and kidneys in our preclinical studies and Phase 1b and 2a clinical trials. In combination with standard diuretics, we believe these effects may translate into improvements in symptoms and outcomes such as hospital readmission rates, length of hospital stay and mortality rates if TRV027 successfully completes Phase 3 development and is approved by regulatory authorities.

        Safety and tolerability issues limit the effectiveness of currently available AHF treatments. We believe that TRV027's tolerability profile differentiates it from current therapies. In healthy subjects in our Phase 1 clinical trial, there were no serious adverse events, even at doses 20 times higher than the expected therapeutic dose. In addition, there were no TRV027-related serious adverse events in a Phase 2a clinical trial in medically fragile, advanced chronic heart failure subjects and no clinically significant adverse events in subjects with heart failure and concomitant renal impairment. Finally, in preclinical toxicology studies, TRV027 had a favorable profile at doses up to 500 times the expected therapeutic dose.

        In May 2013, we entered into an option agreement and a license agreement with Forest Laboratories Holdings Limited, or Forest, under which we granted to Forest an exclusive option to license TRV027, which may be exercised at any time before we deliver our Phase 2b clinical trial results to Forest and during a specified period of time thereafter. In July 2014, Actavis plc, or Actavis, acquired Forest, including Forest's option to TRV027. If Actavis exercises its option, the license agreement between us and Actavis will become effective, and Actavis will have an exclusive worldwide license to develop and commercialize TRV027 and specified related compounds. Actavis will be responsible for subsequent development, regulatory approval and commercialization of TRV027 at Actavis's expense. If Actavis exercises the option, we would receive a $65 million option exercise fee and could potentially receive up to $365 million depending upon the achievement of future development and commercial milestones. We could also receive tiered royalties between 10% and 20%

 

6


Table of Contents

on net sales of licensed products worldwide, with the royalty rates on net sales of licensed products in the United States being somewhat higher than the royalty rates on net sales of licensed products outside the United States. We have three issued U.S. patents covering the composition of matter and method of use of TRV027 that are expected to expire no earlier than 2031 and 2029, respectively.

Our Strategy

        Our goal is to build a leading biopharmaceutical company leveraging our expertise in biased ligands to develop and commercialize innovative, best-in-class drugs targeting established GPCRs. Key elements of our business strategy to achieve this goal are to:

    •
    rapidly advance development of our three clinical-stage product candidates, TRV130, TRV734 and TRV027, to commercialization;

    •
    establish commercialization and marketing capabilities in the United States, initially in acute care markets, for any of our product candidates that are approved or that we anticipate may be approved;

    •
    expand our CNS product portfolio by advancing our preclinical d-opioid receptor program; and

    •
    leverage our ABLE product platform to continue to discover innovative biased ligand therapeutics and expand our product platform's impact through external collaborations.


Financial Overview

        Our revenue to date has been generated primarily through research grants and a research collaboration. We have not generated any commercial product revenue. As of September 30, 2014, we had $72.2 million of cash and cash equivalents and an accumulated deficit of $118.7 million.

        In September 2014, we announced we had entered into a $35.0 million senior secured tranched term loan credit facility with Oxford Finance LLC and Square 1 Bank, of which we have drawn $2.0 million as of the date of this prospectus. The facility also provides for up to two additional term loan tranches of $16.5 million each. Based on the top-line results of the Phase 2a/b clinical trial of TRV130 announced in November 2014, we believe we have met the conditions to draw the second tranche of $16.5 million tranche from the credit facility. We may opt to draw the third term loan tranche if we receive positive data from the Phase 2 clinical trial of TRV027.

        We believe that existing cash and the available borrowings under the second tranche of our credit facility, excluding any potential future draw from our credit facility if we receive positive data from the Phase 2 study of TRV027, plus the net proceeds from the offering will be sufficient to fund our operations through the end of 2016.


Risks Associated with Our Business

        Our business is subject to a number of risks of which you should be aware before making an investment decision. These risks are discussed more fully in the "Risk Factors" section of this prospectus. These risks include the following:

    •
    We will need substantial additional funding to pursue our business objectives. If we are unable to raise capital when needed, we could be forced to delay, reduce or eliminate our drug development programs or potential commercialization efforts.

    •
    We are early in our development efforts and have only two product candidates, TRV027 and TRV130, in Phase 2, and one more, TRV734, in Phase 1. If we, or Actavis if it exercises its option to license TRV027, are unable to commercialize our product candidates or experience significant delays in doing so, our business will be materially harmed.

 

7


Table of Contents

    •
    Our preclinical d-opioid receptor program may not successfully identify a product candidate.

    •
    If Actavis exercises its option to license TRV027, that relationship will be significant to our business. If Actavis' development and commercialization of TRV027 is not successful, our business could be adversely affected.

    •
    We have incurred significant losses since our inception. We expect to continue to incur losses over the next several years and may never achieve or maintain profitability.

    •
    We face substantial competition, which may result in others discovering, developing or commercializing drugs before or more successfully than we do.

    •
    Our future success depends on our ability to retain key executives and to attract, retain and motivate qualified personnel.


Corporate Information

        We were incorporated under the laws of the State of Delaware in November 2007. Our principal executive office is located at 1018 West 8th Avenue, Suite A, King of Prussia, Pennsylvania 19406. Our telephone number is (610) 354-8840. Our website address is www.trevenainc.com. The information contained on our website is not incorporated by reference into this prospectus, and you should not consider any information contained on, or that can be accessed through, our website as part of this prospectus or in deciding whether to purchase our common stock.

        "Trevena", the Trevena logo and other trademarks or service marks of Trevena, Inc. appearing in this prospectus are the property of Trevena, Inc. This prospectus contains additional trade names, trademarks and service marks of others, which are the property of their respective owners.


Implications of Being an Emerging Growth Company

        As a company with less than $1 billion in revenue during our last fiscal year, we qualify as an "emerging growth company" as defined in the Jumpstart Our Business Startups Act of 2012, or the JOBS Act. For so long as we remain an emerging growth company, we are permitted and intend to rely on exemptions from specified disclosure requirements that are applicable to other public companies that are not emerging growth companies. These exemptions include:

    •
    Being permitted to provide only two years of audited financial statements, in addition to any required unaudited interim financial statements, with correspondingly reduced "Management's Discussion and Analysis of Financial Condition and Results of Operations" disclosure;

    •
    Not being required to comply with the auditor attestation requirements in the assessment of our internal control over financial reporting;

    •
    Not being required to comply with any requirement that may be adopted by the Public Company Accounting Oversight Board regarding mandatory audit firm rotation or a supplement to the auditor's report providing additional information about the audit and the financial statements;

    •
    Reduced disclosure obligations regarding executive compensation; and

    •
    Exemptions from the requirements of holding a nonbinding advisory vote on executive compensation and shareholder approval of any golden parachute payments not previously approved.

        We may take advantage of these provisions through 2019 or such earlier time that we are no longer an emerging growth company. We would cease to be an emerging growth company if we have more than $1 billion in annual revenue, have more than $700 million in market value of our capital stock held by non-affiliates or issue more than $1 billion of non-convertible debt over a three-year

 

8


Table of Contents

period. We may choose to take advantage of some, but not all, of the available exemptions. We have taken advantage of some reduced reporting burdens in this prospectus. Accordingly, the information contained herein may be different than the information you receive from other public companies in which you hold stock.

        In addition, the JOBS Act provides that an emerging growth company can take advantage of an extended transition period for complying with new or revised accounting standards. This provision allows an emerging growth company to delay the adoption of some accounting standards until those standards would otherwise apply to private companies. We have irrevocably elected not to avail ourselves of this exemption from new or revised accounting standards and, therefore, we will be subject to the same new or revised accounting standards as other public companies that are not emerging growth companies.

 

9


Table of Contents

 


The Offering

Common stock offered by Trevena

 

$40,000,000 of shares of common stock.

Total common stock to be outstanding after this offering

 

            shares (                shares if the underwriters elect to exercise their option to purchase additional shares from us in full).

Option to purchase additional shares of common stock

 

The underwriters have an option to purchase a maximum of $6,000,000 of additional shares from us. The underwriters can exercise this option at any time within 30 days from the date of this prospectus.

Use of proceeds

 

We expect the net proceeds to us from this offering, after expenses, to be approximately $             million, or            approximately $             million if the underwriters exercise their option to purchase additional shares from us in full. We intend to use the net proceeds from this offering as follows:

 

•

to fund approximately $30.0 million of clinical development expenses, including for our ongoing Phase 2b clinical trial of TRV027, our completion of Phase 2 and initiation of Phase 3 clinical trials for TRV130 and the conduct of development activities for TRV734; and

 

•

the remaining proceeds will be used for preclinical research and development efforts and for working capital and general corporate purposes.

 

See "Use of Proceeds" on page 51 for additional information.

Risk factors

 

See the section titled "Risk Factors" beginning on page 14 and the other information included in this prospectus for a discussion of factors you should carefully consider before deciding to invest in our common stock.

NASDAQ Global Select Market symbol

 

TRVN

        The number of shares of our common stock that will be outstanding after this offering is based on 26,376,626 shares of common stock outstanding as of September 30, 2014 and assumes the sale of $40,000,000 of shares of common stock at an assumed public offering price of $            per share, which was the last reported sale price of our common stock on the NASDAQ Global Select Market on                                    , 2014. A 5% increase or decrease in the assumed public offering price of $            per share would decrease or increase the number of shares of our common stock issued in this offering by approximately 5%.

        The number of shares of our common stock that will be outstanding after this offering set forth above excludes:

    •
    3,552,124 shares of our common stock issuable upon the exercise of stock options outstanding under our 2008 Equity Incentive Plan and 2013 Equity Incentive Plan as of September 30, 2014, at a weighted average exercise price of $3.72 per share;

 

10


Table of Contents

    •
    30,258 shares of our common stock issuable upon exercise of warrants outstanding as of September 30, 2014, at a weighted average exercise price of $5.62 per share;

    •
    33,000 shares of our common stock issuable upon the exercise of stock options granted after September 30, 2014, at a weighted average exercise price of $5.18 per share; and

    •
    868,235 shares of our common stock reserved for future issuance as of September 30, 2014 under our 2013 Equity Incentive Plan and our employee stock purchase plan.

        Except as otherwise indicated herein, all information in this prospectus, including the number of shares that will be outstanding after this offering, assumes or gives effect to:

    •
    no exercise of options or warrants outstanding as of September 30, 2014; and

    •
    no exercise of the underwriters' option to purchase additional shares in this offering.

 

11


Table of Contents

 


Summary Financial Data

        The following tables set forth our summary financial data for the periods indicated. The following summary financial data for the years ended December 31, 2012 and 2013 are derived from our audited financial statements, which have been audited by Ernst & Young LLP, our independent registered public accounting firm, appearing elsewhere in this prospectus. We have derived the following summary of our statement of operations data for the nine months ended September 30, 2013 and 2014 and the balance sheet data as of September 30, 2014 from our unaudited condensed financial statements appearing elsewhere in this prospectus.

        The financial data for the nine months ended September 30, 2013 and 2014 and as of September 30, 2014 includes, in the opinion of our management, all adjustments, consisting only of normal recurring adjustments that are necessary for a fair presentation of our financial position and results of operations for these periods. Our historical results are not necessarily indicative of the results to be expected in the future, and our operating results for the nine months ended September 30, 2014 are not necessarily indicative of the results that may be expected for the entire year ending December 31, 2014.

        This summary financial data should be read together with the historical financial statements and related notes to those statements, as well as "Management's Discussion and Analysis of Financial Condition and Results of Operations," which are included elsewhere in this prospectus.

 
  Year Ended
December 31,
  Nine Months Ended
September 30,
 
 
  2012   2013   2013   2014  
 
  (in thousands, except share and per share data)
 

Statement of Operations Data:

                         

Total revenue

  $ 808   $ 135   $ 135   $ —  

Operating expenses:

                         

General and administrative

    3,123     4,718     2,843     7,034  

Research and development

    13,295     18,762     12,240     29,671  
                   

Total operating expenses

    16,418     23,480     15,083     36,705  
                   

Loss from operations

    (15,610 )   (23,345 )   (14,948 )   (36,705 )

Total other income (expense)

    (26 )   94     (1,398 )   301  
                   

Net loss and comprehensive loss

    (15,636 )   (23,251 )   (16,346 )   (36,404 )

Accretion of redeemable convertible preferred stock

    (316 )   (334 )   (248 )   (28 )
                   

Net loss attributable to common stockholders

  $ (15,952 ) $ (23,585 ) $ (16,594 ) $ (36,432 )
                   
                   

Net loss per share—basic and diluted

  $ (23.70 ) $ (29.71 ) $ (22.23 ) $ (1.58 )
                   
                   

Weighted average shares of common stock outstanding used in computing net loss per share—basic and diluted

    673,191     793,806     746,587     23,036,366  
                   
                   

 

12


Table of Contents

        The following table presents our summary balance sheet data:

    •
    on an actual basis as of September 30, 2014; and

    •
    on an as adjusted basis to give effect to our sale of $40,000,000 of shares of common stock in this offering at an assumed public offering price of $            per share, which was the last reported sale price of our common stock on the NASDAQ Global Select Market on                                , 2014, after deducting estimated underwriting discounts and commissions and estimated offering expenses payable by us.

 
  As of September 30, 2014  
 
  Actual   As adjusted  
 
  (in thousands)
 

Balance Sheet Data:

             

Cash and cash equivalents

  $ 72,225   $    

Total assets

    73,956        

Total liabilities

    9,696        

Total stockholders' equity

    64,260        

 

13


Table of Contents


RISK FACTORS

        Investing in our common stock involves a high degree of risk. Before you invest in our common stock, you should carefully consider the following risks, as well as general economic and business risks, and all of the other information contained in this prospectus. Any of the following risks could have a material adverse effect on our business, operating results and financial condition and cause the trading price of our common stock to decline, which would cause you to lose all or part of your investment. When determining whether to invest, you should also refer to the other information contained in this prospectus, including our financial statements and the related notes thereto.

Risks Related to Our Financial Position and Capital Needs

We have incurred significant losses since our inception. We expect to incur losses over the next several years and may never achieve or maintain profitability.

        Since inception, we have incurred significant operating losses. Our net loss was $15.6 million and $23.3 million for the years ended December 31, 2012 and 2013, respectively, and $36.4 million for the nine months ended September 30, 2014. As of September 30, 2014, we had an accumulated deficit of $118.7 million. To date, we have financed our operations primarily through private placements and a public offering of our equity securities and through grant revenue. Virtually all of our revenue to date has been grant revenue. We have devoted substantially all of our financial resources and efforts to research and development, including preclinical studies and clinical trials. We are still in the early stages of development of our product candidates, and we have not completed development of any drugs. We expect to continue to incur significant expenses and operating losses over the next several years. Our net losses may fluctuate significantly from quarter to quarter and year to year. We anticipate that our expenses will increase substantially as we:

    •
    continue to enroll our Phase 2b clinical trial of TRV027 and conduct an additional Phase 2 clinical trial and initiate Phase 3 clinical trials of TRV130, our lead product candidates;

    •
    complete Phase 1 clinical trials of TRV734 and initiate a Phase 2 trial of TRV734;

    •
    continue research and development activities for our d-opioid receptor program;

    •
    seek to discover additional product candidates;

    •
    conduct late-stage clinical trials and seek regulatory approvals for any product candidates that successfully complete clinical trials;

    •
    ultimately establish a sales, marketing and distribution infrastructure and scale up external manufacturing capabilities to commercialize any products that we choose not to license to a third party and for which we may obtain regulatory approval;

    •
    maintain, expand and protect our intellectual property portfolio;

    •
    hire additional clinical and scientific personnel; and

    •
    add operational, financial and management information systems and personnel, including personnel to support our product development and planned future commercialization efforts.

        To become and remain profitable, we must succeed in developing and eventually commercializing products that generate significant revenue. This will require us to be successful in a range of challenging activities, including completing preclinical testing and clinical trials of our product candidates, discovering additional product candidates, potentially entering into collaboration and license agreements, obtaining regulatory approval for product candidates and manufacturing, marketing and selling any products for which we may obtain regulatory approval. We are only in the preliminary stages

14


Table of Contents

of some of these activities and have not begun others. We may never succeed in these activities and, even if we do, may never achieve profitability.

        Because of the numerous risks and uncertainties associated with pharmaceutical product development, we are unable to accurately predict the timing or amount of increased expenses or when, or if, we will be able to achieve profitability. If we are required by the United States Food and Drug Administration, or FDA, or foreign regulatory authorities, to perform studies in addition to those currently expected, or if there are any delays in completing our clinical trials or the development of any of our product candidates, our expenses could increase.

        Even if we do achieve profitability, we may not be able to sustain or increase profitability on a quarterly or annual basis. Our failure to become and remain profitable would depress the value of our company and could impair our ability to raise capital, expand our business, maintain our research and development efforts, diversify our product offerings or even continue our operations. A decline in the value of our company could also cause you to lose all or part of your investment.

We will need substantial additional funding, which may not be available to us on acceptable terms, or at all. If we are unable to raise capital when needed, we could be forced to delay, reduce or eliminate our product development programs or commercialization efforts.

        We expect our expenses to increase in connection with our ongoing activities, particularly as we continue to enroll the Phase 2b clinical trial for TRV027, complete the Phase 2 clinical program for TRV130 and then move into Phase 3 clinical trials, continue clinical development of TRV734, and continue research and development and initiate additional clinical trials of, and seek regulatory approval for, these and other product candidates. In addition, if we obtain regulatory approval for any of our product candidates, we expect to incur significant commercialization expenses related to product manufacturing, marketing, sales and distribution. Accordingly, we will need to obtain substantial additional funding in connection with our continuing operations. If we are unable to raise capital when needed or on attractive terms, we could be forced to:

    •
    delay, reduce or eliminate our research and development programs or any future commercialization efforts;

    •
    relinquish or license on unfavorable terms our rights to technologies or product candidates that we otherwise would seek to develop or commercialize ourselves;

    •
    seek collaborators for one or more of our product candidates at an earlier stage than otherwise would be desirable or on terms that are less favorable than might otherwise be available; or

    •
    cease operations altogether.

        We estimate that the net proceeds from this offering, together with our existing cash and cash equivalents as of September 30, 2014 and our potential draw of $16.5 million from our credit facility based on the top-line results of the Phase 2a/b trial of TRV130 announced in November 2014, will enable us to fund our operating expenses and capital expenditure requirements through the end of 2016, without giving effect to a potential option payment and, if the option is exercised, potential milestone payments we may receive under our option and license agreements with Actavis plc, or Actavis, and excluding any potential future drawdown from our credit facility if we receive positive data from the Phase 2 study of TRV027. We have based this estimate on assumptions that may prove to be wrong, and we could use up our capital resources sooner than we currently expect. We do not expect our existing capital resources, including the net proceeds from this offering, to enable us to either complete Phase 3 development of TRV027 if Actavis chooses not to license the product candidate or complete Phase 3 development of TRV130 for postoperative pain. Accordingly, we expect that we will

15


Table of Contents

need to raise substantial additional funds in the future. Our future capital requirements will depend on many factors, including:

    •
    the progress and results of the Phase 2 clinical programs for TRV130 and TRV027;

    •
    whether Actavis exercises its option to license TRV027;

    •
    the scope, progress, results and costs of preclinical development, laboratory testing and clinical trials for our other product candidates, including our ongoing Phase 1 clinical program for TRV734;

    •
    our ability to enter into collaborative agreements for the development and commercialization of our product candidates, including TRV734;

    •
    the number and development requirements of other product candidates that we pursue;

    •
    the costs, timing and outcome of regulatory review of our product candidates or any future product candidates, both in the United States and in territories outside the United States;

    •
    the costs and timing of future commercialization activities, including product manufacturing, marketing, sales and distribution, for any of our product candidates for which we receive marketing approval;

    •
    any product liability or other lawsuits related to our products;

    •
    the expenses needed to attract and retain skilled personnel;

    •
    the revenue, if any, received from commercial sales of our product candidates for which we receive marketing approval; and

    •
    the costs involved in preparing, filing and prosecuting patent applications, maintaining and enforcing our intellectual property rights and defending any intellectual property-related claims, both in the United States and in territories outside the United States.

        Identifying potential product candidates and conducting preclinical testing and clinical trials is a time-consuming, expensive and uncertain process that takes years to complete, and we may never generate the necessary data or results required to obtain regulatory approval and achieve product sales. In addition, our product candidates, if approved, may not achieve commercial success. Our commercial revenue, if any, will be derived from sales of products that we do not expect to be commercially available for many years, if at all. Accordingly, we will need to continue to rely on additional financing to achieve our business objectives. Adequate additional financing may not be available to us on acceptable terms, or at all. In addition, we may seek additional capital due to favorable market conditions or strategic considerations, even if we believe we have sufficient funds for our current or future operating plans.

Raising additional capital may cause dilution to our stockholders, including purchasers of common stock in this offering, restrict our operations or require us to relinquish rights to our technologies or product candidates.

        Until such time, if ever, as we can generate substantial product revenue, we expect to finance our cash needs through a combination of equity offerings, debt financings, grants and license and development agreements in connection with any collaborations. We do not have any committed external source of funds other than the $65 million option payment from Actavis if it exercises the option and, in such case, possible milestone and royalty payments under the license agreement, the $16.5 million second tranche that we believe we have met the conditions to draw under the credit facility with Oxford Finance and Square 1 Bank and the $16.5 million third tranche under that credit facility that we would be entitled to draw if we receive positive data from the Phase 2 clinical trial of TRV027. To

16


Table of Contents

the extent that we raise additional capital through the sale of equity or convertible debt securities, your ownership interest will be diluted, and the terms of these securities may include liquidation or other preferences that adversely affect your rights as a common stockholder. Preferred equity financing and additional debt financing, if available, may involve agreements that include covenants limiting or restricting our ability to take specific actions, such as incurring additional debt, making capital expenditures or declaring dividends.

        If we raise additional funds through collaborations, strategic alliances or marketing, distribution or licensing arrangements with third parties, we may have to relinquish valuable rights to our technologies, future revenue streams, research programs or product candidates or grant licenses on terms that may not be favorable to us. If we are unable to raise additional funds through equity or debt financings when needed, we may be required to delay, limit, reduce or terminate our product development or future commercialization efforts or grant rights to develop and market product candidates that we would otherwise prefer to develop and market ourselves.

Our limited operating history may make it difficult for you to evaluate the success of our business to date and to assess our future viability.

        We commenced active operations in late 2007, and our operations to date have been limited to organizing and staffing our company, business planning, raising capital, developing our ABLE product platform, identifying potential product candidates, undertaking preclinical studies and conducting clinical trials. Our three product candidates are early in development, and our preclinical program has not yet identified a product candidate. We have not yet demonstrated our ability to successfully complete later stage clinical trials, obtain regulatory approvals, manufacture a commercial scale product, or arrange for a third party to do so on our behalf, or conduct sales and marketing activities necessary for successful product commercialization. Consequently, any predictions you make about our future success or viability may not be as accurate as they could be if we had a longer operating history.

        In addition, as a young business, we may encounter unforeseen expenses, difficulties, complications, delays and other known and unknown factors. We will need to expand our capabilities to support commercial activities. We may not be successful in adding such capabilities.

        We expect our financial condition and operating results to continue to fluctuate significantly from quarter to quarter and year to year due to a variety of factors, many of which are beyond our control. Accordingly, you should not rely upon the results of any past quarterly or annual periods as indications of future operating performance.

Risks Related to the Discovery and Development of Our Product Candidates

Our research and development is focused on discovering and developing novel drugs based on biased ligands, and the approach we are taking to discover and develop drugs is not proven and may never lead to marketable products.

        The discovery and development of drugs based on biased ligands is an emerging field, and the scientific discoveries that form the basis for our efforts to discover and develop product candidates are relatively new. The scientific evidence to support the feasibility of developing differentiated product candidates based on these discoveries is both preliminary and limited. We believe that we are the first company to conduct a clinical trial of a product candidate based on the concept of biased ligands. Therefore, we do not know if our approach will be successful.

17


Table of Contents

We are very early in our development efforts and have only two product candidates, TRV027 and TRV130, in Phase 2, and one more, TRV734, in Phase 1. If we are unable to successfully complete development and commercialization of our product candidates or experience significant delays in doing so, our business will be materially harmed.

        We are very early in our development efforts and have only two product candidates, TRV027 and TRV130, in Phase 2 development, and one more, TRV734, in Phase 1 development. We have invested substantially all of our efforts and financial resources in the identification and development of biased ligands. Our ability to generate product revenue, which we do not expect will occur for many years, if ever, will depend heavily on the successful development and eventual commercialization of our product candidates. The success of our product candidates will depend on several factors, including the following:

    •
    successful completion of preclinical studies and clinical trials;

    •
    receipt of marketing approvals from applicable regulatory authorities;

    •
    obtaining, maintaining and protecting our intellectual property portfolio, including patents and trade secrets, and regulatory exclusivity for our product candidates;

    •
    making arrangements with third-party manufacturers for, or establishing, commercial manufacturing capabilities;

    •
    launching commercial sales of the products, if and when approved, whether alone or in collaboration with others;

    •
    acceptance of our products, if and when approved, by patients, the medical community and third-party payors;

    •
    effectively competing with other therapies;

    •
    obtaining and maintaining healthcare coverage of our products and adequate reimbursement; and

    •
    maintaining a continued acceptable safety profile of our products following approval.

        If we do not achieve one or more of these factors in a timely manner or at all, we could experience significant delays or an inability to successfully commercialize our product candidates, which would materially harm our business.

We may not be successful in our efforts to expand our pipeline of product candidates.

        One element of our strategy is to expand our pipeline of therapeutics based on biased ligands and advance these product candidates through clinical development for the treatment of a variety of indications. Although our research and development efforts to date have resulted in a number of development programs based on biased ligands, we may not be able to develop product candidates that are safe and effective. Even if we are successful in continuing to expand our pipeline, the potential product candidates that we identify may not be suitable for clinical development, including as a result of being shown to have harmful side effects or other characteristics that indicate that they are unlikely to receive marketing approval and achieve market acceptance. If we do not successfully develop and commercialize product candidates based upon our technological approach, we will not be able to obtain product revenue in future periods, which would make it unlikely that we would ever achieve profitability.

18


Table of Contents

Preclinical and clinical drug development involves a lengthy and expensive process, with an uncertain outcome. We may incur additional costs or experience delays in completing, or ultimately be unable to complete, the development and commercialization of our product candidates.

        Clinical testing is expensive and can take many years to complete, and the risk of failure is high. It is impossible to predict when or if any of our product candidates will prove effective or safe in humans or will receive regulatory approval. Before obtaining marketing approval from regulatory authorities for the sale of any product candidate, we must complete preclinical studies and then conduct extensive clinical trials to demonstrate the safety and efficacy of our product candidates in humans. A failure of one or more clinical trials can occur at any stage of testing. The outcome of preclinical testing and early clinical trials may not be predictive of the success of later clinical trials, and interim results of a clinical trial do not necessarily predict final results. Moreover, preclinical and clinical data are often susceptible to varying interpretations and analyses, and many companies that have believed their product candidates performed satisfactorily in preclinical studies and clinical trials have nonetheless failed to obtain marketing approval of their products. We may experience numerous unforeseen events during, or as a result of, clinical trials that could delay or prevent our ability to receive marketing approval or subsequently to commercialize our product candidates, including:

    •
    regulators or institutional review boards may not authorize us or our investigators to commence a clinical trial or conduct a clinical trial at a prospective trial site;

    •
    we may experience delays in reaching, or fail to reach, agreement on acceptable clinical trial contracts or clinical trial protocols with prospective trial sites;

    •
    clinical trials of our product candidates may produce negative or inconclusive results, and we may decide, or regulators may require us, to conduct additional clinical trials or abandon product development programs;

    •
    the number of patients required for clinical trials of our product candidates may be larger than we anticipate, enrollment in these clinical trials may be slower than we anticipate or participants may drop out of these clinical trials at a higher rate than we anticipate;

    •
    our third-party contractors may fail to comply with regulatory requirements or meet their contractual obligations to us in a timely manner, or at all;

    •
    we may have to suspend or terminate clinical trials of our product candidates for various reasons, including a finding that the participants are being exposed to unacceptable health risks;

    •
    regulators or institutional review boards may require that we or our investigators suspend or terminate clinical research for various reasons, including noncompliance with regulatory requirements or a finding that the participants are being exposed to unacceptable health risks;

    •
    the cost of clinical trials of our product candidates may be greater than we anticipate;

    •
    the supply or quality of our product candidates or other materials necessary to conduct clinical trials of our product candidates may be insufficient or inadequate; and

    •
    our product candidates may have undesirable side effects or other unexpected characteristics, causing us or our investigators, regulators or institutional review boards to suspend or terminate the trials.

        If we are required to conduct additional clinical trials or other testing of our product candidates beyond those that we currently contemplate, if we are unable to successfully complete clinical trials of our product candidates or other testing, if the results of these trials or tests are not positive or are only modestly positive or if there are safety concerns, we may:

    •
    be delayed in obtaining marketing approval for our product candidates;

19


Table of Contents

    •
    not obtain marketing approval at all;

    •
    obtain approval for indications or patient populations that are not as broad as intended or desired;

    •
    obtain approval with labeling that includes significant use or distribution restrictions or safety warnings;

    •
    be subject to additional post-marketing testing requirements; or

    •
    have the product removed from the market after obtaining marketing approval.

        Our product development costs also will increase if we experience delays in testing or in receiving marketing approvals. We do not know whether any of our preclinical studies or clinical trials will begin as planned, will need to be restructured or will be completed on schedule, or at all. Significant preclinical study or clinical trial delays also could shorten any periods during which we may have the exclusive right to commercialize our product candidates or allow our competitors to bring products to market before we do and impair our ability to successfully commercialize our product candidates and may harm our business and results of operations.

If we experience delays or difficulties in the enrollment of patients in clinical trials, our receipt of necessary regulatory approvals could be delayed or prevented.

        We may not be able to initiate or continue clinical trials for our product candidates if we are unable to locate and enroll a sufficient number of eligible patients to participate in these trials as required by the FDA or similar regulatory authorities outside the United States. Some of our competitors have ongoing clinical trials for product candidates that treat the same indications as our product candidates, and patients who would otherwise be eligible for our clinical trials may instead enroll in clinical trials of our competitors' product candidates. Patient enrollment is affected by other factors including:

    •
    the severity of the disease under investigation;

    •
    the eligibility criteria for the study in question;

    •
    the perceived risks and benefits of the product candidate under study;

    •
    the efforts to facilitate timely enrollment in clinical trials;

    •
    the patient referral practices of physicians;

    •
    the ability to monitor patients adequately during and after treatment; and

    •
    the proximity and availability of clinical trial sites for prospective patients.

        Our inability to enroll a sufficient number of patients for our clinical trials would result in significant delays and could require us to abandon one or more clinical trials altogether. For example, we face significant competition to recruit and enroll heart failure patients for our clinical trial of TRV027 due to a number of trials in heart failure currently being conducted by other sponsors. Enrollment delays in our clinical trials may result in increased development costs for our product candidates, which would cause the value of our company to decline and limit our ability to obtain additional financing.

If serious adverse or unacceptable side effects are identified during the development of our product candidates, we may need to abandon or limit our development of some of our product candidates.

        If our product candidates are associated with adverse side effects in clinical trials or have characteristics that are unexpected, we may need to abandon their development or limit development

20


Table of Contents

to more narrow uses or subpopulations in which the side effects or other characteristics are less prevalent, less severe or more acceptable from a risk-benefit perspective. In our industry, many compounds that initially showed promise in early stage testing have later been found to cause side effects that prevented further development of the compound. In the event that our clinical trials reveal a high and unacceptable severity and prevalence of side effects, our trials could be suspended or terminated and the FDA or comparable foreign regulatory authorities could order us to cease further development or deny approval of our product candidates for any or all targeted indications. Drug-related side effects could affect patient recruitment or the ability of enrolled patients to complete the trial and could result in potential product liability claims.

        Additionally if one or more of our product candidates receives marketing approval, and we or others later identify undesirable side effects caused by such products, a number of potentially significant negative consequences could result, including:

    •
    regulatory authorities may withdraw approvals of such product;

    •
    regulatory authorities may require additional warnings on the label;

    •
    we may be required to create a medication guide outlining the risks of such side effects for distribution to patients, if one is not required before approval;

    •
    we could be sued and held liable for harm caused to patients; and

    •
    our reputation may suffer.

        Any of these events could prevent us from achieving or maintaining market acceptance of the particular product candidate, if approved.

        TRV027 is a biased ligand targeted at the angiotensin II type 1 receptor, or AT1R, and has been shown to drop blood pressure in subjects with chronic heart failure. One subject in the Phase 2a clinical trial in advanced chronic heart failure was withdrawn from therapy after experiencing low blood pressure, or hypotension. If TRV027 drops blood pressure too much or causes prolonged low blood pressure, this could lead to adverse effects that could compromise the development, approval and market potential of TRV027.

        TRV130 is predominantly metabolized by two liver enzymes, CYP2D6 and CYP3A4, that are common metabolic pathways for drugs. Because of competitive use of these pathways, we will need to conduct additional drug interaction studies and TRV130 may be limited in its co-administration with other drugs using these pathways as their safety and effectiveness, as well as TRV130's, may be adversely affected. This could limit our commercial opportunity due to the common co-administration of drugs in patients with moderate to severe acute pain requiring IV therapy. In addition, since CYP2D6 enzyme activity varies in the population, different dosing may be required in the product label for individuals that have low levels of CYP2D6 activity, which could limit the commercial opportunity of the drug, if approved. We are in discussion with the FDA on this question and cannot assure you that the FDA will not require us to utilize different dosing for this population and/or prospectively characterize individuals' CYP2D6 activity prior to administering TRV130.

        TRV130 and TRV734 are both biased ligands targeted at the µ-opioid receptor. Common adverse reactions for agonists of the µ-opioid receptor include respiratory depression, constipation, nausea, vomiting and addiction. In rare cases, µ-opioid receptor agonists can cause respiratory arrest requiring immediate medical intervention. Since TRV130 and TRV734 also modulate the µ-opioid receptor, these adverse reactions and risks could apply to the use of TRV130 and TRV734. One healthy subject in the 0.25 mg dosing cohort of our Phase 1 clinical trial of TRV130 experienced a severe episode of vasovagal syncope during which he fainted and his pulse stopped. These were considered severe adverse events. Although this individual recovered without medical intervention and experienced no known adverse consequences from this, certain potential triggers of vasovagal syncope were removed from the

21


Table of Contents

trial protocol, and dose escalation proceeded up to 7 mg/hr (28-fold higher than the 0.25 mg/hr dose at which the syncope occurred) without further incident, it is possible that serious adverse vasovagal events could occur in other patients dosed with TRV130. We have to date administered TRV130 to only 371 subjects at doses up to 7mg/dose.

        Agonists at the d-opioid receptor have been associated with a risk of seizures. Our d-opioid receptor program targets the same receptor as other programs that have been associated with seizures and, accordingly, it is possible that it will be associated with similar side effects.

We may expend our limited resources to pursue a particular product candidate or indication and fail to capitalize on product candidates or indications that may be more profitable or for which there is a greater likelihood of success.

        Because we have limited financial and managerial resources, we focus on research programs and product candidates that we identify for specific indications. As a result, we may forego or delay pursuit of opportunities with other product candidates or for other indications that later prove to have greater commercial potential. Our resource allocation decisions may cause us to fail to capitalize on viable commercial products or profitable market opportunities. In addition, under our option agreement with Actavis, we have agreed to conduct, at our expense, a Phase 2b clinical trial of TRV027 in AHF. Our spending on current and future research and development programs and product candidates for specific indications may not yield any commercially viable products. If we do not accurately evaluate the commercial potential or target market for a particular product candidate, we may relinquish valuable rights to that product candidate through collaboration, licensing or other royalty arrangements in cases in which it would have been more advantageous for us to retain sole development and commercialization rights to such product candidate.

Risks Related to the Commercialization of Our Product Candidates

Even if any of our product candidates receives marketing approval, it may fail to achieve the degree of market acceptance by physicians, patients, third-party payors and others in the medical community necessary for commercial success.

        If any of our product candidates receives marketing approval, it may nonetheless fail to gain sufficient market acceptance by physicians, patients, third-party payors and others in the medical community. If our product candidates do not achieve an adequate level of acceptance, we may not generate significant product revenue and we may not become profitable. The degree of market acceptance of our product candidates, if approved for commercial sale, will depend on a number of factors, including:

    •
    the efficacy, safety and potential advantages compared to alternative treatments;

    •
    the timing of market introduction of the product candidate as well as competitive products;

    •
    our ability to offer the product for sale profitably and at competitive prices;

    •
    the convenience and ease of administration compared to alternative treatments;

    •
    the willingness of the target patient population to try new therapies and of physicians to prescribe these therapies;

    •
    the strength of sales, marketing and distribution support;

    •
    the availability of third-party coverage and adequate reimbursement;

    •
    the prevalence and severity of any side effects;

22


    •
    the clinical indications for which the product is approved; and

    •
    any restrictions on the use of our products together with other medications.

If we are unable to establish sales, marketing and distribution capabilities or to enter into agreements with third parties to market and sell our product candidates, we may not be successful in commercializing our product candidates if and when they are approved.

        We currently do not have a marketing or sales organization for the marketing, sales and distribution of pharmaceutical products and have no experience in this area. To commercialize any product candidates that receive marketing approval, we would need to build marketing, sales, distribution, managerial and other non-technical capabilities or make arrangements with third parties to perform these services, and we may not be successful in doing so. If we successfully develop and obtain regulatory approval for any of our product candidates, we expect to build a targeted specialist sales force to market or co-promote the product in the United States. There are substantial risks involved with establishing our own sales, marketing and distribution capabilities. For example, recruiting and training a sales force is expensive and time consuming and could delay any product launch. If the commercial launch of a product candidate for which we recruit a sales force and establish marketing capabilities is delayed or does not occur for any reason, we would have prematurely or unnecessarily incurred these commercialization expenses. This may be costly, and our investment would be lost if we cannot retain or reposition our sales and marketing personnel.

        There are a number of factors that may inhibit our efforts to commercialize our products on our own, including:

    •
    our inability to recruit, train and retain adequate numbers of effective sales and marketing personnel;

    •
    the inability of sales personnel to obtain access to physicians or persuade adequate numbers of physicians to prescribe any future products;

    •
    the lack of complementary or other products to be offered by sales personnel, which may put us at a competitive disadvantage from the perspective of sales efficiency relative to companies with more extensive product lines; and

    •
    unforeseen costs and expenses associated with creating an independent sales and marketing organization.

        As an alternative to establishing our own sales force, we may choose to partner with third parties that have well-established direct sales forces to sell, market and distribute our products. In the case of TRV027, should Actavis elect to license TRV027, it would thereafter have responsibility for further clinical development, regulatory approval and commercialization. If we are unable to enter into collaborations with third parties for the commercialization of approved products, if any, on acceptable terms or at all, or if any such partner, including Actavis if it exercises its option to license TRV027, does not devote sufficient resources to the commercialization of our product or otherwise fails in commercialization efforts, we may not be able to successfully commercialize any of our product candidates that receive regulatory approval.

We face substantial competition, which may result in others discovering, developing or commercializing products before or more successfully than we do.

        The development and commercialization of new drug products is highly competitive. We face competition with respect to our current product candidates, and will face competition with respect to any product candidates that we may seek to develop or commercialize in the future, from major pharmaceutical companies, specialty pharmaceutical companies and biotechnology companies

23


worldwide. In addition to existing therapeutic treatments for the indications we are targeting with our product candidates, which our goal would be to displace if any of our product candidates achieves regulatory approval, we also face potential competition from other drug candidates in development by other companies. With respect to competition for TRV027, we are aware of three product candidates in mid-to late-stage clinical development for AHF. These are serelaxin, being developed by Novartis, which has completed a single Phase 3 clinical trial, omecamtiv mercarbil, being developed by Cytokinetics and Amgen, which has completed a Phase 2b clinical trial, and ularitide, being developed by Cardiorentis and currently in a Phase 3 clinical trial. With respect to competition for TRV130, the most advanced and directly competitive product candidates are reformulations of existing opioids, such as a fentanyl iontophoresis patch, in development by The Medicines Company, and sufentanil nanotab, in development by AcelRx, and a peripherally-restricted k-opioid agonist (CR845) in development by Cara Therapeutics Inc. Some of these potential competitive compounds are being developed by large, well-financed and experienced pharmaceutical and biotechnology companies or have been partnered with such companies, which may give them development, regulatory and marketing advantages over us, or Actavis, if it exercises its option for TRV027.

        Our commercial opportunity could be reduced or eliminated if our competitors develop and commercialize products that are safer, more effective, have fewer or less severe side effects, are more convenient or are less expensive than any products that we may develop. Our competitors also may obtain FDA or other regulatory approval for their products more rapidly than we may obtain approval for ours, which could result in our competitors establishing a strong market position before we are able to enter the market. In addition, our ability to compete may be affected in many cases by insurers or other third-party payors seeking to encourage the use of generic products. Generic products are currently on the market for the indications that we are pursuing. If our product candidates achieve marketing approval, we expect that they will be priced at a significant premium over competing generic products.

        Some of the companies against which we are competing or against which we may compete in the future have significantly greater financial resources and expertise in research and development, manufacturing, preclinical testing, conducting clinical trials, obtaining regulatory approvals and marketing approved products than we do. Mergers and acquisitions in the pharmaceutical and biotechnology industries may result in even more resources being concentrated among a smaller number of our competitors. Smaller and other early stage companies may also prove to be significant competitors, particularly through collaborative arrangements with large and established companies. These third parties compete with us in recruiting and retaining qualified scientific and management personnel, establishing clinical trial sites and patient registration for clinical trials, as well as in acquiring technologies complementary to, or necessary for, our programs.

Even if we or our collaborators are able to commercialize any of our product candidates, the product candidates may become subject to unfavorable pricing regulations, third-party coverage and reimbursement policies or healthcare reform initiatives.

        Both our and our collaborators' ability to commercialize any of our product candidates successfully will depend, in part, on the extent to which coverage and adequate reimbursement for these products and related treatments will be available from government payor programs at the federal and state level authorities, including Medicare and Medicaid, private health insurers, managed care plans and other organizations. Government authorities and third-party payors, such as private health insurers and health maintenance organizations, decide which medications they will pay for and establish reimbursement levels. A primary trend in the U.S. healthcare industry and elsewhere is cost containment. Government authorities and third-party payors have attempted to control costs by limiting coverage and the amount of reimbursement for particular medications. Increasingly, third-party payors are requiring that drug companies provide them with predetermined discounts from list prices and are challenging the prices

24


charged for medical products. Coverage and reimbursement may not be available for any drug that we or our collaborators commercialize and, even if these are available, the level of reimbursement may not be satisfactory. Inadequate reimbursement levels may adversely affect the demand for, or the price of, any product candidate for which we or our collaborators obtain marketing approval. Obtaining and maintaining adequate reimbursement for our products may be difficult. We may be required to conduct expensive pharmacoeconomic studies to justify coverage and reimbursement or the level of reimbursement relative to other therapies. If coverage and adequate reimbursement are not available or reimbursement is available only to limited levels, we or our collaborators may not be able to successfully commercialize any product candidates for which marketing approval is obtained.

        There may be significant delays in obtaining coverage and reimbursement for newly approved drugs, and coverage may be more limited than the indications for which the drug is approved by the FDA or similar regulatory authorities outside the United States. Moreover, eligibility for coverage and reimbursement does not imply that a drug will be paid for in all cases or at a rate that covers our costs, including research, development, manufacture, sale and distribution expenses. Interim reimbursement levels for new drugs, if applicable, also may not be sufficient to cover our costs and may not be made permanent. Reimbursement rates may vary according to the use of the drug and the clinical setting in which it is used, may be based on reimbursement levels already set for lower cost drugs and may be incorporated into existing payments for other services. Net prices for drugs may be reduced by mandatory discounts or rebates required by government healthcare programs or private payors and by any future relaxation of laws that presently restrict imports of drugs from countries where they may be sold at lower prices than in the United States. Third-party payors often rely upon Medicare coverage policy and payment limitations in setting their own reimbursement policies. Our or our collaborators' inability to promptly obtain coverage and adequate reimbursement rates from both government-funded and private payors for any approved drugs that we develop could adversely affect our operating results, our ability to raise capital needed to commercialize drugs and our overall financial condition.

        The regulations that govern marketing approvals, pricing, coverage and reimbursement for new drugs vary widely from country to country. Current and future legislation may significantly change the approval requirements in ways that could involve additional costs and cause delays in obtaining approvals. Some countries require approval of the sale price of a drug before it can be marketed. In many countries, the pricing review period begins after marketing or licensing approval is granted. In some foreign markets, prescription pharmaceutical pricing remains subject to continuing governmental control even after initial approval is granted. As a result, we or our collaborators might obtain marketing approval for a drug in a particular country, but then be subject to price regulations that delay commercial launch of the drug, possibly for lengthy time periods, and negatively impact our ability to generate revenue from the sale of the drug in that country. Adverse pricing limitations may hinder our ability to recoup our investment in one or more product candidates, even if our product candidates obtain marketing approval.

        There can be no assurance that our product candidates, if they are approved for sale in the United States or in other countries, will be considered medically reasonable and necessary for a specific indication, that they will be considered cost-effective by third-party payors, that coverage or an adequate level of reimbursement will be available, or that third-party payors' reimbursement policies will not adversely affect our ability to profitably sell our product candidates if they are approved for sale.

Product liability lawsuits against us could cause us to incur substantial liabilities and limit commercialization of any products that we may develop.

        We face an inherent risk of product liability exposure related to the testing of our product candidates in human clinical trials and will face an even greater risk if we commercially sell any products that we may develop. For example, we may be sued if any product we develop allegedly

25


causes injury or is found to be otherwise unsuitable during clinical testing, manufacturing, marketing or sale. Any such product liability claims may include allegations of defects in manufacturing, defects in design, a failure to warn of dangers inherent in the product, negligence, strict liability or a breach of warranties. If we cannot successfully defend ourselves against claims that our product candidates or products caused injuries, we will incur substantial liabilities. Regardless of merit or eventual outcome, liability claims may result in:

    •
    decreased demand for any product candidates or products that we may develop;

    •
    injury to our reputation and significant negative media attention;

    •
    withdrawal of clinical trial participants;

    •
    initiation of investigations by regulators;

    •
    significant costs to defend the related litigation;

    •
    product recalls, withdrawals or labeling, marketing or promotional restrictions;

    •
    substantial monetary awards to trial participants or patients;

    •
    loss of revenue;

    •
    reduced resources of our management to pursue our business strategy; and

    •
    the inability to commercialize any products that we may develop.

        We currently maintain $15 million in product liability insurance coverage, which may not be adequate to cover all liabilities that we may incur. We will likely need to increase our insurance coverage as we expand our clinical trials or if we commence commercialization of our product candidates. Insurance coverage is increasingly expensive. We may not be able to maintain insurance coverage at a reasonable cost or in an amount adequate to satisfy any liability that may arise.

Risks Related to Our Dependence on Third Parties

If Actavis exercises its option to license TRV027, that relationship will become even more important to our business, and any future relationships or collaborations we may elect to pursue may also be important to us. If we are unable to maintain our relationship with Actavis or any of these collaborations, or if our relationship with Actavis or these collaborators is not successful, our business could be adversely affected.

        We have limited capabilities for product development and do not yet have any capability for sales, marketing or distribution. We have an option agreement and a license agreement with Actavis, which provide Actavis with an option to license TRV027. If Actavis exercises this option, it will be responsible for subsequent development, regulatory approval and commercialization of TRV027 and we will be eligible to receive milestone payments and royalties on product sales. This relationship, any future collaboration with Actavis, and any future collaborations we might enter into with another third party, may pose a number of risks, including the following:

    •
    collaborators have significant discretion in determining the efforts and resources that they will apply to these collaborations;

    •
    collaborators may not perform their obligations as expected;

    •
    collaborators may elect not to continue or renew development or commercialization programs or may not pursue commercialization of any product candidates that achieve regulatory approval based on clinical trial results, changes in the collaborators' strategic focus or available funding, or external factors, such as an acquisition, that divert resources or create competing priorities;

26


    •
    collaborators may delay clinical trials, provide insufficient funding for a clinical trial program, stop a clinical trial or abandon a product candidate, repeat or conduct new clinical trials or require a new formulation of a product candidate for clinical testing;

    •
    collaborators could fail to make timely regulatory submissions for a product candidate;

    •
    collaborators may not comply with all applicable regulatory requirements or may fail to report safety data in accordance with all applicable regulatory requirements;

    •
    collaborators could independently develop, or develop with third parties, products that compete directly or indirectly with our products or product candidates if the collaborators believe that competitive products are more likely to be successfully developed or can be commercialized under terms that are more economically attractive than ours;

    •
    product candidates discovered in collaboration with us may be viewed by our collaborators as competitive with their own product candidates or products, which may cause collaborators to cease to devote resources to the commercialization of our product candidates;

    •
    a collaborator with marketing and distribution rights to one or more of our product candidates that achieve regulatory approval may not commit sufficient resources to the marketing and distribution of such product or products;

    •
    disagreements with collaborators, including disagreements over proprietary rights, contract interpretation or the preferred course of development, might cause delays or termination of the research, development or commercialization of product candidates, might lead to additional responsibilities for us with respect to product candidates, or might result in litigation or arbitration, any of which would be time-consuming and expensive;

    •
    collaborators may not properly maintain or defend our intellectual property rights or may use our proprietary information in such a way as to invite litigation that could jeopardize or invalidate our intellectual property or proprietary information or expose us to potential litigation;

    •
    collaborators may infringe the intellectual property rights of third parties, which may expose us to litigation and potential liability; and

    •
    collaborations may be terminated at the convenience of the collaborator and, if terminated, we could be required to raise additional capital to pursue further development or commercialization of the applicable product candidates.

        If our potential collaboration with Actavis, or any other collaborations we might enter into in the future, do not result in the successful development and commercialization of products or if one of our collaborators terminates its agreement with us, we may not receive any future research funding or milestone or royalty payments under the collaboration. If we do not receive the funding we expect under these agreements, our development of our product platform and product candidates could be delayed and we may need additional resources to develop our product candidates and our product platform. All of the risks relating to our product development, regulatory approval and commercialization described in this prospectus also apply to the activities of our therapeutic program collaborators.

        If Actavis exercises its option to license TRV027 from us, the license agreement will contain a restriction on our engaging in activities relating to certain product candidates that may compete with TRV027 for a specified period of time. This restriction may have the effect of preventing us from undertaking development and other efforts for TRV027 that we would otherwise prefer to pursue. Additionally, subject to its contractual obligations to us, if Actavis or a future collaborator of ours is involved in a business combination, the collaborator might deemphasize or terminate development or

27


commercialization of any product candidate licensed to it by us. If one of our collaborators terminates its agreement with us, we may find it more difficult to attract new collaborators and our reputation in the business and financial communities could be adversely affected.

        For our product candidates other than TRV027, we may in the future determine to collaborate with pharmaceutical and biotechnology companies for the development and potential commercialization of these candidates. We face significant competition in seeking appropriate collaborators. Our ability to reach a definitive agreement for collaboration will depend, among other things, upon our assessment of the collaborator's resources and expertise, the terms and conditions of the proposed collaboration and the proposed collaborator's evaluation of a number of factors. If we are unable to reach agreements with suitable collaborators on a timely basis, on acceptable terms, or at all, we may have to curtail the development of a product candidate, reduce or delay its development program or one or more of our other development programs, delay its potential commercialization or reduce the scope of any sales or marketing activities or increase our expenditures and undertake development or commercialization activities at our own expense. If we elect to fund and undertake development or commercialization activities on our own, we may need to obtain additional expertise and additional capital, which may not be available to us on acceptable terms or at all. If we fail to enter into collaborations and do not have sufficient funds or expertise to undertake the necessary development and commercialization activities, we may not be able to further develop our product candidates or bring them to market or continue to develop our product platform and our business may be materially and adversely affected.

We rely, and expect to continue to rely, on third parties to conduct our preclinical studies and clinical trials, and those third parties may not perform satisfactorily, including failing to meet deadlines for the completion of such trials or complying with applicable regulatory requirements.

        We rely on third-party contract research organizations and clinical research organizations to conduct some of our preclinical studies and all of our clinical trials for TRV027, TRV130 and TRV734. We expect to continue to rely on third parties, such as contract research organizations, clinical research organizations, clinical data management organizations, medical institutions and clinical investigators, to conduct some of our preclinical studies and all of our clinical trials. The agreements with these third parties might terminate for a variety of reasons, including a failure to perform by the third parties. If we need to enter into alternative arrangements, that could delay our product development activities.

        Our reliance on these third parties for research and development activities will reduce our control over these activities but will not relieve us of our responsibilities. For example, we will remain responsible for ensuring that each of our preclinical studies and clinical trials are conducted in accordance with the general investigational plan and protocols for the trial and for ensuring that our preclinical studies are conducted in accordance with good laboratory practice, or GLP, as appropriate. Moreover, the FDA requires us to comply with standards, commonly referred to as good clinical practices, or GCPs, for conducting, recording and reporting the results of clinical trials to assure that data and reported results are credible and accurate and that the rights, integrity and confidentiality of trial participants are protected. Regulatory authorities enforce these requirements through periodic inspections of trial sponsors, clinical investigators and trial sites. If we or any of our clinical research organizations fail to comply with applicable GCPs, the clinical data generated in our clinical trials may be deemed unreliable and the FDA or comparable foreign regulatory authorities may require us to perform additional clinical trials before approving our marketing applications. We cannot assure you that upon inspection by a given regulatory authority, such regulatory authority will determine that any of our clinical trials complies with GCP regulations. In addition, our clinical trials must be conducted with product produced under current good manufacturing practice, or cGMP, regulations. Our failure to comply with these regulations may require us to repeat clinical trials, which would delay the regulatory approval process. We also are required to register ongoing clinical trials and post the results

28


of completed clinical trials on a government-sponsored database, ClinicalTrials.gov, within specified timeframes. Failure to do so can result in fines, adverse publicity and civil and criminal sanctions.

        The third parties with whom we have contracted to help perform our preclinical studies or clinical trials may also have relationships with other entities, some of which may be our competitors. If these third parties do not successfully carry out their contractual duties, meet expected deadlines or conduct our preclinical studies or clinical trials in accordance with regulatory requirements or our stated protocols, we will not be able to obtain, or may be delayed in obtaining, marketing approvals for our product candidates and will not be able to, or may be delayed in our efforts to, successfully commercialize our product candidates.

        If any of our relationships with these third-party contract research organizations or clinical research organizations terminate, we may not be able to enter into arrangements with alternative contract research organizations or clinical research organizations or to do so on commercially reasonable terms. Switching or adding additional contract research organizations or clinical research organizations involves additional cost and requires management time and focus. In addition, there is a natural transition period when a new contract research organization or clinical research organization commences work. As a result, delays could occur, which could compromise our ability to meet our desired development timelines. Though we carefully manage our relationships with our contract research organizations or clinical research organizations, there can be no assurance that we will not encounter similar challenges or delays in the future.

We contract with third parties for the manufacture of our product candidates for preclinical and clinical testing and expect to continue to do so for commercialization. This reliance on third parties increases the risk that we will not have sufficient quantities of our product candidates or products or such quantities at an acceptable cost, which could delay, prevent or impair our development or commercialization efforts.

        We do not have any manufacturing facilities or personnel. We rely, and expect to continue to rely, on third parties for the manufacture of our product candidates for preclinical and clinical testing, as well as for commercial manufacture, if any, of our product candidates receive marketing approval. This reliance on third parties increases the risk that we will not have sufficient quantities of our product candidates or products or such quantities at an acceptable cost or quality, which could delay, prevent or impair our development or commercialization efforts. For example, in March 2011, TRV027 was put on clinical hold by the FDA following an FDA audit at the company then manufacturing the TRV027 drug product. We replaced this drug product with new drug product manufactured by another company and the FDA lifted the clinical hold in June 2011.

        We also expect to rely on third-party manufacturers or third-party collaborators for the manufacture of commercial supply of any product candidates for which our collaborators or we obtain marketing approval. We may be unable to establish any agreements with third-party manufacturers or to do so on acceptable terms. Even if we are able to establish agreements with third-party manufacturers, reliance on third-party manufacturers entails additional risks, including:

    •
    reliance on the third party for regulatory compliance and quality assurance;

    •
    the possible breach of the manufacturing agreement by the third party;

    •
    manufacturing delays if our third-party manufacturers give greater priority to the supply of other products over our product candidates or otherwise do not satisfactorily perform according to the terms of the agreement between us;

29


    •
    the possible misappropriation of our proprietary information, including our trade secrets and know-how; and

    •
    the possible termination or nonrenewal of the agreement by the third party at a time that is costly or inconvenient for us.

        The facilities used by our contract manufacturers to manufacture our product candidates must be approved by the FDA pursuant to inspections that will be conducted after we submit an NDA to the FDA. We do not control the manufacturing process of, and are completely dependent on, our contract manufacturers for compliance with cGMP regulations for manufacture of our product candidates. Third-party manufacturers may not be able to comply with the cGMP regulations or similar regulatory requirements outside the United States. Our failure, or the failure of our third-party manufacturers, to comply with applicable regulations could result in sanctions being imposed on us, including clinical holds, fines, injunctions, civil penalties, delays, suspension or withdrawal of approvals, license revocation, seizures or recalls of product candidates or products, operating restrictions and criminal prosecutions, any of which could significantly and adversely affect supplies of our products.

        Our product candidates and any products that we may develop may compete with other product candidates and products for access to manufacturing facilities. There are a limited number of manufacturers that operate under cGMP regulations and that might be capable of manufacturing for us. Any performance failure on the part of our existing or future manufacturers could delay clinical development or marketing approval. We do not currently have arrangements in place for redundant supply or a second source for bulk drug substance. If our current contract manufacturers cannot perform as agreed, we may be required to replace such manufacturers. We may incur added costs and delays in identifying and qualifying any replacement manufacturers.

        The U.S. Drug Enforcement Administration, or DEA, restricts the importation of a controlled substance finished drug product when the same substance is commercially available in the United States, which could reduce the number of potential alternative manufacturers for our µ-opioid receptor targeted product candidates, including TRV130 and TRV734. In addition, a DEA quota system controls and limits the availability and production of controlled substances and the DEA also has authority to grant or deny requests for quota of controlled substances, which will likely include the active ingredients in TRV130 and TRV734. Supply disruptions could result from delays in obtaining DEA approvals for controlled substances or from the receipt of quota of controlled substances that are insufficient to meet future product demand. The quota system also may limit our ability to build inventory as a method for mitigating possible supply disruptions if TRV130 or TRV734 are approved for sale in the United States.

        Our current and anticipated future dependence upon others for the manufacture of our product candidates or products may adversely affect our future profit margins and our ability to commercialize any products that receive marketing approval on a timely and competitive basis.

        We also expect to rely on other third parties to store and distribute drug supplies for our clinical trials. Any performance failure on the part of our distributors could delay clinical development or marketing approval of our product candidates or commercialization of our products, producing additional losses and depriving us of potential product revenue.

We rely on clinical data and results obtained by third parties that could ultimately prove to be inaccurate or unreliable.

        As part of our strategy to mitigate development risk, we seek to develop product candidates with validated mechanisms of action and we utilize biomarkers to assess potential clinical efficacy early in the development process. This strategy necessarily relies upon clinical data and other results obtained by third parties that may ultimately prove to be inaccurate or unreliable. Further, such clinical data and

30


results may be based on products or product candidates that are significantly different from our product candidates. If the third-party data and results we rely upon prove to be inaccurate, unreliable or not applicable to our product candidates, we could make inaccurate assumptions and conclusions about our product candidates and our research and development efforts could be compromised.

Risks Related to Our Intellectual Property

If we are unable to obtain and maintain patent protection for our technology and products or if the scope of the patent protection obtained is not sufficiently broad, our competitors could develop and commercialize technology and products similar or identical to ours, and our ability to successfully commercialize our technology and products may be impaired.

        Our success depends in large part on our ability to obtain and maintain patent protection in the United States and other countries with respect to our product candidates. We seek to protect our proprietary position by filing patent applications in the United States and abroad related to our product candidates.

        The patent prosecution process is expensive and time-consuming, and we may not be able to file and prosecute all necessary or desirable patent applications at a reasonable cost or in a timely manner. It is also possible that we will fail to identify patentable aspects of our research and development output before it is too late to obtain patent protection. If Actavis exercises its option to license TRV027, it will have the first right to prosecute, maintain and enforce TRV027 patents and these obligations may have an effect on our strategy regarding the preparation, filing and prosecution of patent applications, or maintenance of the patents, covering our product candidates. Moreover, should we enter into other collaborations we may be required to consult with or cede control to collaborators regarding the prosecution, maintenance and enforcement of our patents. Therefore, these patents and applications may not be prosecuted and enforced in a manner consistent with the best interests of our business.

        The patent position of biotechnology and pharmaceutical companies generally is highly uncertain, involves complex legal and factual questions and has in recent years been the subject of much litigation. In addition, the laws of foreign countries may not protect our rights to the same extent as the laws of the United States. For example, European patent law restricts the patentability of methods of treatment of the human body more than United States law does. Publications of discoveries in the scientific literature often lag behind the actual discoveries, and patent applications in the United States and other jurisdictions are typically not published until 18 months after a first filing, or in some cases at all. Therefore, we cannot know with certainty whether we were the first to make the inventions claimed in our owned or licensed patents or pending patent applications, or that we were the first to file for patent protection of such inventions. As a result, the issuance, scope, validity, enforceability and commercial value of our patent rights are highly uncertain. Our pending and future patent applications may not result in patents being issued which protect our technology or products, in whole or in part, or which effectively prevent others from commercializing competitive technologies and products. Changes in either the patent laws or interpretation of the patent laws in the United States and other countries may diminish the value of our patents or narrow the scope of our patent protection.

        Recent patent reform legislation could increase the uncertainties and costs surrounding the prosecution of our patent applications and the enforcement or defense of our issued patents. On September 16, 2011, the Leahy-Smith America Invents Act, or the Leahy-Smith Act, was signed into law. The Leahy-Smith Act includes a number of significant changes to United States patent law. These include provisions that affect the way patent applications are prosecuted and may also affect patent litigation. The United States Patent Office recently developed new regulations and procedures to govern administration of the Leahy-Smith Act, and many of the substantive changes to patent law associated with the Leahy-Smith Act, and in particular, the first to file provisions, only became effective

31


on March 16, 2013. Accordingly, it is not clear what, if any, impact the Leahy-Smith Act will have on the operation of our business. However, the Leahy-Smith Act and its implementation could increase the uncertainties and costs surrounding the prosecution of our patent applications and the enforcement or defense of our issued patents, all of which could have a material adverse effect on our business and financial condition.

        Moreover, we may be subject to a third-party preissuance submission of prior art to the U.S. Patent and Trademark Office, or become involved in opposition, derivation, reexamination, inter partes review, post-grant review or interference proceedings challenging our patent rights or the patent rights of others. An adverse determination in any such submission, proceeding or litigation could reduce the scope of, render unenforceable, or invalidate, our patent rights, allow third parties to commercialize our technology or products and compete directly with us, without payment to us, or result in our inability to manufacture or commercialize products without infringing third-party patent rights. In addition, if the breadth or strength of protection provided by our patents and patent applications is threatened, it could dissuade companies from collaborating with us to license, develop or commercialize current or future product candidates.

        Even if our patent applications issue as patents, they may not issue in a form that will provide us with any meaningful protection, prevent competitors from competing with us or otherwise provide us with any competitive advantage. Our competitors may be able to circumvent our owned or licensed patents by developing similar or alternative technologies or products in a non-infringing manner.

        The issuance of a patent does not foreclose challenges to its inventorship, scope, validity or enforceability. Therefore, our owned and licensed patents may be challenged in the courts or patent offices in the United States and abroad. Such challenges may result in loss of exclusivity or freedom to operate or in patent claims being narrowed, invalidated or held unenforceable, in whole or in part, which could limit our ability to stop others from using or commercializing similar or identical technology and products, or limit the duration of the patent protection of our technology and products. Given the amount of time required for the development, testing and regulatory review of new product candidates, patents protecting such product candidates might expire before or shortly after such product candidates are commercialized. As a result, our owned and licensed patent portfolio may not provide us with sufficient rights to exclude others from commercializing products similar or identical to ours.

We may become involved in lawsuits to protect or enforce our patents or other intellectual property, which could be expensive, time consuming and unsuccessful.

        Competitors may infringe our issued patents or other intellectual property. To counter infringement or unauthorized use, we may be required to file infringement claims, which can be expensive and time consuming. Any claims we assert against perceived infringers could provoke these parties to assert counterclaims against us alleging that we infringe their patents. In addition, in a patent infringement proceeding, a court may decide that a patent of ours is invalid or unenforceable, in whole or in part, construe the patent's claims narrowly or refuse to stop the other party from using the technology at issue on the grounds that our patents do not cover the technology in question. An adverse result in any litigation proceeding could put one or more of our patents at risk of being invalidated, rendered unenforceable, or interpreted narrowly.

We may need to license certain intellectual property from third parties, and such licenses may not be available or may not be available on commercially reasonable terms.

        A third party may hold intellectual property, including patent rights, that are important or necessary to the development of our products. It may be necessary for us to use the patented or proprietary technology of third parties to commercialize our products, in which case we would be

32


required to obtain a license from these third parties on commercially reasonable terms, or our business could be harmed, possibly materially.

Third parties may initiate legal proceedings alleging that we are infringing their intellectual property rights, the outcome of which would be uncertain and could have a material adverse effect on the success of our business.

        Our commercial success depends upon our ability, and the ability of our collaborators, to develop, manufacture, market and sell our product candidates and use our proprietary technologies without infringing the proprietary rights of third parties. There is considerable intellectual property litigation in the biotechnology and pharmaceutical industries. We may become party to, or threatened with, future adversarial proceedings or litigation regarding intellectual property rights with respect to our products and technology, including interference or derivation proceedings before the U.S. Patent and Trademark Office. Third parties may assert infringement claims against us based on existing patents or patents that may be granted in the future.

        If we are found to infringe a third party's intellectual property rights, we could be required to obtain a license from such third party to continue developing and marketing our products and technology. However, we may not be able to obtain any required license on commercially reasonable terms or at all. Even if we were able to obtain a license, it could be non-exclusive, thereby giving our competitors access to the same technologies licensed to us. We could be forced, including by court order, to cease commercializing the infringing technology or product. In addition, we could be found liable for monetary damages, including treble damages and attorneys' fees if we are found to have willfully infringed a patent. A finding of infringement could prevent us from commercializing our product candidates or force us to cease some of our business operations, which could materially harm our business. Claims that we have misappropriated the confidential information or trade secrets of third parties could have a similar negative impact on our business.

If we fail to comply with our obligations in our intellectual property licenses and funding arrangements with third parties, we could lose rights that are important to our business.

        We are currently party to license agreements for technologies that we use in conducting our drug discovery activities. In the future, we may become party to licenses that are important for product development and commercialization. If we fail to comply with our obligations under current or future license and funding agreements, our counterparties may have the right to terminate these agreements, in which event we might not be able to develop, manufacture or market any product or utilize any technology that is covered by these agreements or may face other penalties under the agreements. Such an occurrence could materially and adversely affect the value of a product candidate being developed under any such agreement or could restrict our drug discovery activities. Termination of these agreements or reduction or elimination of our rights under these agreements may result in our having to negotiate new or reinstated agreements with less favorable terms, or cause us to lose our rights under these agreements, including our rights to important intellectual property or technology.

We may be subject to claims by third parties asserting that our employees or we have misappropriated their intellectual property, or claiming ownership of what we regard as our own intellectual property.

        Many of our employees were previously employed at universities or other biotechnology or pharmaceutical companies, including our competitors or potential competitors. Although we try to ensure that our employees do not use the proprietary information or know-how of others in their work for us, we may be subject to claims that these employees or we have used or disclosed intellectual property, including trade secrets or other proprietary information, of any such employee's former employer. Litigation may be necessary to defend against these claims.

33


        In addition, while it is our policy to require our employees and contractors who may be involved in the development of intellectual property to execute agreements assigning such intellectual property to us, we may be unsuccessful in executing such an agreement with each party who in fact develops intellectual property that we regard as our own. Our and their assignment agreements may not be self-executing or may be breached, and we may be forced to bring claims against third parties, or defend claims they may bring against us, to determine the ownership of what we regard as our intellectual property.

        If we fail in prosecuting or defending any such claims, in addition to paying monetary damages, we may lose valuable intellectual property rights or personnel. Even if we are successful in prosecuting or defending against such claims, litigation could result in substantial costs and be a distraction to management.

Intellectual property litigation could cause us to spend substantial resources and distract our personnel from their normal responsibilities.

        Even if resolved in our favor, litigation or other legal proceedings relating to intellectual property claims may cause us to incur significant expenses, and could distract our technical and management personnel from their normal responsibilities. In addition, there could be public announcements of the results of hearings, motions or other interim proceedings or developments and if securities analysts or investors perceive these results to be negative, it could have a substantial adverse effect on the price of our common stock. Such litigation or proceedings could substantially increase our operating losses and reduce the resources available for development activities or any future sales, marketing or distribution activities. We may not have sufficient financial or other resources to conduct such litigation or proceedings adequately. Some of our competitors may be able to sustain the costs of such litigation or proceedings more effectively than we can because of their greater financial resources. Uncertainties resulting from the initiation and continuation of patent litigation or other proceedings could compromise our ability to compete in the marketplace.

If we are unable to protect the confidentiality of our trade secrets, our business and competitive position would be harmed.

        In addition to seeking patent protection for our product candidates, we also rely on trade secrets, including unpatented know-how, technology and other proprietary information, to maintain our competitive position. We limit disclosure of such trade secrets where possible but we also seek to protect these trade secrets, in part, by entering into non-disclosure and confidentiality agreements with parties who do have access to them, such as our employees, corporate collaborators, outside scientific collaborators, contract manufacturers, consultants, advisors and other third parties. We also enter into confidentiality and invention or patent assignment agreements with our employees and consultants. Despite these efforts, any of these parties may breach the agreements and disclose our proprietary information, including our trade secrets, and we may not be able to obtain adequate remedies for such breaches. Enforcing a claim that a party illegally disclosed or misappropriated a trade secret is difficult, expensive and time-consuming, and the outcome is unpredictable. In addition, some courts inside and outside the United States are less willing or unwilling to protect trade secrets. If any of our trade secrets were to be lawfully obtained or independently developed by a competitor, we would have no right to prevent them, or those to whom they communicate it, from using that technology or information to compete with us. If any of our trade secrets were to be disclosed to or independently developed by a competitor, our competitive position would be harmed.

34


Risks Related to Regulatory Approval of Our Product Candidates and Other Legal Compliance Matters

If we are not able to obtain, or if there are delays in obtaining, required regulatory approvals, we will not be able to timely commercialize, or to commercialize at all, our product candidates, and our ability to generate revenue will be materially impaired.

        Our product candidates and the activities associated with their development and commercialization, including their design, testing, manufacture, safety, efficacy, recordkeeping, labeling, storage, approval, advertising, promotion, sale and distribution, are subject to comprehensive regulation by the FDA and other regulatory agencies in the United States and by the EMA and similar regulatory authorities outside the United States. Failure to obtain marketing approval for our product candidates will prevent us from commercializing these product candidates and will significantly limit our ability to generate revenue in the future. To date, we have not received approvals to market any of our product candidates from regulatory authorities in any jurisdiction and we may never be successful in obtaining any such approvals.

        We have only limited experience in filing and supporting the applications necessary to gain marketing approvals and expect to rely on third-party contract research organizations to assist us in this process. Securing marketing approval requires the submission of extensive preclinical and clinical data and supporting information to regulatory authorities for each therapeutic indication to establish the product candidate's safety and efficacy. Securing marketing approval also requires the submission of information about the product manufacturing process to, and inspection of manufacturing facilities by, the regulatory authorities. Our product candidates may not be effective, may be only moderately effective or may prove to have undesirable or unintended side effects, toxicities or other characteristics that may preclude our obtaining marketing approval or prevent or limit commercial use. If any of our product candidates receives marketing approval, the accompanying label may limit the approved use of our drug in this way, which could limit sales of the product.

        The process of obtaining marketing approvals, both in the United States and abroad, is expensive, may take many years if approval is obtained at all, and can vary substantially based upon a variety of factors, including the type, complexity and novelty of the product candidates involved. Changes in marketing approval policies during the development period, changes in or the enactment of additional statutes or regulations, or changes in regulatory review for each submitted product application, may cause delays in the approval or rejection of an application. Regulatory authorities have substantial discretion in the approval process and may refuse to accept any application or may decide that our data are insufficient for approval and require additional preclinical studies or clinical trials. In addition, varying interpretations of the data obtained from preclinical and clinical testing could delay, limit or prevent marketing approval of a product candidate. Any marketing approval we ultimately obtain may be limited or subject to restrictions or post-approval commitments that render the approved product not commercially viable.

        If we experience delays in obtaining approval, the commercial prospects for our product candidates may be harmed and our ability to generate revenue may be materially impaired. Furthermore, even if we were to obtain approval, regulatory authorities may approve any of our product candidates for fewer or more limited indications than we request, may not approve the price we intend to charge for our products, may grant approval contingent on the performance of costly post-marketing clinical trials, or may approve a product candidate with a label that does not include the labeling claims necessary or desirable for the successful commercialization of that product candidate. Any of these scenarios could compromise the commercial prospects for our product candidates.

35


We anticipate that our µ-opioid receptor targeted product candidates, including TRV130 and TRV734, will require Risk Evaluation and Mitigation Strategies, which could delay the approval of these product candidates and increase the cost, burden and liability associated with the commercialization of these product candidates.

        The FDA Amendments Act of 2007 implemented safety-related changes to product labeling and provided the FDA with expanded authority to require the adoption of a Risk Evaluation and Mitigation Strategy, or REMS, to assure safe use of the product candidates, either as a condition of product candidate approval or on the basis of new safety information. We anticipate that our µ-opioid receptor product candidates, if approved, will require a REMS, and it is possible that our other product candidates may require a REMS. The REMS may include medication guides for patients, special communication plans to health care professionals or elements to assure safe uses such as restricted distribution methods, patient registries and/or other risk minimization tools. We cannot predict the specific REMS that will be required as part of the FDA's approval of our product candidates. Any of these limitations on approval or marketing could restrict the commercial promotion, distribution, prescription or dispensing of our product candidates, if approved. Depending on the extent of the REMS requirements, these requirements may significantly increase our costs to commercialize these product candidates and could negatively affect sales. Furthermore, risks of our product candidates that are not adequately addressed through proposed REMS for such product candidates also may prevent or delay their approval for commercialization.

Our µ-opioid receptor targeted product candidates, including TRV130 and TRV734, may be classified as controlled substances, the making, use, sale, importation, exportation and distribution of which are subject to regulation by state, federal and foreign law enforcement and other regulatory agencies.

        Our µ-opioid receptor targeted product candidates, including TRV130 and TRV734, may be classified as controlled substances, which are subject to state, federal and foreign laws and regulations regarding their manufacture, use, sale, importation, exportation and distribution. Controlled substances are regulated under the federal Controlled Substances Act of 1970, or CSA, and regulations of the DEA.

        The DEA regulates controlled substances as Schedule I, II, III, IV or V substances. Schedule I substances by definition have no established medicinal use and may not be marketed or sold in the United States. A pharmaceutical product may be listed as Schedule II, III, IV or V, with Schedule II substances considered to present the highest risk of abuse and Schedule V substances the lowest relative risk of abuse among such substances. We expect TRV130 and TRV734 to be regulated by the DEA as Schedule II controlled substances.

        Various states also independently regulate controlled substances. Though state controlled substances laws often mirror federal law, because the states are separate jurisdictions, they may separately schedule drugs as well. While some states automatically schedule a drug when the DEA does so, in other states there must be rulemaking or a legislative action. State scheduling may delay commercial sale of any controlled substance drug product for which we obtain federal regulatory approval and adverse scheduling could impair the commercial attractiveness of such product. We or our collaborators must also obtain separate state registrations in order to be able to obtain, handle and distribute controlled substances for clinical trials or commercial sale, and failure to meet applicable regulatory requirements could lead to enforcement and sanctions from the states in addition to those from the DEA or otherwise arising under federal law.

        For any of our product candidates classified as controlled substances, we and our suppliers, manufacturers, contractors, customers and distributors are required to obtain and maintain applicable registrations from state, federal and foreign law enforcement and regulatory agencies and comply with state, federal and foreign laws and regulations regarding the manufacture, use, sale, importation, exportation and distribution of controlled substances. There is a risk that DEA regulations may limit

36


the supply of the compounds used in clinical trials for our product candidates, and, in the future, the ability to produce and distribute our products in the volume needed to both meet commercial demand and build inventory to mitigate possible supply disruptions.

        Regulations associated with controlled substances govern manufacturing, labeling, packaging, testing, dispensing, production and procurement quotas, recordkeeping, reporting, handling, shipment and disposal. These regulations increase the personnel needs and the expense associated with development and commercialization of product candidates including controlled substances. The DEA, and some states, conduct periodic inspections of registered establishments that handle controlled substances. Failure to obtain and maintain required registrations or comply with any applicable regulations could delay or preclude us from developing and commercializing our product candidates containing controlled substances and subject us to enforcement action. The DEA may seek civil penalties, refuse to renew necessary registrations or initiate proceedings to revoke those registrations. In some circumstances, violations could lead to criminal proceedings. Because of their restrictive nature, these regulations could limit commercialization of any of our product candidates that are classified as controlled substances.

Failure to obtain marketing approval in international jurisdictions would prevent our product candidates from being marketed abroad.

        To market and sell our products in the European Union and many other jurisdictions, we or our third-party collaborators must obtain separate marketing approvals and comply with numerous and varying regulatory requirements. The approval procedure varies among countries and can involve additional testing. The time required to obtain approval may differ substantially from that required to obtain FDA approval. The regulatory approval process outside the United States generally includes all of the risks associated with obtaining FDA approval. In addition, in many countries outside the United States, it is required that the product be approved for reimbursement before the product can be approved for sale in that country. We or our collaborators may not obtain approvals from regulatory authorities outside the United States on a timely basis, if at all. Approval by the FDA does not ensure approval by regulatory authorities in other countries or jurisdictions, and approval by one regulatory authority outside the United States does not ensure approval by regulatory authorities in other countries or jurisdictions or by the FDA. However, the failure to obtain approval in one jurisdiction may compromise our ability to obtain approval elsewhere. We may not be able to file for marketing approvals and may not receive necessary approvals to commercialize our products in any market.

Any product candidate for which we obtain marketing approval could be subject to post-marketing restrictions or withdrawal from the market and we may be subject to penalties if we fail to comply with regulatory requirements or if we experience unanticipated problems with our products, when and if any of them are approved.

        Any product candidate for which we obtain marketing approval, along with the manufacturing processes, post-approval clinical data, labeling, advertising and promotional activities for such product, will be subject to ongoing requirements of and review by the FDA and other regulatory authorities. These requirements include submissions of safety and other post-marketing information and reports, registration and listing requirements, cGMP requirements relating to manufacturing, quality control, quality assurance and corresponding maintenance of records and documents, requirements regarding the distribution of samples to physicians and recordkeeping. Even if marketing approval of a product candidate is granted, the approval may be subject to limitations on the indicated uses for which the product may be marketed or to the conditions of approval, including the requirement to implement a REMS. If any of our product candidates receives marketing approval, the accompanying label may limit the approved use of our drug, which could limit sales of the product.

37


        The FDA also may impose requirements for costly post-marketing studies or clinical trials and surveillance to monitor the safety or efficacy of the product. The FDA closely regulates the post-approval marketing and promotion of drugs to ensure drugs are marketed only for the approved indications and in accordance with the provisions of the approved labeling. The FDA imposes stringent restrictions on manufacturers' communications regarding off-label use and if we do not market our products for only their approved indications, we may be subject to enforcement action for off-label marketing. Violations of the Federal Food, Drug, and Cosmetic Act relating to the promotion of prescription drugs may lead to investigations alleging violations of federal and state health care fraud and abuse laws, as well as state consumer protection laws.

        In addition, later discovery of previously unknown adverse events or other problems with our products, manufacturers or manufacturing processes, or failure to comply with regulatory requirements, may yield various results, including:

    •
    restrictions on such products, manufacturers or manufacturing processes;

    •
    restrictions on the labeling or marketing of a product;

    •
    restrictions on product distribution or use;

    •
    requirements to conduct post-marketing studies or clinical trials;

    •
    warning letters;

    •
    withdrawal of the products from the market;

    •
    refusal to approve pending applications or supplements to approved applications that we submit;

    •
    recall of products;

    •
    fines, restitution or disgorgement of profits or revenue;

    •
    suspension or withdrawal of marketing approvals;

    •
    refusal to permit the import or export of our products;

    •
    product seizure; or

    •
    injunctions or the imposition of civil or criminal penalties.

        The FDA's policies may change and additional government regulations may be enacted that could prevent, limit or delay regulatory approval of our product candidates. If we are slow or unable to adapt to changes in existing requirements or the adoption of new requirements or policies, or if we are not able to maintain regulatory compliance, we may lose any marketing approval that we may have obtained.

Our current and future relationships with customers and third-party payors in the United States and elsewhere may be subject, directly or indirectly, to applicable anti-kickback, fraud and abuse, false claims, transparency, health information privacy and security and other healthcare laws and regulations, which could expose us to criminal sanctions, civil penalties, contractual damages, reputational harm, administrative burdens and diminished profits and future earnings.

        Healthcare providers, physicians and third-party payors in the United States and elsewhere will play a primary role in the recommendation and prescription of any product candidates for which we obtain marketing approval. Our future arrangements with third-party payors and customers may expose us to broadly applicable fraud and abuse and other healthcare laws and regulations, including, without limitation, the federal Anti-Kickback Statute and the federal False Claims Act, which may constrain the business or financial arrangements and relationships through which we sell, market and distribute any drugs for which we obtain marketing approval. In addition, we may be subject to transparency laws and

38


patient privacy regulation by U.S. federal and state governments and by governments in foreign jurisdictions in which we conduct our business. The applicable federal, state and foreign healthcare laws and regulations that may affect our ability to operate include:

    •
    the federal Anti-Kickback Statute, which prohibits, among other things, persons from knowingly and willfully soliciting, offering, receiving or providing remuneration, directly or indirectly, in cash or in kind, to induce or reward, or in return for, either the referral of an individual for, or the purchase, order or recommendation of, any good or service, for which payment may be made under federal and state healthcare programs, such as Medicare and Medicaid;

    •
    federal civil and criminal false claims laws and civil monetary penalty laws, including the federal False Claims Act, which impose criminal and civil penalties, including civil whistleblower or qui tam actions, against individuals or entities for knowingly presenting, or causing to be presented, to the federal government, including the Medicare and Medicaid programs, claims for payment that are false or fraudulent or making a false statement to avoid, decrease or conceal an obligation to pay money to the federal government; the federal Health Insurance Portability and Accountability Act of 1996, or HIPAA, which imposes criminal and civil liability for executing a scheme to defraud any healthcare benefit program or making false statements relating to healthcare matters;

    •
    HIPAA, as amended by the Health Information Technology for Economic and Clinical Health Act of 2009, or HITECH, and their respective implementing regulations, which impose obligations on covered healthcare providers, health plans, and healthcare clearinghouses, as well as their business associates that create, receive, maintain or transmit individually identifiable health information for or on behalf of a covered entity, with respect to safeguarding the privacy, security and transmission of individually identifiable health information;

    •
    the federal Open Payments program, which requires manufacturers of drugs, devices, biologics and medical supplies for which payment is available under Medicare, Medicaid or the Children's Health Insurance Program, with specific exceptions, to report annually to the Centers for Medicare & Medicaid Services, or CMS, information related to "payments or other transfers of value" made to physicians, which is defined to include doctors, dentists, optometrists, podiatrists and chiropractors, and teaching hospitals and applicable manufacturers and applicable group purchasing organizations to report annually to CMS ownership and investment interests held by the physicians and their immediate family members, requirements for manufacturers to submit reports to CMS by the 90th day of each calendar year, and subsequent disclosure of such information by CMS on a publicly available website; and

    •
    analogous state and foreign laws and regulations, such as state anti-kickback and false claims laws, which may apply to sales or marketing arrangements and claims involving healthcare items or services reimbursed by non-governmental third-party payors, including private insurers; state and foreign laws that require pharmaceutical companies to comply with the pharmaceutical industry's voluntary compliance guidelines and the relevant compliance guidance promulgated by the federal government or otherwise restrict payments that may be made to healthcare providers; state and foreign laws that require drug manufacturers to report information related to payments and other transfers of value to physicians and other healthcare providers or marketing expenditures; and state and foreign laws governing the privacy and security of health information in certain circumstances, many of which differ from each other in significant ways and often are not preempted by HIPAA, thus complicating compliance efforts.

        Efforts to ensure that our business arrangements with third parties will comply with applicable healthcare laws and regulations may involve substantial costs. It is possible that governmental authorities will conclude that our business practices may not comply with current or future statutes, regulations or case law involving applicable fraud and abuse or other healthcare laws and regulations. If

39


our operations are found to be in violation of any of these laws or any other governmental regulations that may apply to us, we may be subject to significant civil, criminal and administrative penalties, including, without limitation, damages, fines, imprisonment, exclusion from participation in government healthcare programs, such as Medicare and Medicaid, and the curtailment or restructuring of our operations, which could have a material adverse effect on our business. If any of the physicians or other healthcare providers or entities with whom we expect to do business, including our collaborators, is found not to be in compliance with applicable laws, it may be subject to criminal, civil or administrative sanctions, including exclusions from participation in government healthcare programs, which could also materially affect our business.

Recently enacted and future legislation may increase the difficulty and cost for us to obtain marketing approval of and commercialize our product candidates and affect the prices we may obtain.

        In the United States and some foreign jurisdictions, there have been a number of legislative and regulatory changes and proposed changes regarding the healthcare system that could prevent or delay marketing approval of our product candidates, restrict or regulate post-approval activities and affect our ability to profitably sell any product candidates for which we obtain marketing approval.

        Among policy makers and payors in the United States and elsewhere, there is significant interest in promoting changes in healthcare systems with the stated goals of containing healthcare costs, improving quality and expanding access. In the United States, the pharmaceutical industry has been a particular focus of these efforts and has been significantly affected by major legislative initiatives. In March 2010, President Obama signed into law the Patient Protection and Affordable Care Act, as amended by the Health Care and Education Affordability Reconciliation Act, or collectively the PPACA, a sweeping law intended to broaden access to health insurance, reduce or constrain the growth of healthcare spending, enhance remedies against fraud and abuse, add new transparency requirements for the healthcare and health insurance industries, impose new taxes and fees on the health industry and impose additional health policy reforms.

        Among the provisions of the PPACA of importance to our potential product candidates are:

    •
    an annual, nondeductible fee on any entity that manufactures or imports specified branded prescription drugs and biologic agents, apportioned among these entities according to their market share in certain government healthcare programs;

    •
    an increase in the statutory minimum rebates a manufacturer must pay under the Medicaid Drug Rebate Program to 23.1% and 13.0% of the average manufacturer price for branded and generic drugs, respectively;

    •
    expansion of healthcare fraud and abuse laws, including the False Claims Act and the Anti-Kickback Statute, new government investigative powers and enhanced penalties for non-compliance;

    •
    a new Medicare Part D coverage gap discount program, in which manufacturers must agree to offer 50% point-of-sale discounts off negotiated prices of applicable brand drugs to eligible beneficiaries during their coverage gap period, as a condition for a manufacturer's outpatient drugs to be covered under Medicare Part D;

    •
    extension of a manufacturer's Medicaid rebate liability to covered drugs dispensed to individuals who are enrolled in Medicaid managed care organizations;

    •
    expansion of eligibility criteria for Medicaid programs by, among other things, allowing states to offer Medicaid coverage to additional individuals and by adding new mandatory eligibility categories for certain individuals with income at or below 133% of the federal poverty level beginning in 2014, thereby potentially increasing a manufacturer's Medicaid rebate liability;

40


    •
    expansion of the entities eligible for discounts under the Public Health Service pharmaceutical pricing program;

    •
    the new requirements under the federal Open Payments program and its implementing regulations;

    •
    a new requirement to annually report drug samples that manufacturers and distributors provide to physicians; and

    •
    a new Patient-Centered Outcomes Research Institute to oversee, identify priorities in, and conduct comparative clinical effectiveness research, along with funding for such research.

        In addition, other legislative changes have been proposed and adopted since the PPACA was enacted. These changes include aggregate reductions to Medicare payments to providers of 2% per fiscal year, which went into effect on April 1, 2013, and will remain in effect through 2024 unless additional Congressional action is taken. In January 2013, President Obama signed into law the American Taxpayer Relief Act of 2012, which, among other things, further reduced Medicare payments to several providers and increased the statute of limitations period for the government to recover overpayments to providers from three to five years. These new laws may result in additional reductions in Medicare and other healthcare funding, which could have a material adverse effect on customers for our drugs, if approved, and, accordingly, our financial operations.

        We expect that the PPACA, as well as other healthcare reform measures that may be adopted in the future, may result in more rigorous coverage criteria and in additional downward pressure on the price that we receive for any approved drug. Any reduction in reimbursement from Medicare or other government healthcare programs may result in a similar reduction in payments from private payors. The implementation of cost containment measures or other healthcare reforms may prevent us from being able to generate revenue, attain profitability or commercialize our drugs.

        Legislative and regulatory proposals have been made to expand post-approval requirements and restrict sales and promotional activities for drugs. We cannot be sure whether additional legislative changes will be enacted, or whether the FDA regulations, guidance or interpretations will be changed, or what the impact of such changes on the marketing approvals of our product candidates, if any, may be. In addition, increased scrutiny by the U.S. Congress of the FDA's approval process may significantly delay or prevent marketing approval, as well as subject us to more stringent product labeling and post-marketing testing and other requirements.

Governments outside the United States tend to impose strict price controls, which may adversely affect our revenue, if any.

        In some countries, particularly the countries of the European Union, the pricing of prescription pharmaceuticals is subject to governmental control. In these countries, pricing negotiations with governmental authorities can take considerable time after the receipt of marketing approval for a product. To obtain coverage and reimbursement or pricing approval in some countries, we may be required to conduct a clinical trial that compares the cost-effectiveness of our product candidate to other available therapies. If reimbursement of our products is unavailable or limited in scope or amount, or if pricing is set at unsatisfactory levels, our business could be harmed, possibly materially.

If we fail to comply with environmental, health and safety laws and regulations, we could become subject to fines or penalties or incur costs that could harm our business.

        We are subject to numerous environmental, health and safety laws and regulations, including those governing laboratory procedures and the handling, use, storage, treatment and disposal of hazardous materials and wastes. Our operations involve the use of hazardous and flammable materials, including chemicals and biological materials. Our operations also produce hazardous waste products. We

41


generally contract with third parties for the disposal of these materials and wastes. We cannot eliminate the risk of contamination or injury from these materials. In the event of contamination or injury resulting from our use of hazardous materials, we could be held liable for any resulting damages, and any liability could exceed our resources. We also could incur significant costs associated with civil or criminal fines and penalties for failure to comply with such laws and regulations.

        Although we maintain workers' compensation insurance to cover us for costs and expenses we may incur due to injuries to our employees resulting from the use of hazardous materials, this insurance may not provide adequate coverage against potential liabilities. We do not maintain insurance for environmental liability or toxic tort claims that may be asserted against us in connection with our storage or disposal of biological, hazardous or radioactive materials.

        In addition, we may incur substantial costs in order to comply with current or future environmental, health and safety laws and regulations. These current or future laws and regulations may impair our research, development or production efforts. Our failure to comply with these laws and regulations also may result in substantial fines, penalties or other sanctions.

Risks Related to Employee Matters and Managing Our Growth

Our future success depends on our ability to retain key executives and to attract, retain and motivate qualified personnel.

        We are highly dependent on the research, development, clinical, business development and financial expertise of our executive officers. Although we have entered into employment agreements with these individuals, each of them may terminate their employment with us at any time. We do not maintain "key person" insurance for any of our executives or other employees.

        Recruiting and retaining qualified management, scientific and clinical personnel, and if any of our product candidates achieve regulatory approval, potentially manufacturing and sales and marketing personnel, will also be critical to our success. The loss of the services of our executive officers or other key employees could impede the achievement of our research, development and commercialization objectives and seriously harm our ability to successfully implement our business strategy. Furthermore, replacing executive officers and key employees may be difficult and may take an extended period of time because of the limited number of individuals in our industry with the breadth of skills and experience required to successfully develop, gain regulatory approval of and commercialize products. Competition to hire from this limited pool is intense, and we may be unable to hire, train, retain or motivate these key personnel on acceptable terms given the competition among numerous pharmaceutical and biotechnology companies for similar personnel. We also experience competition for the hiring of scientific and clinical personnel from universities and research institutions. In addition, we rely on consultants and advisors, including scientific, clinical and commercial advisors, to assist us in formulating our research and development and commercialization strategy. Our consultants and advisors may be employed by employers other than us and may have commitments under consulting or advisory contracts with other entities that may limit their availability to us. If we are unable to continue to attract and retain high quality personnel, our ability to pursue our growth strategy will be limited.

We expect to expand our development and regulatory capabilities and potentially create sales, marketing and distribution capabilities, and as a result, we may encounter difficulties in managing our growth, which could disrupt our operations.

        We expect to experience significant growth in the number of our employees and the scope of our operations, particularly in the areas of drug development, regulatory affairs and, if any of our product candidates receives marketing approval, sales, marketing and distribution. To manage our anticipated future growth, we must continue to implement and improve our managerial, operational and financial systems, expand our facilities and continue to recruit and train additional qualified personnel. Due to

42


our limited financial resources and the limited experience of our management team in managing a company with such anticipated growth, we may not be able to effectively manage the expansion of our operations or recruit and train additional qualified personnel. The expansion of our operations may lead to significant costs and may divert our management and business development resources. Any inability to manage growth could delay the execution of our business plans or disrupt our operations.

Our employees may engage in misconduct or other improper activities, including noncompliance with regulatory standards and requirements, which could expose us to liability and hurt our reputation.

        We are exposed to the risk of employee fraud or other misconduct. Misconduct by employees could include intentional failures to comply with FDA regulations, provide accurate information to the FDA, report financial information or data accurately or disclose unauthorized activities to us. Employee misconduct could also involve the improper use or misrepresentation of information obtained in the course of clinical trials, which could result in regulatory sanctions and serious harm to our reputation. It is not always possible to identify and deter employee misconduct, and the precautions we take to detect and prevent this activity may not be effective in controlling unknown or unmanaged risks or losses or in protecting us from governmental investigations or other actions or lawsuits stemming from a failure to be in compliance with such laws or regulations. If any such actions are instituted against us, and we are not successful in defending ourselves or asserting our rights, those actions could have a significant impact on our business and financial results, including the imposition of significant fines or other sanctions.

Other Risks Related to our Business

We intend to conduct a substantial portion of the clinical trials for our product candidates outside of the United States and, if approved, we intend to market our product candidates abroad. Accordingly, we will be subject to the risks of doing business outside of the United States.

        We intend to conduct a substantial portion of our clinical trials outside of the United States and, if approved, we intend to market our product candidates outside of the United States. We are thus subject to risks associated with doing business outside of the United States. With respect to our product candidates, we may choose to partner with third parties that have direct sales forces and established distribution systems, either to augment our own sales force and distribution systems outside of the United States or in lieu of our own sales force and distribution systems, which would indirectly expose us to these risks. Our business and financial results in the future could be adversely affected due to a variety of factors associated with conducting development and marketing of our product candidates, if approved, outside of the United States, including:

    •
    efforts to develop an international sales, marketing and distribution organization may increase our expenses, divert our management's attention from the development of product candidates or cause us to forgo profitable licensing opportunities in these geographies;

    •
    changes in a specific country's or region's political and cultural climate or economic condition;

    •
    unexpected changes in foreign laws and regulatory requirements;

    •
    difficulty of effective enforcement of contractual provisions in local jurisdictions;

    •
    inadequate intellectual property protection in foreign countries;

    •
    trade-protection measures, import or export licensing requirements such as Export Administration Regulations promulgated by the U.S. Department of Commerce and fines, penalties or suspension or revocation of export privileges;

    •
    regulations under the U.S. Foreign Corrupt Practices Act and similar foreign anti-corruption laws;

43


    •
    the effects of applicable foreign tax structures and potentially adverse tax consequences; and

    •
    significant adverse changes in foreign currency exchange rates which could make the cost of our clinical trials, to the extent conducted outside of the United States, more expensive.

Our business and operations would suffer in the event of system failures.

        Despite our implementation of security measures, our internal computer systems and those of our contractors and consultants are vulnerable to damage from computer viruses, unauthorized access, natural disasters, terrorism, war and telecommunication and electrical failures. If such an event were to occur and cause interruptions in our operations, it could result in a material disruption to our product candidate development programs. For example, the loss of clinical trial data from completed, ongoing or planned clinical trials could result in delays in our regulatory approval efforts and significantly increase our costs to recover or reproduce the data. To the extent that any disruption or security breach were to result in a loss of or damage to our data or applications, or inappropriate disclosure of personal, confidential or proprietary information, we could incur liability and the further development of any of our product candidates could be delayed or abandoned.

Risks Related to this Offering and Ownership of Our Common Stock

An active trading market for our common stock may not continue to develop or be sustained.

        Although our common stock is listed on the NASDAQ Global Select Market, or NASDAQ, we cannot assure you that an active, liquid trading market for our shares will continue to develop or be sustained. If an active market for our common stock does not continue to develop or is not sustained, it may be difficult for you to sell shares quickly or without depressing the market price for the shares or to sell your shares at all.

The trading price of the shares of our common stock has been and may continue to be volatile, and purchasers of our common stock could incur substantial losses.

        Since our common stock commenced trading in January 2014, our stock price has been volatile. The stock market in general and the market for biopharmaceutical companies in particular have experienced extreme volatility that has often been unrelated to the operating performance of particular companies. As a result of this volatility, investors in our stock may not be able to sell their common stock at or above the price paid for the shares. The market price for our common stock may be influenced by many factors, including:

    •
    actual or anticipated variations in our operating results;

    •
    changes in financial estimates by us or by any securities analysts who might cover our stock;

    •
    the timing and results of our clinical trials for any of our product candidates;

    •
    failure or discontinuation of any of our development programs;

    •
    conditions or trends in our industry;

    •
    stock market price and volume fluctuations of comparable companies and, in particular, those that operate in the biopharmaceutical industry;

    •
    announcements by us or our competitors of significant acquisitions, strategic partnerships or divestitures;

    •
    developments or disputes concerning patent applications, issued patents or other proprietary rights;

44


    •
    announcements of investigations or regulatory scrutiny of our operations or lawsuits filed against us;

    •
    capital commitments;

    •
    investors' general perception of our company and our business;

    •
    recruitment or departure of key personnel;

    •
    announcements and expectations of additional financing efforts; and

    •
    sales of our common stock, including sales by our directors and officers or specific stockholders.

        In addition, in the past, stockholders have initiated class action lawsuits against pharmaceutical and biotechnology companies following periods of volatility in the market prices of these companies' stock. Such litigation, if instituted against us, could cause us to incur substantial costs and divert management's attention and resources from our business.

If equity research analysts do not continue to publish research or reports or publish unfavorable research or reports about us, our business or our market, our stock price and trading volume could decline.

        The trading market for our common stock is influenced by the research and reports that equity research analysts publish about us and our business. As a newly public company, we have only limited research coverage by equity research analysts. Equity research analysts may elect not to initiate or continue to provide research coverage of our common stock, and such lack of research coverage may adversely affect the market price of our common stock. We have no control over the analysts or the content and opinions included in their reports. The price of our stock could decline if one or more equity research analysts downgrade our stock or issue other unfavorable commentary or research. If one or more equity research analysts ceases coverage of our company or fails to publish reports on us regularly, demand for our stock could decrease, which in turn could cause our stock price or trading volume to decline.

If you purchase shares of our common stock in this offering, you will suffer immediate dilution of your investment.

        The assumed public offering price of our common stock is substantially higher than the net tangible book value per share of our common stock. Therefore, if you purchase shares of our common stock in this offering, you will pay a price per share that substantially exceeds our as adjusted net tangible book value per share after this offering. Based on the assumed public offering price of $            per share, which was the last reported sale price of our common stock on the NASDAQ Global Select Market on                                , 2014, you will experience immediate dilution of $            per share, representing the difference between our as adjusted net tangible book value per share after giving effect to this offering and the assumed public offering price.

        In addition, as of September 30, 2014, we had outstanding stock options to purchase an aggregate of 3,552,124 shares of common stock at a weighted average exercise price of $3.72 per share and warrants to purchase an aggregate of 30,258 shares of common stock at a weighted average exercise price of $5.62 per share. To the extent these outstanding options and warrants are exercised, there will be further dilution to investors in this offering.

A significant portion of our total outstanding shares are restricted from immediate resale but may be sold into the market in the near future. This could cause the market price of our common stock to drop significantly, even if our business is doing well.

        Sales of a substantial number of shares of our common stock in the public market could occur at any time. If our stockholders sell, or the market perceives that our stockholders intend to sell,

45


substantial amounts of our common stock in the public market following this offering, the market price of our common stock could decline significantly.

        Upon completion of this offering, based on the number of shares outstanding at September 30, 2014, we will have outstanding                        shares of common stock, based on an assumed public offering price of $            per share, which was the last reported sale price of our common stock on the NASDAQ Global Select Market on                                    , 2014, and assuming no exercise of outstanding options or warrants. Substantially all of these shares are, and the shares sold in this offering will be, freely tradable in the public market, other than shares of common stock that are subject to lock-up agreements entered into by our directors, executive officers and stockholders associated with some of our affiliates and the underwriters, which will become eligible for sale in the public market beginning 90 days after the date of this prospectus. Barclays Capital Inc. may release these stockholders from their lock-up agreements with the underwriters at any time and without notice, which would allow for earlier sales of shares in the public market.

        In addition, we have filed registration statements on Form S-8 registering the issuance of approximately 4.8 million shares of common stock subject to options or other equity awards issued or reserved for future issuance under our equity incentive plans. Shares registered under these registration statements on Form S-8 are available for sale in the public market subject to vesting arrangements and exercise of existing options, the grant of new options in the future, the lock-up agreements described above and the restrictions of Rule 144 in the case of our affiliates.

        Additionally, the holders of an aggregate of approximately 15.2 million shares of our common stock and 22,580 shares of our common stock issuable upon the exercise of outstanding warrants, or their transferees, will have rights, subject to some conditions, to require us to file one or more registration statements covering their shares or to include their shares in registration statements that we may file for ourselves or other stockholders. If we were to register the resale of these shares, they could be freely sold in the public market. If these additional shares are sold, or if it is perceived that they will be sold, in the public market, the trading price of our common stock could decline.

The issuance of additional stock in connection with financings, acquisitions, investments, our stock incentive plans or otherwise will dilute all other stockholders.

        Our amended and restated certificate of incorporation authorizes us to issue up to 100,000,000 shares of common stock and up to 5,000,000 shares of preferred stock with such rights and preferences as may be determined by our board of directors. Subject to compliance with applicable rules and regulations, we may issue our shares of common stock or securities convertible into our common stock from time to time in connection with a financing, acquisition, investment, our stock incentive plans or otherwise. Any such issuance could result in substantial dilution to our existing stockholders and cause the trading price of our common stock to decline.

Our ability to utilize our net operating loss carryforwards and certain other tax attributes may be limited.

        We have incurred substantial losses during our history. We do not anticipate generating revenue from sales of products for the foreseeable future, if ever, and we may never achieve profitability. To the extent that we continue to generate tax losses, unused losses will carry forward to offset future taxable income, if any, until such unused losses expire. Under Section 382 of the Internal Revenue Code of 1986, as amended, if a corporation undergoes an "ownership change," which is generally defined as a greater than 50% change, by value, in its equity ownership over a three-year period, the corporation's ability to use its pre-change net operating loss carryforwards and other pre-change tax attributes to offset its post-change income may be limited. We have not completed our analysis to determine what, if any, impact any prior ownership change has had on our ability to utilize our net operating loss carryforwards. In addition, we may experience ownership changes in the future as a result of

46


subsequent shifts in our stock ownership, including this offering. As of December 31, 2013, we had federal net operating loss carryforwards of approximately $12.7 million that could be limited if we have experienced, or if in the future we experience, an ownership change.

Provisions in our corporate charter documents and under Delaware law may prevent or frustrate attempts by our stockholders to change our management and hinder efforts to acquire a controlling interest in us, and the market price of our common stock may be lower as a result.

        There are provisions in our amended and restated certificate of incorporation and amended and restated bylaws that may make it difficult for a third party to acquire, or attempt to acquire, control of our company, even if a change in control was considered favorable by you and other stockholders. For example, our board of directors has the authority to issue up to 5,000,000 shares of preferred stock. The board of directors can fix the price, rights, preferences, privileges, and restrictions of the preferred stock without any further vote or action by our stockholders. The issuance of shares of preferred stock may delay or prevent a change in control transaction. As a result, the market price of our common stock and the voting and other rights of our stockholders may be adversely affected. An issuance of shares of preferred stock may result in the loss of voting control to other stockholders.

        Our charter documents also contain other provisions that could have an anti-takeover effect, including:

    •
    only one of our three classes of directors will be elected each year;

    •
    stockholders are not entitled to remove directors other than by a 662/3% vote and only for cause;

    •
    stockholders are not permitted to take actions by written consent;

    •
    stockholders cannot call a special meeting of stockholders; and

    •
    stockholders must give advance notice to nominate directors or submit proposals for consideration at stockholder meetings.

        In addition, we are subject to the anti-takeover provisions of Section 203 of the Delaware General Corporation Law, which regulates corporate acquisitions by prohibiting Delaware corporations from engaging in specified business combinations with particular stockholders of those companies. These provisions could discourage potential acquisition proposals and could delay or prevent a change in control transaction. They could also have the effect of discouraging others from making tender offers for our common stock, including transactions that may be in your best interests. These provisions may also prevent changes in our management or limit the price that investors are willing to pay for our stock.

Concentration of ownership of our common stock among our existing executive officers, directors and principal stockholders may prevent new investors from influencing significant corporate decisions.

        Upon completion of this offering, our executive officers, directors and current beneficial owners of 5% or more of our common stock and their respective affiliates will, in the aggregate, beneficially own        % of our outstanding common stock, based on an assumed public offering price of $            per share, which was the last reported sale price of our common stock on the NASDAQ Global Select Market on                                    , 2014. As a result, these persons, acting together, would be able to control all matters requiring stockholder approval, including the election and removal of directors, the approval of any merger, consolidation, sale of all or substantially all of our assets, or other significant corporate transactions.

        Some of these persons or entities may have interests different than yours. For example, because many of these stockholders purchased their shares at prices substantially below the price at which shares are being sold in this offering and have held their shares for a longer period, they may be more

47


interested in selling our company to an acquirer than other investors, or they may want us to pursue strategies that deviate from the interests of other stockholders.

We are an "emerging growth company" and as a result of the reduced disclosure and governance requirements applicable to emerging growth companies, our common stock may be less attractive to investors.

        We are an "emerging growth company" as defined in the Jumpstart Our Business Startups Act of 2012, or JOBS Act, and we intend to take advantage of some of the exemptions from reporting requirements that are applicable to other public companies that are not emerging growth companies, including not being required to comply with the auditor attestation requirements of Section 404 of the Sarbanes-Oxley Act of 2002, or Sarbanes-Oxley Act, reduced disclosure obligations regarding executive compensation in our periodic reports and proxy statements, and exemptions from the requirements of holding a nonbinding advisory vote on executive compensation and stockholder approval of any golden parachute payments not previously approved. We cannot predict if investors will find our common stock less attractive because we will rely on these exemptions. If some investors find our common stock less attractive as a result, there may be a less active trading market for our common stock and our stock price may be more volatile. We may take advantage of these reporting exemptions until we are no longer an emerging growth company. We will remain an emerging growth company until the earliest of (a) December 31, 2019, (b) the last day of the fiscal year in which we have total annual gross revenue of at least $1.0 billion, (c) the last day of the fiscal year in which we are deemed to be a large accelerated filer, which means the market value of our common stock that is held by non-affiliates exceeds $700 million as of the prior June 30th, and (d) any date on which we have issued more than $1.0 billion in non-convertible debt during the prior three-year period.

        Under Section 107(b) of the JOBS Act, emerging growth companies can delay adopting new or revised accounting standards until such time as those standards apply to private companies. We have irrevocably elected not to avail ourselves of this exemption from new or revised accounting standards and, therefore, we will be subject to the same new or revised accounting standards as other public companies that are not emerging growth companies.

If we fail to maintain proper and effective internal controls, our ability to produce accurate financial statements on a timely basis could be impaired.

        We are subject to the reporting requirements of the Securities Exchange Act of 1934, the Sarbanes-Oxley Act and the rules and regulations of NASDAQ. The Sarbanes-Oxley Act requires, among other things, that we maintain effective disclosure controls and procedures and internal controls over financial reporting. For our fiscal year ending December 31, 2014, we are obligated to perform system and process evaluation and testing of our internal controls over financial reporting to allow management to report on the effectiveness of our internal controls over financial reporting in our Form 10-K filing for that year, as required by Section 404 of the Sarbanes-Oxley Act. We will continue to incur substantial additional professional fees and internal costs to expand our accounting and finance functions and expend significant management efforts. Prior to our initial public offering, or IPO, we were never required to test our internal controls within a specified period, and, as a result, we may experience difficulty in meeting these reporting requirements in a timely manner.

        We may discover weaknesses in our system of internal financial and accounting controls and procedures that could result in a material misstatement of our financial statements. Our internal control over financial reporting will not prevent or detect all error and all fraud. A control system, no matter how well designed and operated, can provide only reasonable, not absolute, assurance that the control system's objectives will be met. Because of the inherent limitations in all control systems, no evaluation of controls can provide absolute assurance that misstatements due to error or fraud will not occur or that all control issues and instances of fraud will be detected.

48


        If we are not able to comply with the requirements of Section 404 of the Sarbanes-Oxley Act in a timely manner, or if we are unable to maintain proper and effective internal controls, we may not be able to produce timely and accurate financial statements. If that were to happen, the market price of our stock could decline and we could be subject to sanctions or investigations by the stock exchange on which our common stock is listed, the Securities and Exchange Commission, or SEC, or other regulatory authorities.

Our management might apply the net proceeds from this offering in ways with which you do not agree and in ways that may impair the value of your investment.

        We intend to use the net proceeds from this offering for clinical development expenses, preclinical research and development efforts and for working capital and general corporate purposes. Our management has broad discretion as to the use of these proceeds and you will be relying on the judgment of our management regarding the application of these proceeds. We might apply these proceeds in ways with which you do not agree, or in ways that do not yield a favorable return. If our management applies these proceeds in a manner that does not yield a significant return, if any, on our investment of these net proceeds, it could compromise our ability to pursue our growth strategy and adversely affect the market price of our common stock.

Because we do not anticipate paying any cash dividends on our common stock in the foreseeable future, capital appreciation, if any, will be your sole source of gains and you may never receive a return on your investment.

        You should not rely on an investment in our common stock to provide dividend income. We have not declared or paid cash dividends on our common stock to date and have no plans to pay cash dividends in the foreseeable future. We currently intend to retain our future earnings, if any, to fund the development and growth of our business. In addition, the terms of our term loan credit facility with Oxford Finance LLC and Square 1 Bank prohibits us from paying cash dividends. As a result, capital appreciation, if any, of our common stock will be your sole source of gain for the foreseeable future. Investors seeking cash dividends should not purchase our common stock.

We incur costs and demands upon management as a result of being a public company.

        As a newly public company listed in the United States, we are incurring, and will continue to incur, significant legal, accounting and other costs, particularly after we cease to be an "emerging growth company." These costs could negatively affect our financial results. In addition, changing laws, regulations and standards relating to corporate governance and public disclosure, including regulations implemented by the SEC and stock exchanges, may increase legal and financial compliance costs and make some activities more time consuming. These laws, regulations and standards are subject to varying interpretations and, as a result, their application in practice may evolve over time as new guidance is provided by regulatory and governing bodies. We intend to invest resources to comply with evolving laws, regulations and standards, and this investment may result in increased general and administrative expenses and a diversion of management's time and attention from revenue-generating activities to compliance activities. If, notwithstanding our efforts to comply with new laws, regulations and standards, we fail to comply, regulatory authorities may initiate legal proceedings against us and our business may be harmed.

        Failure to comply with these rules also might make it more difficult for us to obtain some types of insurance, including directors' and officers' liability insurance, and we might be forced to accept reduced policy limits and coverage or incur substantially higher costs to obtain the same or similar coverage. The impact of these events could also make it more difficult for us to attract and retain qualified persons to serve on our board of directors, on committees of our board of directors or as members of senior management.

49



SPECIAL NOTE REGARDING FORWARD-LOOKING STATEMENTS

        This prospectus contains forward-looking statements that involve substantial risks and uncertainties. The forward-looking statements are contained principally in the sections entitled "Prospectus Summary," "Risk Factors," "Management's Discussion and Analysis of Financial Condition and Results of Operations" and "Business," but are also contained elsewhere in this prospectus. In some cases, you can identify forward-looking statements by the words "may," "might," "will," "could," "would," "should," "expect," "intend," "plan," "objective," "anticipate," "believe," "estimate," "predict," "project," "potential," "continue" and "ongoing," or the negative of these terms, or other comparable terminology intended to identify statements about the future. These statements involve known and unknown risks, uncertainties and other factors that may cause our actual results, levels of activity, performance or achievements to be materially different from the information expressed or implied by these forward-looking statements. Although we believe that we have a reasonable basis for each forward-looking statement contained in this prospectus, we caution you that these statements are based on a combination of facts and factors currently known by us and our expectations of the future, about which we cannot be certain. Forward-looking statements include statements about:

    •
    our plans to develop and potentially commercialize our product candidates;

    •
    the exercise by Actavis of its option to license TRV027 and, if exercised, our ability to achieve milestones under the license;

    •
    our planned clinical trials and preclinical studies for our product candidates;

    •
    the timing of and our ability to obtain and maintain regulatory approvals for our product candidates;

    •
    the extent of clinical trials potentially required by the FDA for our product candidates;

    •
    the clinical utility and market acceptance of our product candidates;

    •
    our commercialization, marketing and manufacturing capabilities and strategy;

    •
    our intellectual property position; and

    •
    our ability to identify additional product candidates with significant commercial potential that are consistent with our commercial objectives.

        You should refer to the "Risk Factors" section of this prospectus for a discussion of important factors that may cause our actual results to differ materially from those expressed or implied by our forward-looking statements. As a result of these factors, we cannot assure you that the forward-looking statements in this prospectus will prove to be accurate. Furthermore, if our forward-looking statements prove to be inaccurate, the inaccuracy may be material. In light of the significant uncertainties in these forward-looking statements, you should not regard these statements as a representation or warranty by us or any other person that we will achieve our objectives and plans in any specified time frame, or at all. We undertake no obligation to publicly update any forward-looking statements, whether as a result of new information, future events or otherwise, except as required by law.

        You should read this prospectus and the documents that we reference in this prospectus and have filed as exhibits to the registration statement, of which this prospectus is a part, completely and with the understanding that our actual future results may be materially different from what we expect. We qualify all of our forward-looking statements by these cautionary statements.

        This prospectus includes statistical and other industry and market data that we obtained from industry publications and research, surveys and studies conducted by third parties. Industry publications and third-party research, surveys and studies generally indicate that their information has been obtained from sources believed to be reliable, although they do not guarantee the accuracy or completeness of such information.

50



USE OF PROCEEDS

        We estimate that the net proceeds from our issuance and sale of shares of our common stock in this offering will be approximately $             million, or approximately $             million if the underwriters exercise their option to purchase additional shares in full, after deducting estimated underwriting discounts and commissions and estimated offering expenses payable by us.

        As of September 30, 2014, we had cash and cash equivalents of $72.2 million. We currently estimate that we will use the net proceeds from this offering, together with our existing cash and cash equivalents and potentially the $16.5 million we believe we are entitled to draw from the second tranche of our credit facility, to fund approximately $30.0 million of clinical development expenses, including for our ongoing Phase 2b clinical trial of TRV027, our completion of Phase 2 and initiation of Phase 3 clinical trials for TRV130 and the conduct of development activities for TRV734. We expect to use the remaining proceeds for preclinical research and development efforts and for working capital and general corporate purposes.

        Although it is difficult to predict future liquidity requirements, we believe that the net proceeds from this offering, our existing cash and cash equivalents and our potential draw of $16.5 million from our credit facility, together with interest thereon, will be sufficient to fund our operations through the end of 2016. However, the expected proceeds from this offering and our existing resources will not be sufficient to complete advanced clinical development of any of our product candidates, or if applicable, to prepare for commercializing any product candidate that achieves approval. Accordingly, we will continue to require substantial additional capital beyond the expected proceeds of this offering to continue our clinical development and potential commercialization activities. Because successful development of our product candidates is uncertain, we are unable to estimate the actual funds we will require to complete research and development and commercialize our products under development.

        This expected use of net proceeds from this offering represents our intentions based upon our current plans and business conditions, and could change in the future as our plans and business conditions evolve. The amounts and timing of our actual expenditures may vary significantly depending on numerous factors, including the progress of our development, the status of and results from clinical trials, as well as any collaborations that we may enter into with third parties for our product candidates, and any unforeseen cash needs. As a result, our management will have broad discretion in the application of the net proceeds from this offering, and investors will be relying on the judgment of our management regarding the application of the net proceeds of this offering.

51



PRICE RANGE OF COMMON STOCK

        Our common stock commenced trading on the NASDAQ Global Select Market under the symbol "TRVN" on January 31, 2014. The following table sets forth, for the periods indicated, the high and low reported sales prices of our common stock as reported on the NASDAQ Global Select Market:

 
  High   Low  

2014

             

First quarter (from January 31, 2014)

  $ 9.95   $ 6.00  

Second quarter

  $ 7.82   $ 4.07  

Third quarter

  $ 7.00   $ 5.20  

Fourth quarter (through                          , 2014)

             

        As of                           , 2014, there were            holders of record of our common stock. The last reported sale price of the common stock on                           , 2014 was $            per share.


DIVIDEND POLICY

        We have never declared or paid any dividends on our common stock. We anticipate that we will retain all of our future earnings, if any, for use in the operation and expansion of our business and do not anticipate paying cash dividends in the foreseeable future. In addition, our ability to pay dividends, other than dividends payable solely in capital stock, is currently prohibited by the terms of our term loan credit facility with Oxford Finance LLC and Square 1 Bank.

52



CAPITALIZATION

        The following table sets forth our cash and cash equivalents and capitalization as of September 30, 2014:

    •
    on an actual basis; and

    •
    on an as adjusted basis to give effect to our sale of $40,000,000 of shares of common stock in this offering at an assumed public offering price of $            per share, which was the last reported sale price of our common stock on the NASDAQ Global Select Market on                     , 2014, after deducting estimated underwriting discounts and commissions and estimated offering expenses payable by us.

        The information in this table is illustrative only and our capitalization following the completion of this offering will depend on the actual public offering price and other terms of this offering determined at pricing. You should read this table together with "Management's Discussion and Analysis of Financial Condition and Results of Operations" and our financial statements and the related notes appearing elsewhere in this prospectus.

 
  As of September 30, 2014  
 
  Actual   As adjusted  
 
  (in thousands, except share and
per share data)

 

Cash and cash equivalents

  $ 72,225   $    
           
           

Long-term loan

  $ 1,774   $ 1,774  

Stockholders' equity:

             

Common stock, $0.001 par value; 100,000,000 shares authorized, 26,360,631 shares issued and outstanding, actual; 100,000,000 shares authorized,         shares issued and outstanding, as adjusted

    26        

Preferred stock, $0.001 par value; 5,000,000 shares authorized, no shares issued and outstanding, actual and as adjusted

    —     —  

Additional paid-in capital

    182,906        

Accumulated deficit

    (118,673 )   (118,673 )
           

Total stockholders' equity

    64,259        
           

Total capitalization

  $ 66,035   $    
           
           

        The number of shares of common stock outstanding in the table above does not include:

    •
    3,552,124 shares of our common stock issuable upon the exercise of stock options outstanding under our 2008 Equity Incentive Plan and 2013 Equity Incentive Plan as of September 30, 2014, at a weighted average exercise price of $3.72 per share;

    •
    30,258 shares of our common stock issuable upon exercise of warrants outstanding as of September 30, 2014, at a weighted average exercise price of $5.62 per share;

    •
    33,000 shares of our common stock issuable upon the exercise of stock options granted after September 30, 2014 at a weighted average exercise price of $5.18 per share; and

    •
    868,235 shares of our common stock reserved for future issuance under our 2013 Equity Incentive Plan and our employee stock purchase plan.

        A 5% increase or decrease in the assumed public offering price of $            per share, which was the last reported sale price of our common stock on the NASDAQ Global Select Market on                , 2014, would decrease or increase the number of shares of our common stock issued in this offering by approximately 5% and the number of shares of common stock outstanding in the table above would decrease or increase commensurately.

53


Table of Contents


DILUTION

        If you invest in our common stock in this offering, your interest will be diluted to the extent of the difference between the public offering price per share and the as adjusted net tangible book value per share of our common stock immediately after this offering. Net tangible book value per share is determined by dividing our total tangible assets less total liabilities by the number of outstanding shares of our common stock.

        As of September 30, 2014, we had a net tangible book value of $64.3 million, or approximately $2.44 per share of common stock.

        Investors participating in this offering will incur immediate and substantial dilution. After giving effect to the issuance and sale of $40,000,000 of shares of our common stock in this offering at an assumed public offering price of $            per share, which was the last reported sale price of our common stock on the NASDAQ Global Select Market on                 , 2014, and after deducting estimated underwriting discounts and commissions and estimated offering expenses payable by us, our as adjusted net tangible book value as of September 30, 2014 would have been approximately $             million, or approximately $            per share of common stock. This represents an immediate increase in the net tangible book value of $            per share to existing stockholders, and an immediate dilution in the net tangible book value of $            per share to investors purchasing shares of our common stock in this offering. The following table illustrates this per share dilution:

Assumed public offering price per share

        $    

Actual net tangible book value per share as of September 30, 2014

  $ 2.44        

Increase in net tangible book value per share attributable to new investors participating in this offering

             
             

As adjusted net tangible book value per share after this offering

             
             

Dilution per share to investors participating in this offering

        $    
             
             

        If the underwriters exercise their option in full to purchase $6,000,000 of additional shares of common stock in this offering at the assumed public offering price of $             per share, the as adjusted net tangible book value per share after the offering would be $            per share, the increase in the as adjusted net tangible book value per share to existing stockholders would be $            per share and the dilution to new investors purchasing common stock in this offering would be $            per share.

54


Table of Contents


SELECTED FINANCIAL DATA

        The following tables set forth our selected financial data for the periods indicated. The following selected financial data for the years ended December 31, 2012 and 2013 and the selected balance sheet data as of December 31, 2012 and 2013 are derived from our audited financial statements, which have been audited by Ernst & Young LLP, our independent registered public accounting firm, appearing elsewhere in this prospectus. The selected statement of operations data for the nine-month periods ended September 30, 2013 and 2014 and the selected balance sheet data as of September 30, 2014 are derived from unaudited condensed financial statements appearing elsewhere in this prospectus.

        The financial data for the nine months ended September 30, 2013 and 2014 and as of September 30, 2014, in the opinion of management, includes all adjustments, consisting only of normal recurring adjustments, that are necessary for a fair presentation of the financial position and the results of operations for these periods. Our historical results are not necessarily indicative of the results to be expected in the future, and our operating results for the nine months ended September 30, 2014 are not necessarily indicative of the results that may be expected for the entire year ending December 31, 2014.

        This selected financial data should be read together with the historical financial statements and related notes to those statements, as well as "Management's Discussion and Analysis of Financial Condition and Results of Operations," which are included elsewhere in this prospectus.

 
  Year Ended
December 31,
  Nine Months Ended
September 30,
 
 
  2012   2013   2013   2014  
 
  (in thousands, except share and per share data)
 

Statement of Operations Data:

                         

Total revenue

  $ 808   $ 135   $ 135   $ —  

Operating expenses:

                         

General and administrative

    3,123     4,718     2,843     7,034  

Research and development

    13,295     18,762     12,240     29,671  
                   

Total operating expenses

    16,418     23,480     15,083     36,705  
                   

Loss from operations

    (15,610 )   (23,345 )   (14,948 )   (36,705 )

Total other income (expense)

    (26 )   94     (1,398 )   301  
                   

Net loss and comprehensive loss

    (15,636 )   (23,251 )   (16,346 )   (36,404 )

Accretion of redeemable convertible preferred stock

    (316 )   (334 )   (248 )   (28 )
                   

Net loss attributable to common stockholders

  $ (15,952 ) $ (23,585 ) $ (16,594 ) $ (36,432 )
                   
                   

Net loss per share—basic and diluted

  $ (23.70 ) $ (29.71 ) $ (22.23 ) $ (1.58 )
                   
                   

Weighted average shares of common stock outstanding used in computing net loss per share—basic and diluted

    673,191     793,806     746,587     23,036,366  
                   
                   

 

 
  As of
December 31,
   
 
 
  As of
September 30,
2014
 
 
  2012   2013  
 
  (in thousands)
 

Balance Sheet Data:

                   

Cash and cash equivalents

  $ 6,739   $ 37,965   $ 72,225  

Total assets

    8,088     42,393     73,956  

Total liabilities

    8,127     3,401     9,696  

Total redeemable convertible preferred stock

    58,958     120,562     —  

Total stockholders' (deficit) equity

    (58,997 )   (81,571 )   64,260  

55


Table of Contents


MANAGEMENT'S DISCUSSION AND ANALYSIS OF
FINANCIAL CONDITION AND RESULTS OF OPERATIONS

        You should read the following discussion and analysis of our financial condition and results of operations together with our financial statements and related notes appearing in this prospectus. Some of the information contained in this discussion and analysis or set forth elsewhere in this prospectus, including information with respect to our plans and strategy for our business and related financing, includes forward looking statements that involve risks and uncertainties. As a result of many factors, including those factors set forth in the "Risk Factors" section of this prospectus, our actual results could differ materially from the results described in or implied by the forward-looking statements contained in the following discussion and analysis.

Overview

        We are a clinical stage biopharmaceutical company that discovers, develops and intends to commercialize therapeutics that use a novel approach to target G protein coupled receptors, or GPCRs. Using our proprietary product platform, we have identified and advanced three differentiated product candidates into the clinic as follows:

    •
    TRV130:  We recently announced top-line data from our Phase 2a/b clinical trial of TRV130 in postoperative pain. We plan to initiate a second Phase 2 trial in the fourth quarter of 2014 in soft tissue pain to inform Phase 3 development, since efficacy in both hard and soft tissue pain would be required by the FDA for a broad label in the treatment of acute moderate to severe pain. We expect to report top-line data from this second Phase 2 trial in mid-2015. Prior to later-phase clinical development, we are also conducting or planning additional Phase 1 work in healthy subjects to add to our clinical understanding of TRV130. We hold a U.S. patent covering the composition of matter and methods of use for TRV130 and have retained all worldwide development and commercialization rights to TRV130, and plan to commercialize it in acute care markets such as hospitals and ambulatory surgery centers if it receives regulatory approval. After the availability of the final Phase 2a/b clinical data for TRV130, we may seek collaborators for commercializing TRV130 outside of the United States to offset risk and preserve capital. We may also seek to collaborate with a third party to evaluate novel formulations of TRV130 for chronic pain and breakthrough pain.

    •
    TRV734:  We have completed a first Phase 1 single ascending dose clinical trial for TRV734, an oral follow-on to TRV130 for the treatment of moderate to severe acute and chronic pain. We have completed enrollment in a second Phase 1 multiple ascending dose trial and expect to report data from this trial early in the first quarter of 2015. We have retained all worldwide development and commercialization rights to TRV734.

    •
    TRV027:  We have completed a Phase 2a clinical trial and in early 2014 we initiated a Phase 2b clinical trial of TRV027 for acute heart failure, or AHF. Enrollment in this trial is ongoing, with over 200 patients recruited out of planned enrollment of approximately 500 patients. More than 65 sites in 12 countries are now open and recruiting, and we expect patient enrollment will conclude in the third quarter of 2015. We expect to report top-line data from this trial in the fourth quarter of 2015. Actavis plc, or Actavis, has the exclusive option to license TRV027 from us. We plan for TRV027 to be commercialized in the acute care hospital market if it receives regulatory approval.

In addition, we plan to identify a product candidate from our preclinical d-opioid receptor program focused on central nervous system, or CNS, indications in 2014 and to advance the product candidate to preclinical studies in 2015 that would support our submission of an investigational new drug application, or IND, to the U.S. Food and Drug Administration, or FDA.

56


Table of Contents

        We were incorporated and commenced operations in the fourth quarter of 2007. Our operations to date have included organizing and staffing our company, business planning, raising capital, developing TRV027, TRV130 and TRV734, and discovering a d-opioid receptor targeted product candidate. We have financed our operations primarily through private placements and a public offering of our equity securities and debt borrowings. As of September 30, 2014, we had an accumulated deficit of $118.7 million. Our net loss was $15.6 million and $23.3 million for the years ended December 31, 2012 and 2013, respectively, and $36.4 million for the nine months ended September 30, 2014. Our ability to become and remain profitable depends on our ability to generate revenue. We do not expect to generate significant revenue unless and until we or a collaborator obtain marketing approval for and commercialize TRV027, TRV130, TRV734, or our current preclinical program.

        We have received aggregate net proceeds of $180.0 million through September 30, 2014 from public and private sales of our equity securities, including pursuant to the exercise of options and warrants, and $9.5 million pursuant to grant and collaboration agreements. In September 2014, we announced we had entered into a $35.0 million senior secured tranched term loan credit facility with Oxford Finance LLC and Square 1 Bank, of which we have drawn $2.0 million. The facility also provides for up to two additional term loan tranches of $16.5 million each. Based on the top-line results of the Phase 2a/b clinical trial of TRV130 announced in November 2014, we believe we have met the conditions to draw the $16.5 million second tranche under the credit facility. We may opt to draw the third term loan tranche if we receive positive data from the Phase 2 clinical trial of TRV027.

        We expect to incur significant expenses and operating losses for the foreseeable future as we continue the development and clinical trials of, and seek regulatory approval for, our product candidates. If we obtain regulatory approval for any of our product candidates, we expect to incur significant commercialization expenses. Furthermore, following the closing of our recent IPO, we have incurred and expect to continue to incur additional costs associated with operating as a public company. These costs include significant legal, accounting, investor relations and other expenses that we did not incur as a private company. We will need to obtain substantial additional funding in connection with our continuing operations. If we are unable to raise capital when needed or on attractive terms, we could be forced to delay, reduce or eliminate our research and development programs or any future commercialization efforts. We will seek to fund our operations through the sale of equity, debt financings or other sources, including potential additional collaborations. However, we may be unable to raise additional funds or enter into such other agreements when needed on favorable terms, or at all. If we fail to raise capital or enter into such other arrangements as, and when, needed, we may have to significantly delay, scale back or discontinue the development and/or commercialization of one or more of our product candidates.

Option and License Agreements with Actavis plc

        On May 3, 2013, we entered into an option agreement and a license agreement with Actavis plc (formerly Forest Laboratories Holdings Limited), under which we granted to Actavis an exclusive option to license our product candidate, TRV027. If Actavis exercises this option, the license agreement will become effective and Actavis will have an exclusive worldwide license to develop and commercialize TRV027 and specified related compounds. Actavis will be responsible for subsequent development, regulatory approval and commercialization of TRV027 at Actavis' expense. At our request, Actavis will consider in good faith whether to grant us the right to co-promote the licensed products in the United States under terms to be agreed upon by the parties, but Actavis has no obligation to grant us such right.

        Under the option agreement, we will conduct, at our expense, a Phase 2b clinical trial of TRV027 in AHF. Actavis may exercise its option during the pendency of the Phase 2b clinical trial or during a specified time period after we deliver the data from the Phase 2b clinical trial to Actavis. During the option period, we are not permitted to negotiate for or enter into any agreement with a third party for

57


Table of Contents

the development and commercialization of TRV027 and its related compounds. Under specified circumstances linked to adverse changes in the market or related to the results from the Phase 2b clinical trial of TRV027, Actavis has the right to renegotiate the terms of the license agreement. If Actavis exercises such right, we will be obligated to negotiate in good faith with Actavis for a period of time the terms of any new arrangement. If we and Actavis are unable to agree on the terms of any new arrangement, then the option agreement will terminate and for a specified period of time thereafter we may not offer a license to any third party on terms better than those last proposed by either us or Actavis during the negotiations. If Actavis does not exercise the option during the specified period, its option will expire and the license agreement will not become effective. In that case, we would be free to enter into a collaboration arrangement with another party for the development and commercialization of TRV027 or to pursue development and commercialization on our own.

        We received no consideration upon the grant of the option to Actavis. If Actavis exercises the option, we would receive a $65 million option exercise fee and could potentially receive up to $365 million in additional payments depending upon the achievement of future development and commercial milestones. We also could receive tiered royalties between 10% and 20% on net sales of licensed products worldwide, subject to specified deductions and offsets, with the royalty rates on net sales of licensed products in the United States being somewhat higher than the royalty rates on net sales of licensed products outside the United States. The term of the royalty on sales of TRV027 for a given country would extend until the latest to occur of (i) ten years from first commercial sale of TRV027 in that country, (ii) the expiration of the last to expire patent claiming TRV027 that is sufficient to block the entrance of a generic version of the product, or (iii) the expiration of any period of exclusivity granted by applicable law or any regulatory authority in such country that confers exclusive marketing rights on the product.

        If the license agreement becomes effective, Actavis has the right to grant sublicenses under the license agreement to affiliates and third parties. Any sublicensing does not act to relieve Actavis of any of its obligations under the license agreement, including Actavis' obligation to make milestone payments to us with respect to TRV027 or pay royalties to us on sales of TRV027 by such sublicensee. Under the license, both we and Actavis have the right to terminate the agreement in the event of an uncured material breach or insolvency of the other party. In addition, Actavis is permitted to terminate the license agreement without cause at any time upon prior written notice or immediately for product safety reasons. Following a termination of the license agreement, all licenses granted to Actavis would terminate, and Actavis would grant to us an exclusive royalty bearing license under specified patents and know-how to develop and commercialize reverted licensed products. If not terminated, the license agreement would remain in effect until the expiration of the last royalty term for the last licensed product.

Senior Secured Tranched Term Loan Credit Facility

        In September 2014, we entered into a loan and security agreement with Oxford Finance LLC and Square 1 Bank, or the lenders, pursuant to which they have agreed to lend us up to $35.0 million in a three-tranche series of term loans. Upon initially entering into the agreement, we borrowed $2.0 million. In addition, we may borrow:

    •
    up to an additional $16.5 million, at any time on or before June 30, 2015, subject to the satisfaction of specified conditions related to the results of our Phase 2 bunionectomy trial of TRV130, which we believe have now been satisfied; and

    •
    an additional $16.5 million, at any time on or before March 31, 2016, subject to the satisfaction of specified conditions related to the results of our Phase 2b clinical trial of TRV027.

        Borrowings accrue interest at a fixed rate of 6.50% per annum. We are required to make payments of interest only on borrowings under this agreement on a monthly basis through and including April 1,

58


Table of Contents

2016, which we refer to as the interest only termination date, after which payments of principal in equal monthly installments and accrued interest will be due until the loan matures on December 1, 2018. Both the interest only termination date and the maturity date may be modified as follows:

    •
    If we meet the conditions to draw the third tranche by March 31, 2016, the interest only termination date will be extended until October 1, 2016.

    •
    If we meet the conditions to draw the third tranche and we have received net cash proceeds of at least $50.0 million from our existing option and license with Actavis or another strategic partnership satisfactory to the lenders, then the maturity date will be extended to September 1, 2019.

        We paid the lenders a facility fee of $175 thousand in connection with the execution of the agreement. Upon the last payment date of the amounts borrowed under the agreement, we will be required to pay a final payment fee ranging from 5.25% to 7.0% of the aggregate amounts borrowed. In addition, if we repay the borrowings prior to the maturity date, we will be obligated to pay a prepayment fee of 3.0% of the total amount prepaid if the prepayment occurs prior to the first anniversary of the funding of the applicable tranche, 2.0% percent of the total amount prepaid if the prepayment occurs between the first and second anniversary of the funding of the applicable tranche, and 1.0% of the total amount prepaid if the prepayment occurs on or after the second anniversary of the funding of the applicable tranche.

        Our obligations are secured by a first priority security interest in substantially all of our assets, other than intellectual property. In addition, we have agreed not to pledge or otherwise encumber our intellectual property, with specified exceptions.

        We used a placement agent in connection with the agreement. We paid the agent $65 thousand upon execution of the agreement and will be obligated to pay up to an additional $175 thousand if we draw on the second and third tranches.

        In connection with entering into the agreement, we issued to the lenders warrants to purchase an aggregate of 7,678 shares of our common stock. These warrants are exercisable immediately and have an exercise price of $5.86 per share. The warrants may be exercised on a cashless basis and will terminate on the earlier of September 19, 2024 or the closing of a merger or consolidation transaction in which we are not the surviving entity. If we draw on the second or third tranches, we will issue additional warrants to purchase shares of our common stock, each with an exercise price of $5.86 per share and on substantially the same terms as those contained in the initial warrants. The number of shares underlying these additional warrants will depend on the amount of additional borrowings we make, but will not exceed 126,685.

        Based on our announcement of top-line results from our Phase 2a/b trial of TRV130, we believe we have met the conditions to draw the second tranche, which will result in the increase in the final payment percentage to 6.1%, the payment of an additional placement agent fee and the issuance of warrants to purchase an aggregate of 63,342 additional shares.

Components of Operating Results

Revenue

        To date, we have derived revenue principally from research grants as well as from one research collaboration arrangement. We have not generated any revenue from commercial product sales. In the future, if any of our product candidates currently under development is approved for commercial sale, we may generate revenue from product sales, or alternatively, we may choose to select a collaborator to commercialize our product candidates in all or selected markets.

59


Table of Contents

        We do not expect to increase revenue because we have completed our grant programs and our research collaboration. We do not currently anticipate any revenue from new grant programs or research collaborations. We will not generate any commercial revenue until one of our product candidates receives regulatory approval, if ever.

General and Administrative Expenses

        General and administrative expenses consist principally of salaries and related costs for executive and other personnel, including stock-based compensation and travel expenses. Other general and administrative expenses include facility-related costs, communication expenses and professional fees for legal, patent prosecution and maintenance consulting and accounting services.

        We anticipate that our general and administrative expenses will increase in the future with continued research, development and potential commercialization of our product candidates. These increases will likely include greater costs for insurance, costs related to the hiring of additional personnel, payments to outside consultants and investor relations providers, and costs for lawyers and accountants, among other expenses. Additionally, if and when we believe a regulatory approval of a product candidate appears likely, we anticipate an increase in payroll and expense as a result of our preparation for commercial operations, especially as it relates to the sales and marketing of our product candidates.

Research and Development Expenses

        Our research and development expenses consist primarily of costs incurred for the development of our product candidates. These costs include external costs and internal research and development costs.

        External costs include:

    •
    expenses incurred under agreements with contract research organizations and investigative sites that conduct our clinical trials, preclinical studies and regulatory activities; and

    •
    the costs of acquiring, developing and manufacturing clinical trial materials.

        Internal costs include:

    •
    personnel-related expenses, including salaries, benefits and stock-based compensation expense of our research and development personnel;

    •
    laboratory supplies;

    •
    allocated facilities, depreciation and other expenses, which include rent and utilities;

    •
    travel and training for research and development employees;

    •
    product liability insurance; and

    •
    laboratory service costs.

        We track external costs by discovery program and subsequently by product candidate once a product candidate has been selected for development. TRV130 and TRV734 were both selected from the m-opioid receptor discovery program and so we did not separately allocate costs between TRV734 and TRV130 until the start of 2011 when we selected TRV130 as a product candidate. We have incurred a total of $76.8 million in research and development expenses from January 1, 2011 through September 30, 2014, with $43.6 million being spent on external costs for TRV027, TRV130 and TRV734 and the remainder being spent on internal costs, predominantly personnel related costs, and external costs related to the development of our ABLE product platform, grant funded activities and our early stage programs, including the d-opioid receptor program.

60


Table of Contents

        Research and development costs are expensed as incurred. We record costs for some development activities, such as clinical trials, based on an evaluation of the progress to completion of specific tasks using data such as patient enrollment, clinical site activations or information provided to us by our vendors.

        Research and development activities are central to our business model. Product candidates in later stages of clinical development generally have higher development costs than those in earlier stages of clinical development, primarily due to the increased size and duration of later-stage clinical trials. As we advance our product candidates, we expect the amount of research and development spending allocated to external spending relative to internal spending will continue to grow for the foreseeable future, while our internal spending should grow at a slower and more controlled pace.

        It is difficult to determine with certainty the duration and completion costs of our current or future preclinical programs and clinical trials of our product candidates, or if, when or to what extent we will generate revenue from the commercialization and sale of any of our product candidates that obtain regulatory approval. We may never succeed in achieving regulatory approval for any of our product candidates. The duration, costs and timing of clinical trials and development of our product candidates will depend on a variety of factors, including the uncertainties of future clinical and preclinical studies, uncertainties in clinical trial enrollment rate and significant and changing government regulation. In addition, the probability of success for each product candidate will depend on numerous factors, including competition, manufacturing capability and commercial viability. We will determine which programs to pursue and how much to fund each program in response to the scientific and clinical success of each product candidate, as well as an assessment of each product candidate's commercial potential.

Change in Fair Value of Warrant Liability

        Prior to our initial public offering, or IPO, we issued warrants for the purchase of our convertible preferred stock that we concluded were financial instruments that might require a transfer of assets because of the redemption features of the underlying preferred stock. Therefore, we classified these warrants as liabilities that we re-measured to fair value at each balance sheet date and we recorded the changes in the fair value of the warrant liability in our statement of operations and comprehensive loss as a change in fair value of warrant liability. At the time of the IPO, these warrants were net exercised into common stock and the remaining fair value of $145 thousand associated with these warrants was reclassified to additional paid-in capital.

        We also have an outstanding warrant to purchase 20,161 shares of common stock. This warrant had a fair value recorded as a liability of $96 thousand at September 30, 2014 as it contains a cash settlement feature upon certain strategic transactions. We will continue to adjust the liability related to this warrant for changes in fair value until the earlier of the exercise or expiration of the warrants.

Other Income / Expense

        Other income consists principally of interest income earned on cash and cash equivalent balances and miscellaneous income attributable to the sale of research and development tax credits.

        Interest expense consists of cash paid and noncash interest expense related to the $2.0 million tranche of the senior secured term loan credit facility with Oxford Finance LLC and Square 1 Bank, which we drew on inception of the facility, cash paid and noncash interest expense related to our prior bank facility, which we repaid in November 2011, our prior equipment loan facility with the Commonwealth of Pennsylvania, which we repaid in December 2012, and our loan facility with Comerica Bank, or the Comerica loan facility, which we repaid in May 2013.

61


Table of Contents

Accretion of Preferred Stock

        We account for the redemption of issuance costs on our preferred stock using the effective interest method, accreting such amounts to preferred stock from the date of issuance to the earliest date the holder can demand redemption.

Critical Accounting Policies and Significant Judgments and Estimates

        This discussion and analysis of our financial condition and results of operations is based on our financial statements, which have been prepared in accordance with generally accepted accounting principles in the United States of America, or GAAP. The preparation of these financial statements requires us to make estimates and assumptions that affect the reported amounts of assets and liabilities, disclosure of contingent assets and liabilities at the date of the financial statements and the reported amounts of revenue and expenses during the reported period. In accordance with GAAP, we base our estimates on historical experience and on various other assumptions that we believe are reasonable under the circumstances. Actual results may differ from these estimates under different assumptions or conditions.

        While our significant accounting policies are more fully described in Note 2 to our audited financial statements appearing elsewhere in this prospectus, we believe the following accounting policies are critical to the process of making significant judgments and estimates in the preparation of our financial statements.

Grant Revenue Recognition

        We recognize grant revenue when persuasive evidence of an arrangement exists, delivery has occurred or services have been rendered, the price is fixed and determinable and collectability is reasonably assured. In August 2011, we received a second research grant from the NIH to assist in the funding of our d-opioid program. The award contemplated funding up to $496 thousand during the period from August 15, 2011 through July 31, 2016, subject to availability of funds and successful progression of the program. Through June 6, 2013, we had received $338 thousand, and on June 6, 2013, we were informed that no additional funds would be made available. We recognized revenue under this grant in the period in which the related expenditures are incurred.

Collaboration Revenue Recognition

        We recognize collaboration revenue when persuasive evidence of an arrangement exists, delivery has occurred or services have been rendered, the price is fixed and determinable, and collectability is reasonably assured.

Research and Development Expenses

        Research and development costs are charged to expense as incurred. These costs include, but are not limited to, employee-related expenses, including salaries, benefits and travel; expenses incurred under agreements with contract research organizations and clinical research organizations and investigative sites that conduct clinical trials and preclinical studies; the cost of acquiring, developing and manufacturing clinical trial materials; facilities, depreciation and other expenses, which include direct and allocated expenses for rent and utilities; insurance and other supplies; and costs associated with preclinical activities and regulatory operations.

        Costs for certain development activities, such as clinical trials, are recognized based on an evaluation of the progress to completion of specific tasks using data such as patient enrollment, clinical site activations or information provided to us by our vendors with respect to their actual costs incurred. Payments for these activities are based on the terms of the individual arrangements, which may differ from the pattern of costs incurred, and are reflected in the financial statements as prepaid or accrued research and development expense, as the case may be.

62


Table of Contents

Income Taxes

        Income taxes are recorded in accordance with ASC Topic 740, Income Taxes, or ASC 740, which provides for deferred taxes using an asset and liability approach. We recognize deferred tax assets and liabilities for the expected future tax consequences of events that have been included in the financial statements or tax returns. Deferred tax assets and liabilities are determined based on the difference between the financial statement and tax bases of assets and liabilities using enacted tax rates in effect for the year in which the differences are expected to reverse. Valuation allowances are provided if, based upon the weight of available evidence, it is more likely than not that some or all of the deferred tax assets will not be realized.

        We account for uncertain tax positions in accordance with the provisions of ASC 740. When uncertain tax positions exist, we recognize the tax benefit of tax positions to the extent that the benefit will more likely than not be realized. The determination as to whether the tax benefit will more likely than not be realized is based upon the technical merits of the tax position as well as consideration of the available facts and circumstances. As of December 31, 2012 and 2013, and September 30, 2014, we did not have any significant uncertain tax positions.

Stock-Based Compensation

        We account for all share-based compensation payments issued to employees, directors and non-employees using an option pricing model for estimating fair value. Accordingly, share-based compensation expense is measured based on the estimated fair value of the awards on the date of grant, net of forfeitures. We recognize compensation expense for the portion of the award that is ultimately expected to vest over the period during which the recipient renders the required services to us using the straight-line single option method. In accordance with authoritative accounting guidance, we re-measure the fair value of non-employee share-based awards as the awards vest, and recognize the resulting value, if any, as expense during the period the related services are rendered.

Significant Factors, Assumptions and Methodologies Used in Determining Fair Value

        We apply the fair value recognition provisions of Financial Accounting Standards Board Accounting Standards Codification Topic 718, Compensation—Stock Compensation, or ASC 718. Determining the amount of share-based compensation to be recorded requires us to develop estimates of the fair value of stock options as of their grant date. We recognize share-based compensation expense ratably over the requisite service period, which in most cases is the vesting period of the award. Calculating the fair value of share-based awards requires that we make highly subjective assumptions.

        We use the Black-Scholes option pricing model to value our stock option awards. Use of this valuation methodology requires that we make assumptions as to the volatility of our common stock, the expected term of our stock options, the risk free interest rate for a period that approximates the expected term of our stock options and our expected dividend yield. Because we are a privately held company with a limited operating history, we utilize data from a representative group of companies to estimate expected stock price volatility. We selected companies from the biopharmaceutical industry with similar characteristics to us, including those in the early stage of product development and with a therapeutic focus.

        We use the simplified method as prescribed by the Securities and Exchange Commission Staff Accounting Bulletin No. 107, Share-Based Payment, to calculate the expected term of stock option grants to employees as we do not have sufficient historical exercise data to provide a reasonable basis upon which to estimate the expected term of stock options granted to employees. We utilize a dividend yield of zero based on the fact that we have never paid cash dividends and have no current intention to pay cash dividends. The risk-free interest rate used for each grant is based on the U.S. Treasury yield

63


Table of Contents

curve in effect at the time of grant for instruments with a similar expected life. The weighted-average assumptions used to estimate the fair value of stock options using the Black-Scholes option pricing model were as follows for the year ended December 31, 2013 and for the nine months ended September 30, 2014:

 
  Year Ended
December 31, 2013
  Nine Months Ended
September 30, 2014
 

Risk-free interest rate

    1.52 %   1.82 %

Expected term of options (in years)

    6.1     5.9  

Expected volatility

    80.5 %   75.9 %

Dividend yield

    0.0 %   0.0 %

        We also are required to estimate forfeitures at the time of grant, and revise those estimates in subsequent periods if actual forfeitures differ from our estimates. We use historical data to estimate pre-vesting option forfeitures and record share-based compensation expense only for those awards that are expected to vest. To the extent that actual forfeitures differ from our estimates, the difference is recorded as a cumulative adjustment in the period the estimates were revised. Through September 30, 2014, actual forfeitures have not been material.

        Stock-based compensation expense totaled $928 thousand and $1.89 million for the year ended December 31, 2013 and for the nine months ended September 30, 2014, respectively. We record stock-based compensation expense as a component of research and development expenses or general and administrative expenses, depending on the function performed by the optionee. For the year ended December 31, 2013 and the nine months ended September 30, 2014, we allocated stock-based compensation as follows:

 
  Year Ended
December 31, 2013
  Nine Months Ended
September 30, 2014
 
 
  (in thousands)
 

Research and development

  $ 609   $ 921  

General and administrative

    319     969  
           

Total

  $ 928   $ 1,890  
           
           

        As of September 30, 2014, there was $6.7 million of total unrecognized compensation expense, related to unvested options granted under our 2013 Equity Incentive Plan that will be recognized over the weighted average remaining period of 3.09 years. Although our share-based compensation for stock options granted to employees and non-employees to date has not been material to our financial results, in future periods, our share-based compensation expense is expected to increase as a result of recognizing our existing unrecognized share-based compensation for awards that will vest and as we issue additional share-based awards to attract and retain our employees.

Fair Market Value Estimates for Pre-IPO Option Grants

        Stock options granted after January 31, 2014, the date of our IPO, were granted with an exercise price equal to the closing price of our stock on the date of grant. Prior to our IPO, we were required to estimate the fair market value of the common stock underlying our share-based awards when performing the fair value calculations with the Black-Scholes option pricing model. The fair market value of the common stock underlying our share-based awards was determined on each grant date by our board of directors, with input from management. All options to purchase shares of our common stock were intended to be granted with an exercise price per share no less than the fair market value per share of our common stock underlying those options on the date of grant, based on the information known to us on the date of grant. In the absence of a public trading market for our

64


Table of Contents

common stock, on each grant date, we developed an estimate of the fair market value of our common stock in order to determine an exercise price for the option grants. We determined the fair market value of our common stock using methodologies, approaches and assumptions consistent with the American Institute of Certified Public Accountants, or AICPA, Audit and Accounting Practice Aid Series: Valuation of Privately Held Company Equity Securities Issued as Compensation, or the AICPA Practice Guide. In addition, we considered various objective and subjective factors, along with input from management and contemporaneous valuations, to determine the fair market value of our common stock, including:

    •
    external market conditions affecting the biotechnology industry;

    •
    trends within the biotechnology industry;

    •
    the prices at which we sold shares of preferred stock;

    •
    the superior rights and preferences of the preferred stock relative to our common stock at the time of each grant;

    •
    our results of operations and financial position;

    •
    the status of our research and development efforts;

    •
    our stage of development and business strategy;

    •
    the lack of an active public market for our capital stock; and

    •
    the likelihood of achieving a liquidity event, such as an IPO or sale of our company in light of prevailing market conditions.

        The per share estimated fair market value of our common stock in the table below represents the determination by our board of directors of the fair market value of our common stock as of the date of grant, taking into consideration the various objective and subjective factors described above, including the conclusions, if applicable, of contemporaneous independent third-party valuations of our common stock as discussed below. We computed the per share weighted average estimated fair value for stock option grants based on the Black-Scholes option pricing model. The following table sets forth information about our stock option grants from January 1, 2013 through the date of our IPO:

Date of Issuance
  Number of Shares
Underlying Options
Granted
  Exercise
Price
per
Share
  Estimated
Fair Market
Value per
Common
Share
  Estimated Fair
Value of
Options per
Share
 

June 17, 2013

    1,057,247   $ 2.23   $ 2.23   $ 1.55  

June 19, 2013

    26,655     2.23     2.23     1.55  

August 6, 2013

    39,490     2.23     2.23     1.55  

August 12, 2013

    98,724     2.23     2.23     1.55  

August 27, 2013

    69,286     7.44     7.44     5.19  

September 3, 2013

    197,449     7.44     7.44     5.25  

September 26, 2013

    122,579     7.44     7.44     5.17  

December 6, 2013

    118,725     7.00     7.00     4.88  

January 24, 2014

    80,116     7.00     7.00     4.66  

        In determining the exercise prices of the options set forth in the table above granted since January 1, 2013 and before our IPO, our board of directors considered the most recent available independent third-party valuations of our common stock, which were prepared as of July 8, 2010, April 30, 2013 and August 15, 2013, and based its determination in part on such valuations, with the analyses summarized below.

65


Table of Contents

Stock options granted on June 17, 2013 and July 29, 2013

        Our board of directors granted stock options on June 17, 2013 and July 29, 2013, with each having an exercise price of $2.23 per share. Three of these grants became effective upon later dates (June 19, 2013, August 6, 2013 and August 12, 2013) when the respective recipient initially became an employee of our company. The exercise price per share was supported by the most recent independent third-party valuation of $2.23 per common share as of April 30, 2013 which our board determined was still appropriate as of the dates of these grants in the absence of any new clinical trial data and the absence of any agreement within the board to authorize us to begin preparing for an IPO. In conducting this April 30, 2013 valuation, we utilized the option pricing model backsolve method to calculate our enterprise value utilizing as a starting point the May 2013 Series C financing at $1.632 per share of preferred stock, which is effectively $10.12 per share of common stock on an as-converted basis. The price per share of preferred stock in the Series C financing was deemed to be fair value because the price was set by willing and informed unrelated parties (Forest and our company), neither of whom was forced to transact. The Series C financing was concluded after extensive negotiations in which each party sought to obtain the best price. Although we also transferred an option to Forest concurrent with the stock purchase, the value of the option was negligible, so the inclusion of the option in the transaction did not alter the fair value assigned to our equity.

        We estimated the value of our common stock versus the other share classes using the option pricing method, consistent with the methodology noted above in the July 8, 2010 valuation. Changes in assumptions since the July 8, 2010 valuation included adjusting the enterprise value based upon the Series C financing raise at $1.632 per share, changing the expected term to 2.5 years based on updated management estimates, utilizing volatility of 80.5% based on the median of comparable companies and reducing the discount for lack of marketability to 30%. The comparable companies we used were publicly traded companies selected primarily on the basis of the lead indications they have under development. These companies consisted of Pain Therapeutics, Acura Pharmaceuticals, Horizon Pharma, Zogenix and Neurocrine Biosciences, each of which have lead indications focused on pain/neurological disorders, and Aastrom Biosciences, Pozen and Cytokinetics, each of which specializes in cardiovascular indications. All of the selected companies have market capitalizations of less than a billion dollars and low or no product revenue, which we believe makes them representative of our size and stage of development.

Stock options granted on August 27, 2013 and September 26, 2013

        Our board of directors granted stock options on August 27, 2013 and September 26, 2013 with an exercise price of $7.44 per share. One of these grants became effective upon a later date (September 3, 2013) when the recipient initially became an employee of our company. The exercise price per share was supported by the most recent third-party valuation of $7.44 per common share as of August 15, 2013. In conducting this valuation, we used the probability weighted expected return method, or PWERM, with two main categories of discrete scenarios—a non-IPO scenario and multiple IPO scenarios—to take into account the decision by our board of directors in August 2013 to proceed with preparations for a potential IPO. We applied a weighting of 50% to the non-IPO scenario, which was valued using the market adjusted option pricing method, which captures the distribution of exits appropriate for a private company where there are numerous potential future pathways as yet poorly defined, and a weighting of 50% to the IPO scenarios included under the PWERM approach, which assumed that we would achieve an IPO exit in the near-term. This 50% probability of an IPO exit in the near term was deemed appropriate because a successful IPO could only be achieved if the ongoing Phase 1b clinical trial for TRV130 yielded positive data, and the results of this trial were unknown as of the August and September option grant dates. In addition, we had not yet obtained investor feedback that might have increased our assessment of the likelihood of a successful IPO and we were concerned

66


Table of Contents

about subsequent changes in the market's receptivity for biotech IPOs based on the early stage of our IPO preparations.

        To calculate our enterprise value under the market adjusted option pricing method for the non-IPO scenario, we started with the enterprise value calculated in the April 30, 2013 valuation described above. We first adjusted that value, increasing it by 9.7%, to reflect changes in the market conditions for the biotechnology industry generally between April 30, 2013 and August 15, 2013, as evidenced by the growth in enterprise value of three relevant market indices (the NASDAQ Biotechnology Index, iShares NASDAQ Biotechnology Index and SPDR S&P Biotech). We chose not to use the mean change in the enterprise values of our comparable companies because such values did not indicate a trend in biotech company valuations, but rather were significantly influenced by company-specific events. We then further adjusted the enterprise value, increasing it by 13.3% to reflect operational progress made between April 30, 2013 and August 15, 2013 including the receipt of positive interim data from our then-ongoing Phase 1b clinical trial of TRV130. From this enterprise value we then estimated the value of our common stock using the option pricing method, consistent with the methodology noted above in the July 8, 2010 and April 30, 2013 valuations. We used a discount for lack of marketability of 30% in line with the April 30, 2013 valuation to reflect the absence of a near-term exit in the non-IPO scenario. The implied value per share of common stock in the option pricing method as of August 15, 2013 was $2.48 per share.

        Our PWERM approach employed three IPO scenarios and weighted those as described below. We estimated our enterprise value under these IPO scenarios using the guideline public company method under the market approach. Under the guideline public company method, we considered an average of pre-money values for IPOs completed by biotechnology companies from the beginning of 2012 through the middle of 2013. We considered the value of cardiovascular therapeutic companies, which were typically at the low end of the comparable company range, and the value of platform-focused companies, which were typically at the high end of the comparable company range. The valuation range that we selected was between the valuation ranges for the two sets of companies because we work in multiple therapeutic areas, and employ a proprietary biased ligand research platform. In addition, we considered a medium multiple of invested capital as indicated by the IPOs. For the complete set of biotechnology companies that went public between the beginning of 2012 through the middle of 2013, the median step-up factor was 1.1x. However, for biotechnology companies with lead programs, partnerships with pharmaceutical companies and robust pipelines, the range of this multiple has been 1.2x to 1.4x. Given the general positive investor sentiment in the public markets for biotech IPOs, we used a factor of 1.3x as the upper end of the enterprise value range for our company, which is at a slight premium to the historical median.

        For each of the various IPO scenarios, an equity value was estimated and the rights and preferences for each shareholder class were considered to determine what portion of the enterprise value to allocate to common shares. The common share value was then multiplied by a discount factor reflecting the calculated discount rate and the timing of the event. Lastly, the common share value in each scenario was multiplied by an estimated probability for that scenario. The probability and timing of each scenario were based on discussions between our board of directors and our management team.

        We used the following three possible IPO scenarios under the PWERM, weighing them as indicated:

    •
    an IPO at an assumed high valuation in the fourth quarter of 2013, weighted at 30%;

    •
    an IPO at a lower assumed valuation in the fourth quarter of 2013, weighted at 12.5%; and

    •
    an IPO at the higher assumed valuation in the first quarter of 2014, weighted at 7.5%.

        A discount for lack of marketability of 10% was then applied to the resulting value for each IPO scenario. This discount was significantly less than the 30% applied to the April 30, 2013 option pricing

67


Table of Contents

model to reflect that the IPO scenarios assumed that we had moved closer to marketability of shares of common stock in anticipation of a successful IPO. The average implied value per share of common stock in the IPO scenarios was $12.40 per share.

        The table below summarizes the significant assumptions utilized for each of the PWERM scenarios used in valuing the common stock and based upon which the fair value was determined to be $7.44:

 
  PWERM Scenarios  
 
  No IPO
(Option
Pricing
Method)
  Early IPO
(High)
  Early IPO
(Low)
  Late IPO
(High)
 

Liquidity date

    2/15/2016     4Q13     4Q13     1Q14  

Probability weighting

    50 %   30 %   12.5 %   7.5 %

Discount for lack of marketability, or DLOM

    30 %   10 %   10 %   10 %

Estimated per share value of common stock in each PWERM scenario after DLOM

  $ 2.48   $ 13.10   $ 10.91   $ 12.09  

Probability weighted estimated per share value of common stock across IPO scenarios after DLOM

              $ 12.40        

Probability weighted estimated per share value of common stock across all PWERM scenarios after DLOM

        $ 7.44              

        The primary drivers for the increased value per share of common stock between April 30, 2013 and August 15, 2013 were:

    •
    The likelihood of a successful IPO increased. We believed a successful IPO would require good data from the then-ongoing Phase 1b clinical trial for TRV130. In the beginning of August we received positive preliminary data from the first ten subjects in the trial. Based on these data, our assessment of the likelihood that the final data from the trial would be positive increased and so we initiated preparations for an IPO. The increased probability of a successful IPO was also linked to the advancement of TRV734, increased market receptivity to biotech IPOs, the decision by our board of directors in August 2013 to initiate the process for an IPO and the selection of co-lead underwriters.

    •
    The increased valuations associated with early-stage biotech IPOs. The valuations associated with early-stage biotech IPOs were not incorporated into the April 30, 2013 valuation but these valuations were incorporated into the August 15, 2013 valuation methodology and increased the value of common stock as of that date thereby contributing to the change in value between April 30, 2013 and August 15, 2013.

Stock options granted on December 6, 2013 and January 24, 2014

        Our board of directors granted stock options on December 6, 2013 and January 24, 2014 with an exercise price of $7.00, based on the price at which we sold shares in our subsequent IPO.

Recent Accounting Pronouncements

        In June 2011, FASB issued ASU No. 2011-05, Comprehensive Income (ASC Topic 220): Presentation of Comprehensive Income, or ASU 2011-05. This accounting update eliminates the option to present the components of other comprehensive income as part of the statement of stockholders' equity. Instead, comprehensive income must be presented in either a single continuous statement of comprehensive income, which contains two sections, net income and other comprehensive income, or in two separate but consecutive statements. ASU 2011-05 was effective for fiscal periods beginning after December 15, 2011 with early adoption permitted. Our retrospective adoption of ASU 2011-05 did not have a significant impact on our financial position, results of operations or cash flows.

68


Table of Contents

        In February 2013, FASB issued ASU No. 2013-02, Comprehensive Income (Topic 220): Reporting of Amounts Reclassified Out of Accumulated Other Comprehensive Income, or ASU 2013-02. ASU 2013-02 requires companies to present either in a single note or parenthetically on the face of the financial statements; the effect of significant amounts reclassified from each component of accumulated other comprehensive income based on its source and the income statement line items affected by the reclassification. This guidance is effective for annual reporting periods beginning after December 15, 2012. The adoption of this standard did not have a significant impact on our financial position, results of operations or cash flows.

        On June 10, 2014, FASB issued ASU No. 2014-10, Development Stage Entities (Topic 915): Elimination of Certain Financial Reporting Requirements, Including an Amendment to Variable Interest Entities Guidance in Topic 810, Consolidation, or ASU 2014-10. ASU 2014-10 eliminates the accounting and reporting differences in U.S. GAAP between development stage entities and other operating entities, including the presentation of inception-to-date financial statement information and the development stage entity financial statement label. FASB guidance related to risks and uncertainties and FASB guidance utilized to determine if an entity is a variable interest entity now apply to entities that have not commenced planned principal operations. These changes will provide more consistent consolidation analysis and decisions among reporting entities. While these amendments are retrospectively effective for annual reporting periods beginning after December 15, 2014, early adoption is permitted for any annual reporting period or interim period for which the entity's financial statements have not yet been issued. We have elected early adoption in 2014. The adoption of this standard did not have a significant impact on our financial position, results of operations or cash flows.

        In August 2014, the FASB issued ASU No. 2014-15, Presentation of Financial Statements-Going Concern (Subtopic 205-40): Disclosure of Uncertainties about an Entity's Ability to Continue as a Going Concern, which defines management's responsibility to assess an entity's ability to continue as a going concern, and to provide related footnote disclosures if there is substantial doubt about its ability to continue as a going concern. The pronouncement is effective for annual reporting periods ending after December 15, 2016 with early adoption permitted. The adoption of this guidance is not expected to have a material impact on our financial statements.

JOBS Act

        The JOBS Act contains provisions that, among other things, reduce reporting requirements for an "emerging growth company." As an emerging growth company, we have elected to not take advantage of the extended transition period afforded by the JOBS Act for the implementation of new or revised accounting standards and, as a result, will comply with new or revised accounting standards on the relevant dates on which adoption of such standards is required for non-emerging growth companies.

69


Table of Contents

Results of Operations

Comparison of the Nine Months Ended September 30, 2013 and 2014

 
  Nine Months Ended
September 30,
   
 
 
  2013   2014   Change  
 
  (in thousands)
 

Revenue:

                   

Grant revenue

  $ 85   $ —   $ (85 )

Collaboration revenue

    50     —     (50 )
               

Total revenue

    135     —     (135 )
               

Operating expenses:

                   

General and administrative

    2,843     7,034     4,191  

Research and development

    12,240     29,671     17,431  
               

Total operating expenses

    15,083     36,705     21,622  
               

Loss from operations

    (14,948 )   (36,705 )   (21,757 )
               

Other income (expense):

                   

Change in fair value of warrant liability

    (1,250 )   109     1,359  

Miscellaneous income

    1     184     183  

Interest income

    —     12     12  

Interest expense

    (149 )   (4 )   145  
               

Total other income (expense)

    (1,398 )   301     1,699  
               

Net loss and comprehensive loss

    (16,346 )   (36,404 )   (20,058 )

Accretion of preferred stock

    (248 )   (28 )   220  
               

Net loss attributable to common stockholders

  $ (16,594 ) $ (36,432 ) $ (19,838 )
               
               

Revenue

        We had no grant revenue in 2014 due to the discontinuation of funding in June 2013 for a research grant from the National Institutes of Health.

General and administrative expenses

        For the nine months ended September 30, 2014 compared to the same period in 2013, general and administrative expenses increased by $4.2 million, or 147%, primarily as a result of increased headcount and associated salary costs, increased compensation expense associated with stock options granted and increased insurance, professional fees and other operating costs as a result of becoming a public company.

Research and development expenses

        Research and development expenses increased by $17.4 million, or 142%, from $12.2 million for the nine months ended September 30, 2013 to $29.7 million for the nine months ended September 30, 2014. The increase was primarily driven by an increase of $13.0 million in clinical research expenses associated with our advancement into a Phase 2b clinical trial with TRV027 and the initiation of a Phase 2a/b clinical trial of TRV130 to assess the effects of TRV130 in patients following bunionectomy surgery. The remaining increase was primarily driven by other clinical activity for TRV130.

70


Table of Contents

        The following table summarizes our research and development expenses for the nine months ended September 30, 2014 and 2013:

 
  Nine Months Ended
September 30,
 
 
  2013   2014  
 
  (in thousands)
 

TRV027

  $ 2,242   $ 8,421  

TRV130

    2,477     10,582  

TRV734

    1,559     2,601  

Stock-based compensation

    355     921  

Other personnel related costs

    3,676     4,143  

Other research and development

    1,931     3,003  
           

  $ 12,240   $ 29,671  
           
           

Change in fair value of warrant liability

        We recognized gains of $110 thousand and losses of $1.2 million for the nine months ended September 30, 2014 and 2013, respectively, for the change in fair value on revaluation of our warrant liability associated with our warrants outstanding.

Miscellaneous income

        For the nine months ended September 30, 2014, we recorded miscellaneous income of $184 thousand due to the sale of research and development tax credits awarded by the Commonwealth of Pennsylvania and the sale of laboratory equipment no longer in use.

Interest income

        We recorded interest income of $12 thousand during and nine months ended September 30, 2014 due to income associated with the investment of funds in U.S. Treasury Bills.

Interest expense

        Interest expense decreased $144 thousand in the nine months ended September 30, 2014 due primarily to the repayment of our loan facility with Comerica Bank in May 2013.

Accretion of preferred stock

        Accretion of preferred stock of $28 thousand was recorded during the nine months ended September 30, 2014, due to the conversion of our preferred stock into common stock in connection with the IPO.

71


Table of Contents

Comparison of Years Ended December 31, 2012 and 2013

 
  Year Ended
December 31,
   
 
 
  2012   2013   Change  
 
  (in thousands)
 

Revenue:

                   

Grant revenue

  $ 408   $ 85   $ (323 )

Collaboration revenue

    400     50     (350 )
               

Total revenue

    808     135     (673 )
               

Operating expenses:

                   

General and administrative

    3,123     4,718     1,595  

Research and development

    13,295     18,762     5,467  
               

Total operating expenses

    16,418     23,480     7,062  
               

Loss from operations

    (15,610 )   (23,345 )   (7,735 )
               

Other income (expense):

                   

Change in fair value of warrant liability

    45     242     197  

Miscellaneous income

    123     1     (122 )

Interest income

    0     1     1  

Interest expense

    (194 )   (150 )   44  
               

Total other income (expense)

    (26 )   94     120  
               

Net loss and comprehensive loss

    (15,636 )   (23,251 )   (7,615 )

Accretion of preferred stock

    (316 )   (334 )   (18 )
               

Net loss attributable to common stockholders

  $ (15,952 ) $ (23,585 ) $ (7,633 )
               
               

Revenue

        Revenue decreased by $673 thousand, or 83%, from $808 thousand for the year ended December 31, 2012 to $135 thousand for the year ended December 31, 2013. The change was attributable to a decrease of $196 thousand in grant revenue due to the conclusion of the Michael J. Fox Foundation research grant in November 2012, a decrease of $127 thousand in grant revenue due to the discontinuation of funding in June 2013 for a research grant from the National Institutes of Health and a decrease of $350 thousand in collaboration revenue related to the completion of the research activities under a research collaboration agreement with Merck Sharp & Dohme Corporation.

General and administrative expenses

        General and administrative expenses increased by $1.6 million, or 51%, for the year ended December 31, 2013 compared to the same period in 2012 primarily as a result of an increase in professional fees for legal services, for financial consulting services in connection with business development activities and certain expenses incurred in connection with planning for our IPO.

Research and development expenses

        Research and development expenses increased by $5.5 million, or 41%, from $13.3 million for the year ended December 31, 2012 to $18.8 million for the year ended December 31, 2013. The increase was primarily driven by $2.2 million of clinical research expenses and manufacturing/formulation expenses for TRV130 associated with its continued development, $1.8 million in clinical research expenses for TRV027 associated with its advancement into a Phase 2b clinical trial and $1.3 million of expenses associated with the progression of TRV734 from lead optimization work in 2012 into

72


Table of Contents

IND-enabling studies in 2013. The following table summarizes our research and development expenses for the years ended December 31, 2012 and 2013:

 
  Year Ended
December 31,
 
 
  2012   2013  
 
  (in thousands)
 

TRV027

  $ 3,114   $ 4,425  

TRV130

    1,849     4,277  

TRV734

    494     1,988  

Stock-based compensation

    125     609  

Other personnel related costs

    4,744     4,768  

Other research and development

    2,969     2,695  
           

  $ 13,295   $ 18,762  
           
           

Change in fair value of warrant liability

        We recognized gains of $242 thousand and $45 thousand for the years ended December 31, 2013 and 2012, respectively, for the change in fair value on revaluation of our warrant liability associated with our preferred stock warrants outstanding.

Miscellaneous income

        Miscellaneous income decreased by $122 thousand during 2013 due to income recorded during 2012 associated with the sale of research and development tax credits awarded by the Commonwealth of Pennsylvania.

Interest expense

        Interest expense decreased by $44 thousand during 2013 compared to 2012 due primarily to the full repayment of a loan facility in May 2013.

Accretion of preferred stock

        Accretion of preferred stock increased by $17 thousand during 2013 due to offering costs associated with the issuance of our Series C Preferred Stock in May 2013.

Liquidity and Capital Resources

        Since our inception, we have incurred net losses and negative cash flows from our operations. We incurred net losses of $15.6 million and $23.3 million for the years ended December 31, 2012 and 2013, respectively, and $16.3 million and $36.4 million for the nine months ended September 30, 2013 and 2014, respectively. Net cash used in operating activities was $13.7 million and $26.7 million during the nine months ended September 30, 2013 and 2014, respectively. At September 30, 2014, we had an accumulated deficit of $118.7 million, working capital of $65.6 million and cash and cash equivalents of $72.2 million. Historically, we have financed our operations principally through private placements of preferred stock. In January 2014, we completed our IPO. Through September 30, 2014, we have received net proceeds of $180.0 million from the issuance of preferred and common stock, including pursuant to the exercise of options and warrants.

73


Table of Contents

Cash Flows

        The following table summarizes our cash flows for the years ended December 31, 2012 and 2013 and the nine months ended September 30, 2013 and 2014:

 
  Year Ended
December 31,
 
 
  2012   2013  
 
  (in thousands)
 

Net cash (used in) provided by:

             

Operating activities

  $ (14,805 ) $ (24,239 )

Investing activities

    (21 )   (140 )

Financing activities

    4,505     55,606  
           

Net (decrease) increase in cash and cash equivalents

  $ (10,321 ) $ 31,227  
           
           

 

 
  Nine Months Ended
September 30,
 
 
  2013   2014  
 
  (in thousands)
 

Net cash (used in) provided by:

             

Operating activities

  $ (13,687 ) $ (26,730 )

Investing activities

    (78 )   (422 )

Financing activities

    55,010     61,411  
           

Net increase in cash and cash equivalents

  $ 41,245   $ 34,259  
           
           

Net cash used in operating activities

        Net cash used in operating activities was $24.2 million for the year ended December 31, 2013 and consisted primarily of a net loss of $23.3 million partially offset by noncash increases of $1.5 million and a $2.5 million decrease related to the change in operating assets and liabilities. The noncash increases were primarily attributable to depreciation and amortization related to leasehold improvements and capital equipment, the increase in the fair value of stock options and the revaluation of warrant liability. The significant factors that contributed to the change in operating assets and liabilities included an increase in prepaid expenses and other assets of $3.8 million, partially offset by increases in accounts payable and accrued expenses of $1.2 million. The increase in prepaid expenses and other assets was primarily due to expenses incurred in connection with planning for our IPO and costs that were prepaid in association with the initiation of the Phase 2b clinical trial for TRV027. The increase in accounts payable and accrued expenses was primarily due to the timing of our payment of costs related to ongoing development of our product candidates.

        Net cash used in operating activities was $14.8 million for the year ended December 31, 2012 and consisted primarily of a net loss of $15.6 million, partially offset by noncash increases of $1.0 million. The noncash increases were primarily attributable to depreciation and amortization expenses on leasehold improvements and laboratory equipment.

        Net cash used in operating activities was $26.7 million for the nine months ended September 30, 2014, consisting primarily of a net loss of $36.4 million partially offset by noncash adjustments of $2.0 million and changes in operating assets and liabilities of $7.7 million. The noncash adjustments were primarily attributable to increased expense associated with stock options granted and depreciation and amortization related to leasehold improvements and capital equipment partially offset by a gain recognized on the revaluation of the warrant liability. Changes in operating assets and liabilities were driven by a decrease in prepaid expenses and other assets of $3.0 million and an increase in accounts

74


Table of Contents

payable and accrued expenses of $4.7 million. The decrease in prepaid expenses and other assets was primarily due to prepaid IPO costs incurred in 2013 partially offset by prepaid expenses in 2014 related to the initiation of the Phase 2b clinical trial for TRV027 and the Phase 2a/b clinical trial for TRV130. The increase in accounts payable and accrued expenses was primarily due to the timing and volume of our payment of costs related to ongoing development of our product candidates.

        Net cash used in operating activities was $13.7 million for the nine months ended September 30, 2013 and consisted primarily of a net loss of $16.3 million, partially offset by noncash adjustments of $2.4 million primarily attributable to depreciation and amortization expenses on leasehold improvements and laboratory equipment, expense associated with stock options and the revaluation of the warrant liability.

Net cash used in investing activities

        Net cash used in investing activities for the years ended December 31, 2013 and 2012 was $140 thousand and $21 thousand, respectively, and consisted primarily of expenditures related to leasehold improvements and the purchase of capital equipment.

        Net cash used in investing activities for the nine months ended September 30, 2014 and 2013 was $422 thousand and $78 thousand, respectively, and consisted primarily of expenditures related to leasehold improvements and the purchase of capital equipment.

Net cash provided by financing activities

        Net cash provided by financing activities was $55.6 million for the year ended December 31, 2013, which was primarily due to $59.9 million in net proceeds from the issuance of preferred stock and $550 thousand in proceeds from the exercise of preferred stock warrants partially offset by $4.9 million in repayments of a bank loan facility.

        Net cash provided by financing activities was $4.5 million for the year ended December 31, 2012, which was primarily due to net borrowings under the Comerica loan facility.

        Net cash provided by financing activities was $61.4 million for the nine months ended September 30, 2014, which was primarily due to net proceeds from the issuance of common stock in our IPO and net proceeds from our initial borrowing under our term loan agreement on September 19, 2014 with Oxford Finance LLC and Square 1 Bank.

        Net cash provided by financing activities was $55.0 million for the nine months ended September 30, 2013, resulting primarily from proceeds from the issuance of the Series C Convertible Preferred Stock.

Operating and Capital Expenditure Requirements

        We have not achieved profitability since our inception and we expect to continue to incur net losses for the foreseeable future. We expect our cash expenditures to increase in the near term as we fund our Phase 2 clinical trials of TRV027 and TRV130, our Phase 3 clinical trials of TRV130 and our clinical development of TRV734, as well as for our continuing preclinical activities. As a result of our IPO, we are a publicly traded company and incur significant legal, accounting and other expenses that we were not required to incur as a private company. In addition, the Sarbanes-Oxley Act, as well as rules adopted by the SEC and the NASDAQ Stock Market, require public companies to implement specified corporate governance practices that were inapplicable to us as a private company. These rules and regulations have increased our legal and financial compliance costs and make some activities more time-consuming and costly.

75


Table of Contents

        We believe that the net proceeds from this offering, our existing cash and cash equivalents and the $16.5 million we believe we have met the conditions to draw under the second tranche of our credit facility, together with interest thereon, will be sufficient to fund our operations through the end of 2016. However, we anticipate that we will need to raise substantial additional financing in the future to fund our operations. To meet these additional cash requirements, we may seek to sell additional equity or convertible securities that may result in dilution to our stockholders. If we raise additional funds through the issuance of convertible securities, these securities could have rights senior to those of our common stock and could contain covenants that restrict our operations. There can be no assurance that we will be able to obtain additional equity or debt financing on terms acceptable to us, if at all. Our future capital requirements will depend on many factors, including:

    •
    the progress and results of the Phase 2 clinical program for TRV130;

    •
    whether Actavis exercises its option to license TRV027;

    •
    our ability to enter into collaborative agreements for the development and commercialization of our product candidates, for example TRV734;

    •
    the number and development requirements of any other product candidates that we pursue;

    •
    the scope, progress, results and costs of researching and developing our product candidates or any future product candidates, both in the United States and in territories outside the United States;

    •
    the costs, timing and outcome of regulatory review of our product candidates or any future product candidates, both in the United States and in territories outside the United States;

    •
    the costs and timing of future commercialization activities, including product manufacturing, marketing, sales and distribution, for any of our product candidates for which we receive marketing approval;

    •
    any product liability or other lawsuits related to our products;

    •
    the expenses needed to attract and retain skilled personnel;

    •
    the revenue, if any, received from commercial sales of our product candidates for which we receive marketing approval; and

    •
    the costs involved in preparing, filing and prosecuting patent applications, maintaining and enforcing our intellectual property rights and defending our intellectual property-related claims, both in the United States and in territories outside the United States.

Please see "Risk Factors" for additional risks associated with our substantial capital requirements.

Contractual Obligations and Commitments

        The following is a summary of our long-term contractual cash obligations as of December 31, 2013:

 
  Total   Less than
1 Year
  1 - 3 Years   3 - 5 Years   More than
5 Years
 
 
  (in thousands)
 

Operating lease obligations(1)

  $ 1,055   $ 226   $ 829   $ —   $ —  
                       

Total contractual obligations

  $ 1,055   $ 226   $ 829   $ —   $ —  
                       
                       

(1)
Operating lease obligations reflect our obligation to make payments in connection with the lease for our office space.

76


Table of Contents

Purchase Commitments

        We have no material non-cancelable purchase commitments with contract manufacturers or service providers as we have generally contracted on a cancelable basis.

Option and License Agreements and Other Commitments

        For a description of our agreement with Actavis, see "—Option and License Agreement with Actavis plc" above.

        In addition, in the course of normal business operations, we have agreements with contract service providers to assist in the performance of our research and development and manufacturing activities. We can elect to discontinue the work under these agreements at any time. We could also enter into additional collaborative research, contract research, manufacturing and supplier agreements in the future, which may require upfront payments and even long-term commitments of cash.

Off-Balance Sheet Arrangements

        We do not have any off-balance sheet arrangements, as defined by applicable SEC regulations.

Quantitative and Qualitative Disclosures about Market Risk

        We are exposed to market risks in the ordinary course of our business. These market risks are principally limited to interest rate fluctuations. We had cash and cash equivalents of $38.0 million as of December 31, 2013 and $72.2 million as of September 30, 2014, consisting of cash and money market mutual funds that invest substantially all of their assets in U.S. government securities. The primary objective of our investment activities is to preserve principal and liquidity while maximizing income without significantly increasing risk. We do not enter into investments for trading or speculative purposes. Due to the short-term nature of our investment portfolio, we do not believe an immediate 10% increase in interest rates would have a material effect on the fair market value of our portfolio, and accordingly we do not expect our operating results or cash flows to be materially affected by a sudden change in market interest rates.

        We contract with contract research organizations, clinical research organizations and contract manufacturers globally. We may be subject to fluctuations in foreign currency rates in connection with some of these agreements. To date, we have not incurred material effects from foreign currency changes on these contracts. Transactions denominated in currencies other than the U.S. dollar are recorded based on exchange rates at the time such transactions arise.

77


Table of Contents


BUSINESS

Overview

        We are a clinical stage biopharmaceutical company that discovers, develops and intends to commercialize therapeutics that use a novel approach to target G protein coupled receptors, or GPCRs. Using our proprietary product platform, we have identified and advanced three differentiated product candidates into the clinic as follows:

    •
    TRV130:  We recently announced top-line data from our Phase 2a/b clinical trial of TRV130 in postoperative pain. At doses of 2 mg and 3 mg of TRV130 administered every three hours, the trial achieved its primary endpoint of statistically greater pain reduction than placebo for 48 hours, which we believe demonstrates proof of concept for TRV130. The 3 mg dose of TRV130 also showed statistically superior analgesic efficacy over the 48-hour trial period compared to 4 mg of morphine administered every four hours. Additionally, in the first three hours of dosing, when pain was most severe, the 1 mg, 2 mg and 3 mg doses of TRV130 demonstrated superior analgesic efficacy in the trial compared to placebo, and the 2 mg and 3 mg doses of TRV130 demonstrated superior analgesic efficacy compared to 4 mg of morphine. There were no serious adverse events reported in the trial, which we believe suggests that these levels of pain relief can be achieved safely. Over the 48-hour trial period, the tolerability of TRV130 at doses of 2 mg and 3 mg administered every three hours was similar to that of 4 mg of morphine administered every four hours. Based on these data, we plan to move into Phase 3 preparations, which we expect to occur in parallel with a second Phase 2 trial we are planning for TRV130. These data complement the data generated in our Phase 1b trial, in which TRV130 showed superior efficacy with an improved tolerability profile following a single dose of TRV130 relative to a 10 mg dose of morphine in a human evoked-pain model. We hold a U.S. patent covering the composition of matter and methods of use for TRV130. We have retained all worldwide development and commercialization rights to TRV130, and plan to commercialize it in acute care markets such as hospitals and ambulatory surgery centers if it receives regulatory approval.

    •
    TRV734:  We have completed a first Phase 1 single ascending dose clinical trial for TRV734, an oral follow-on to TRV130 for the treatment of moderate to severe acute and chronic pain. We have completed enrollment in a second Phase 1 multiple ascending dose clinical trial and expect to report data from this trial early in the first quarter of 2015. We have retained all worldwide development and commercialization rights to TRV734.

    •
    TRV027:  We have completed a Phase 2a clinical trial and in early 2014 we initiated a Phase 2b clinical trial of TRV027 for acute heart failure, or AHF. Enrollment in this trial is ongoing, with over 200 patients recruited out of planned enrollment of approximately 500 patients. More than 65 sites in 12 countries are now open and recruiting, and we expect patient enrollment will conclude in the third quarter of 2015. We expect to report top-line data from this trial in the fourth quarter of 2015. Actavis plc, or Actavis, has the exclusive option to license TRV027 from us. We plan for TRV027 to be commercialized in the acute care hospital market if it receives regulatory approval.

We also plan to identify a product candidate from our preclinical d-opioid receptor program focused on central nervous system, or CNS, indications in 2014 and to advance the product candidate to preclinical studies in 2015 that would support our submission of an investigational new drug application, or IND, to the U.S. Food and Drug Administration, or FDA.

78


Table of Contents

Our Pipeline

GRAPHIC

Our Platform

        GPCRs are a large family of cell surface receptors that trigger two signaling pathways, G protein and b-arrestin, and are implicated in cellular function and disease processes. More than 30% of all currently marketed therapeutics target GPCRs. Currently available therapeutics that target GPCRs, or GPCR ligands, are typically not signal specific, and therefore either inhibit both the G protein and b-arrestin pathways (an antagonist ligand) or activate both pathways (an agonist ligand). This lack of signal specificity often results in a suboptimal therapeutic profile for these drugs because in many cases one of the pathways is associated with a beneficial therapeutic effect and the other is associated with limiting that benefit or with an undesirable side effect (see Figure 1). We use our proprietary Advanced Biased Ligand Explorer, or ABLE, product platform to identify "biased" ligands, which are compounds that activate one of the two signaling pathways of the GPCR while inhibiting the other (see Figure 2). This signaling specificity is the basis for our drug discovery and development approach, which is to identify selective GPCR biased ligands and develop them into differentiated clinical products. While some GPCRs trigger other signaling pathways in addition to G protein and b-arrestin, most GPCRs trigger those two pathways.

        Our ABLE product platform is a collection of proprietary biological information, in vitro assays, know-how and expertise that we use to identify unique GPCR-targeted biased ligands with attractive pharmaceutical properties. In vitro assays are laboratory tests performed outside of a living organism. Our in vitro assays use cells that have the receptor of interest on the cell surface, where G protein and b-arrestin signaling from that receptor can be measured to determine if a particular ligand is biased, and if so whether it is a G protein or b-arrestin biased ligand. Our assays can also measure different cellular responses resulting from signaling through b-arrestin and can thereby help us to associate pharmacological responses with molecular signaling. Most components of our ABLE product platform are maintained as trade secrets, but the output of the product platform is reflected in the product candidates that we have advanced into clinical testing and the research we have published in numerous peer-reviewed journals. We believe that our ABLE product platform provides us with an important competitive advantage in identifying further opportunities for efficient and high-impact biased ligand drug discovery, development and commercialization.

79


Table of Contents

        We were founded in late 2007 to discover and develop product candidates based on biased ligands, a concept discovered by our scientific founder, Dr. Robert Lefkowitz, who was awarded the 2012 Nobel Prize in Chemistry in part for his elucidation of the multiple pathways that a GPCR engages. We believe that we are the first company to progress a GPCR biased ligand into clinical trials. The members of our executive management team have held senior positions at leading pharmaceutical and biotechnology companies and possess substantial experience across the spectrum of drug discovery, development and commercialization.


Figure 1: Mechanism of current GPCR-targeted drugs

GRAPHIC


Figure 2: Mechanism of our biased ligands—the next generation of GPCR-targeted drugs

GRAPHIC

Our Strategy

        Our goal is to build a leading biopharmaceutical company leveraging our expertise in biased ligands to develop and commercialize innovative, best-in-class drugs targeting established GPCRs. Key elements of our business strategy to achieve this goal are to:

Rapidly advance clinical development of our three lead product candidates to commercialization.

        We plan to develop and commercialize TRV130 for the treatment of moderate to severe acute postoperative pain and other indications where intravenous, or IV, therapy is preferred. Specific uses

80


Table of Contents

could include the treatment of pain related to surgery as well as nonsurgical settings like severe burn or end-of-life care facilities. The efficacy of drugs targeting the µ-opioid receptor is well-established. We have announced top-line data from our Phase 2a/b trial of TRV130 in postoperative pain in which we observed statistically significant analgesic efficacy compared to placebo and evidence for beneficial differentiation from a benchmark dose of morphine. We also plan to initiate a second Phase 2 clinical trial for TRV130 by the end of 2014 in a soft tissue surgery model to further inform Phase 3 development and to further evaluate the potential for an improved therapeutic profile compared to morphine.

        We plan to develop TRV734 for oral use in moderate to severe acute and chronic pain. We intend to seek a collaborator with experience in developing and commercializing controlled-substance therapeutics in acute and chronic care pain markets while retaining rights to commercialize TRV734 in hospital surgical settings in the United States. We completed our first Phase 1 clinical trial, in which we observed bioavailability and CNS activity of TRV734 after oral dosing, and we have completed enrollment in a second Phase 1 trial to support Phase 2 development. We expect to report data for the second trial early in the first quarter of 2015.

        We plan to complete our Phase 2b clinical trial for TRV027 for the treatment of AHF by the end of 2015. If this trial is successful and Actavis exercises its option, Actavis will be responsible for all costs associated with further development and commercialization of TRV027. If the option is exercised, we will be entitled to an upfront option exercise fee and certain contingent milestone payments and royalties, which we intend to use to further develop and potentially commercialize our proprietary portfolio.

Establish commercialization and marketing capabilities in the United States, initially in acute care markets, for any of our product candidates that are approved or that we anticipate may be approved.

        If any of our products beyond TRV027 receive or are anticipated to receive regulatory approval, we intend to build a focused sales force and establish marketing capabilities to commercialize those products to specialists in the United States, initially in acute care settings such as hospitals and ambulatory surgery centers.

        We intend to retain full commercialization rights in the United States for TRV130. After the availability of Phase 2 clinical data for TRV130, we may seek collaborators for commercializing TRV130 outside the United States to offset risk and preserve capital.

        For TRV734, we intend to seek a collaborator with experience in developing and commercializing controlled-substance therapeutics in acute and chronic care pain markets, thereby leveraging their expertise while retaining rights to commercialize TRV734 in hospital surgical settings and other settings where we may commercialize TRV130 in the United States.

        If Actavis exercises its option to license TRV027, Actavis will be responsible for commercialization of TRV027 worldwide. We have the option to negotiate with Actavis for co-promotion rights in the United States, although Actavis has no obligation to grant us any co-promotion rights. We expect that TRV027, if approved, would be used primarily in the acute care setting, thereby providing an opportunity to leverage the commercial infrastructure we plan to implement to market our other product candidates, if any of them are approved.

Expand our CNS product portfolio by advancing our d-opioid receptor program

        We aim to deliver the first selective d-opioid receptor-targeted therapeutic for the treatment of CNS disorders, which may include migraine, Parkinson's disease or neuropathic pain. We expect to identify a product candidate by the end of 2014. We intend to seek a collaborator with CNS experience

81


Table of Contents

to leverage their expertise in development and commercialization of a d-opioid receptor product candidate, retaining rights for any acute care indications in the United States.

Leverage our ABLE product platform to continue to discover and develop a pipeline of innovative biased ligand therapeutics and expand our product platform's impact through external collaborations.

        We have used our ABLE product platform to identify three potential therapeutics targeting GPCRs. We are in lead optimization with a fourth product candidate discovery program, and have also identified additional high-value GPCR targets. As part of our longer term strategy, we plan to initiate internal drug discovery efforts in indications characterized by significant unmet medical need. We also intend to selectively collaborate on discovery and development programs to leverage the potential of our ABLE product platform.

CNS Portfolio

TRV130

        TRV130 is a small molecule G protein biased ligand at the µ-opioid receptor, which we are developing as a first-line treatment for patients experiencing moderate to severe acute pain where IV administration is preferred. TRV130 activates the µ-opioid receptor G protein pathway, which in preclinical studies was associated with analgesia, and inhibits the b-arrestin pathway at the same receptor, which in preclinical studies was associated with limiting opioid analgesia and with promoting opioid-induced respiratory depression and constipation. Given its pharmacokinetic, tolerability and efficacy profile in our Phase 1 and Phase 2a/b trials, we believe that both the inpatient and outpatient settings could be appropriate for TRV130 use. The current focus of our clinical trials is on surgical patients. We believe offering superior analgesia or reducing the adverse side effects typically associated with the activation of the µ-opioid receptor will position TRV130, if approved, to more effectively treat moderate to severe acute pain than currently available µ-opioid therapies. We have an issued U.S. patent that covers TRV130, compositions comprising TRV130 and methods of using TRV130 and this patent is expected to expire no earlier than 2032.

Disease

        According to data from IMS Health, in 2013 there were approximately 47 million hospital inpatient stays and outpatient visits during which reimbursement claims for injectable opioids were made, 20 million of which involved a surgical procedure. In terms of the total potential market opportunity, the World Health Organization estimates that over 230 million major surgical procedures are performed each year worldwide. According to Life Science Intelligence, a market research firm, over 30 million inpatient surgical procedures and 42 million outpatient or ambulatory surgical procedures were performed in the United States in 2013. According to the European Commission, about 30 million hospital inpatient surgeries are performed collectively in France, Germany, the United Kingdom, Italy and Spain each year. Accordingly, we believe that there is a large potential commercial opportunity for TRV130 in the treatment of surgical pain, if approved.

    Treatment options for moderate to severe, acute postoperative pain

        The typical treatment paradigm in developed markets for management of moderate to severe, acute postoperative pain is to initiate injectable or IV pain medication in the preoperative or immediate postoperative period to provide rapid and effective pain relief. As soon as it is safe and practical, a transition is typically made to oral pain medication, allowing patients to take medication home with them.

        Opioid analgesics like morphine, fentanyl and hydromorphone are mainstays of pain treatment in the immediate postoperative period. Despite the development and adoption of guidelines for the

82


Table of Contents

management of postoperative pain and the extensive use of current treatments, significant unmet need remains. In a 2012 survey of 300 surgical patients in the United States, over 80% of patients reported postoperative pain after the first analgesic medication had been administered, and 40% of this pain was reported to be moderate or severe. The effectiveness of currently available m-opioid agonists is limited in part because their doses are limited by severe side effects such as respiratory depression, nausea and vomiting, constipation and postoperative ileus, or POI, which is a condition that most commonly occurs after surgery involving interruption of movement of the intestines in which the bowel enters spasm and stops passing food and waste.

        A recent survey we conducted in a sample of 72 U.S. surgeons and anesthesiologists suggests that the most important attribute driving physicians' choice of an IV opioid is analgesic efficacy. In the same survey, respondents stated that injectable non-opioid analgesics are currently used to supplement IV opioids for post-surgical pain management in about 60% of hospital inpatient cases. These drugs, such as IV non-steroidal anti-inflammatory drugs, or NSAIDs, IV acetaminophen or local anesthetics such as bupivacaine, have their own potential side effects in the cardiovascular and gastrointestinal, or GI, systems as well as the liver. We estimate that recently introduced branded versions of these drugs can add $50 to $300 per patient per day to the cost of managing patients with moderate to severe postoperative pain in the United States.

        None of these non-opioid analgesic approaches has displaced the use of opioid analgesics as the cornerstone of IV therapy for acute moderate to severe pain. However, the level of analgesic efficacy achievable with opioid medicines is limited as a result of dose-limiting side effects. Opioid-related side effects, including respiratory depression, nausea and vomiting, and constipation, can limit opioid dosing and may contribute to inadequate pain relief reported by patients and physicians with currently prescribed opioids:

    •
    Morphine, fentanyl and hydromorphone are all associated with reduced respiratory rate and reduced tidal volume, which is the amount of air inhaled or exhaled in a single breath. Although serious complications or deaths from opioid-induced respiratory depression are rare, with our estimate being about 80,000 cases per year in U.S. hospitals, fear of respiratory depression represents a major barrier to the effective use of opioids in the management of postoperative pain because physicians are cautious about increasing dose. We believe this contributes to the limited effectiveness of pain relief with current IV opioids.

    •
    In several published surveys, patients faced with surgery list the avoidance of postoperative nausea and vomiting, or PONV, as a leading concern. PONV occurs in approximately one third of surgical patients following treatment with IV opioids. We believe that there are over 5 million cases of opioid-induced PONV annually in U.S. hospitals for inpatients alone. The constipating effects of opioid drugs are also problematic and costly for surgical patients, who are typically not considered ready for discharge until they have had a meal or a bowel movement. POI is a condition in which the bowel enters spasm and stops passing food and waste, which most commonly occurs after surgery involving interruption of movement of the intestines. POI is exacerbated by anesthetics and opioid analgesics, and occurs in at least 10% of patients following invasive abdominal procedures. We believe that opioid-induced PONV, opioid-induced constipation, and POI together add approximately $5 billion to the cost of hospital inpatient post-surgical recovery in the United States annually.

Key differentiating attributes of TRV130

        We believe that TRV130 may offer several potential advantages over existing opioid treatments for postoperative pain, any of which may contribute to higher levels of pain relief for TRV130 compared to these drugs. These potential advantages are as follows:

83


Table of Contents

    •
    Efficacy

    •
    Highly effective.    Based on top-line data from our Phase 2a/b clinical trial of TRV130 for treatment of postoperative pain following bunionectomy, a 3mg dose of TRV130 administered every three hours showed statistically superior analgesic efficacy over the 48-hour trial period compared to 4 mg of morphine administered every four hours Additionally, 2mg and 3mg doses of TRV130 demonstrated statistically superior analgesic efficacy compared to 4 mg of morphine in the first three hours of dosing, when pain was most severe. There were no serious adverse events reported in the trial, which we believe suggests that these levels of pain relief can be achieved safely. Over the 48-hour trial period, the tolerability of TRV130 at doses of 2 mg and 3 mg administered every three hours was similar to that of 4 mg of morphine administered every four hours. At the highest dose tested, TRV130 was associated with a mean change from baseline pain score of approximately seven (severe pain) to approximately one (mild pain) by the first data collection point five minutes after dosing. By contrast, a standard dose of morphine was associated with a change from the same baseline to a score of approximately five (moderate pain). These data are complementary to data from our Phase 1b trial in healthy subjects using an evoked-pain model, in which 3 mg of TRV130 showed superior analgesia compared to a 10 mg dose of morphine and produced less respiratory depression, less severe nausea and less frequent vomiting compared to morphine. If future pivotal trials of TRV130 continue to provide evidence of an improved therapeutic profile with respect to key safety and tolerability concerns, we believe that TRV130, if approved, may represent an improvement over unbiased µ-opioid agonists, which are the current standard of care.

    •
    Fast acting.    In preclinical studies, TRV130 delivered maximal efficacy at only five minutes after dosing. In our Phase 1 clinical trial, we also observed full pharmacodynamic response in the form of pupil constriction in humans at ten minutes after dosing. Pupil constriction is a well-established biomarker for the analgesic efficacy of opioid drugs. We also observed full analgesic effect in the Phase 1b evoked-pain model at the first practical data collection point of 10 minutes after dosing, and in our Phase 2a/b postoperative pain trial we observed maximum analgesia five to 15 minutes after dosing. If our pivotal clinical trials confirm this rapid time to peak effect, we believe the market potential of TRV130, if approved, could be broadened into the peri-operative pain market where fentanyl is commonly used today.

    •
    Drug safety and tolerability

    •
    Reduced respiratory depression risk.    In a Phase 1b clinical trial in healthy subjects using an evoked-pain model, TRV130 showed less respiratory depression compared to a10 mg dose of morphine and delivered superior analgesia. In a preclinical proof of concept study, TRV130 showed less respiratory depression at equivalent analgesic doses compared to morphine.

    •
    Reduced PONV.    In our Phase 1b clinical trial in healthy subjects using an evoked-pain model, subjects treated with TRV130 showed less severe nausea and less frequent vomiting at a dose eliciting greater analgesia compared to a high dose of morphine. This was consistent with our Phase 1 data in which TRV130 showed no nausea or vomiting at doses eliciting equivalent or greater pupil constriction compared to high doses of morphine or fentanyl that would be expected to result in a 20% to 30% incidence of nausea and vomiting. A reduction in PONV, if supported by future clinical trials, would be a meaningful advantage for physicians, patients and payors.

    •
    Reduced POI and constipation.    If we are able to demonstrate its safety and efficacy in clinical trials, in the absence of negative GI side effects, we believe TRV130, if approved, would be an attractive treatment option for patients. In preclinical studies, TRV130 caused

84


Table of Contents

        significantly less constipation compared to morphine at doses delivering equivalent analgesia. If these potential benefits translate to the clinical setting, and TRV130 is approved, we believe it could offer the possibility of meaningful cost savings to hospitals.

Clinical experience

        We have had an active IND for TRV130 for moderate to severe acute pain with the FDA since January 2012. Since then, we have completed our Phase 2 a/b clinical trial of TRV130 in postoperative pain in 333 patients, four other clinical trials in 121 healthy subjects and one part of a two-part multiple-ascending dose trial in healthy volunteers, the second part of which is ongoing. These trials include:

    Phase 2a/b trial of TRV130 in acute postoperative pain following bunionectomy.

        The aim of our Phase 2a/b clinical trial was to evaluate TRV130's efficacy and tolerability in the management of postoperative pain using morphine as a benchmark. The trial was a multicenter, randomized, double-blind, placebo- and active-controlled, multiple dose, adaptive trial in 333 women and men undergoing a primary unilateral first-metatarsal bunionectomy surgery at four sites in the United States. Patients were randomized after surgery to receive TRV130, morphine or placebo to manage their pain. Pain intensity was measured using validated numeric rating scales ranging from ten (most severe pain) to zero (no pain) at multiple time points up to 48 hours. Based on these scales, analgesic efficacy was assessed with a time-weighted average change in pain score over 48 hours—a well established measure of changes in the intensity of pain over time and an FDA-recommended endpoint for pain studies. The trial was conducted in two parts, with the goal of providing information on efficacy and dose- and interval-ranging and furthering the differentiation of TRV130 compared to morphine. In the first part, a pilot phase, patients were randomized to receive one of four doses of TRV130 (1 mg, 2 mg, 3 mg or 4 mg), morphine or placebo, all given at four hour intervals. In the second part of the trial, an adaptive phase, eight cohorts of approximately 25 patients each were randomized successively to one of two adaptive doses of TRV130 given every three hours, morphine given every four hours, and placebo given every three or four hours hours in a double-blind, double-dummy fashion. In this adaptive phase, doses of 0.5 mg, 1 mg, 2 mg and 3 mg of TRV130 were evaluated. Rescue medication consisting of acetaminophen or ketorolac was used in all groups. In total, 141 patients were treated in the pilot phase and 192 patients were treated in the adaptive phase. The second part of the trial was originally planned to include ten cohorts of 25 patients each, but after progressing through the pilot phase and eight of the ten planned cohorts in the second phase, we elected to close enrollment in the trial following a pre-specified interim analysis because the trial had met its objectives.

        We recently announced top-line data from this trial. At doses of 2 mg and 3 mg of TRV130 administered every three hours, the trial achieved its primary endpoint of statistically greater pain reduction than placebo for 48 hours, which we believe demonstrates proof of concept for TRV130. Over the 48-hour trial period, the 3mg dose of TRV130 administered every three hours also showed statistically superior analgesic efficacy compared to the 4mg dose of morphine administered every four hours. Additionally, in the first three hours of dosing, when pain was most severe, the 1 mg, 2 mg and 3 mg doses of TRV130 demonstrated superior analgesic efficacy in the trial compared to placebo, and the 2 mg and 3 mg doses of TRV130 demonstrated superior analgesic efficacy compared to the 4 mg dose of morphine.

        There were no serious adverse events reported in the trial. Both the 2mg and 3 mg doses of TRV130 showed overall tolerability over the 48-hour trial period similar to the 4 mg dose of morphine administered every four hours. Adverse events attributable to TRV130 were largely opioid-related, with the most frequently reported events being dizziness, headache, somnolence, nausea, vomiting, flushing and itching. Adverse effects were generally dose-related.

85


Table of Contents

        These top-line results of the adaptive phase of the trial are summarized in more detail below:

    •
    Primary endpoint—TRV130 compared to placebo over 48 hours.  Over 48 hours, doses of 2 mg and 3 mg of TRV130 administered at three hour intervals achieved statistically more reduction in pain intensity compared to placebo administered at three or four hour intervals. The 2 mg dose of TRV130 reduced the time-weighted average pain score by 1.4 points more than placebo and the 3 mg dose of TRV130 reduced the time-weighted average pain score by 2.4 points more than placebo . These results were statistically significant, with one-sided p-values of 0.0024 and less than 0.0001, respectively, for the 2 mg and 3 mg doses of TRV130. P-value is a conventional statistical method for measuring the statistical significance of clinical results. A p-value of 0.05 or less represents statistical significance, meaning that there is a 1-in-20 or less likelihood that the observed results occurred by chance. The mean baseline pain rating was approximately seven out of ten, a pain level considered severe.

    •
    TRV130 compared to morphine over 48 hours.  Over 48 hours, 3 mg of TRV130 administered at three hour intervals achieved statistically more reduction in pain intensity compared to 4 mg of morphine administered at four hour intervals, reducing the time-weighted average pain score compared to placebo by 1.0 point more than morphine. This result was statistically significant, with a one-sided p-value of 0.014.


Figure 3 summarizes these results from the adaptive phase of the trial, comparing the least squares mean time-weighted average pain intensity difference over the 48-hour trial period for the four doses of TRV130 and morphine, each compared to placebo.


Figure 3: Pain relief from TRV130 and morphine compared to placebo over 48 hours

GRAPHIC

    •
    TRV130 compared to placebo and morphine over three hours.  When study pain was most severe, during the first three hours after the initial dose, TRV130 at 1 mg, 2 mg and 3 mg showed statistically more reduction in pain intensity compared to placebo, reducing the time-weighted average pain score by 1.0 point, 2.4 points and 3.0 points, respectively, more than placebo and with one-sided p-values of 0.021, less than 0.0001 and less than 0.0001, respectively. Likewise, TRV130 at 2 mg and 3 mg showed statistically more reduction in pain intensity compared to 4 mg of morphine, reducing the time-weighted average pain score by 1.2 points and 1.8 points, respectively, more than morphine, with one-sided p-values of 0.0029 and less than 0.0001, respectively. The 3 mg dose of TRV130 achieved a reduction in least squares mean pain intensity of approximately six points, with notable efficacy at five minutes, the first pain intensity assessment after dosing.

86


Table of Contents


Figure 4 summarizes these results from the adaptive phase of the trial, comparing the mean pain score from one to ten at various measurement points over the first three hours after the initial dose of placebo, 4 mg of morphine or one of the four doses of TRV130.


Figure 4: Pain intensity for TRV130, morphine and placebo over first three study hours

GRAPHIC

    •
    Patient-reported peak pain relief after first dose.  Consistent with these findings, more patients reported statistically greater peak pain relief during the first three-hour dosing period for 2 mg and 3 mg doses TRV130 compared to 4 mg of morphine, with p-values of 0.005 and less than 0.0001, respectively. Of patients receiving 1 mg, 2 mg or 3 mg of TRV130, 13%, 31% and 52%, respectively, reported complete peak pain relief during this period compared to 0% and 8% of patients receiving placebo and 4 mg morphine, respectively.


Figure 5 summarizes these results from the adaptive phase of the trial, indicating the percentage of responding patients taking placebo, morphine or one of the four doses of TRV130 reporting various levels of peak pain relief, from no or little relief to complete relief, during the first three-hour dosing period.

87


Table of Contents


Figure 5: Level of peak pain relief from TRV130, morphine and placebo over first three study hours

GRAPHIC

        The efficacy demonstrated by TRV130 in the first three hours was reproduced upon repeat dosing, leading to sustained differences from placebo at both the 2 mg and 3 mg doses (Figure 6). During the final 24 hours of the trial, pain intensity decreased in patients receiving placebo, which we believe reduced the amount of efficacy that could be measured for TRV130.


Figure 6: Pain intensity for TRV130, morphine and placebo over 48 hours

GRAPHIC

88


Table of Contents

    Phase 1b proof of concept exploratory trial in healthy subjects using an evoked-pain model

        The aims of this trial were to characterize the analgesic efficacy and safety and tolerability of a single dose of TRV130 as compared to a single 10 mg dose of morphine. We employed a double-blind, five-period crossover design with 30 healthy male subjects each randomized to receive a 2-minute infusion of three dose levels of TRV130 (1.5 mg, 3.0 mg and 4.5 mg), 10 mg of morphine, and placebo in random order. We used an evoked-pain model, the cold pain test, to evaluate the analgesic effects of TRV130. The cold pain test is an established model to evaluate opioid effectiveness. We measured time to hand removal, or latency, from a temperature-controlled cold water bath. We used visual analog scale measurements of nausea and measured respiratory depression through ventilatory response to hypercapnia, another well-known experimental model.

        At both the 3.0 mg and 4.5 mg doses, TRV130 showed superior efficacy as compared to a 10 mg morphine dose that was statistically significant with a p-value of less than 0.05 at the ten and 30 minute time points after dosing. The durability of the analgesic effect was similar to morphine as shown in Figure 7. In addition, the time to peak effect was more rapid than morphine.

        Overall, TRV130 was well tolerated in the trial. Subjects receiving TRV130 showed less severe nausea and less frequent vomiting at the 1.5 mg and 3.0 mg doses as compared to a 10 mg dose of morphine. TRV130 also showed less respiratory depression compared to morphine, measured as minute volume, or MV, area under the curve over 4 hours as shown in Figure 8. MV is a product of respiratory rate and tidal volume, or the amount of air exhaled in a single breath, and thereby captures the body's ability to expel carbon dioxide. The reduction in respiratory depression was statistically significant as compared to a 10 mg morphine dose with a p-value of less than 0.05 at all TRV130 doses. The 3.0 mg dose of TRV130 therefore demonstrated superior efficacy, less severe nausea, less vomiting and less respiratory depression in this trial as compared to 10 mg morphine, suggesting that TRV130, if approved, may have a better analgesic profile compared to existing unbiased µ-opioid agonists.


Figure 7: Analgesic effect of TRV130 as compared to
morphine in an evoked-pain model

GRAPHIC

89


Table of Contents


Figure 8: Less respiratory depression with TRV130 as compared to morphine

GRAPHIC

    Three part phase 1 clinical trial in healthy subjects

        The primary objectives of this trial were to evaluate the pharmacokinetics and tolerability of TRV130. We also obtained pharmacodynamic data by measuring pupil constriction. At historically efficacious doses, morphine and fentanyl cause approximately 1 to 2 mm of pupil constriction.

        Based on the pharmacokinetics data from these trials, we expect TRV130, if approved, could be administered by IV bolus, or continuous infusion, including by way of patient-controlled analgesic device, making it potentially convenient and easy to use for postoperative pain. Specific pharmacokinetic data obtained from these trials is highlighted below:

    •
    TRV130 showed a dose-dependent increase in exposure.

    •
    In vitro data suggest that TRV130 is metabolized by at least two liver enzymes: CYP2D6 and CYP3A4. Approximately 2% to 21% of the population has low levels of CYP2D6 activity. In Part B of the trial, we evaluated TRV130 in a group of these poor metabolizers in order to understand whether dose adjustments will be required in this group. The maximum TRV130 plasma concentration in this group was in the upper range of that observed in non-poor metabolizers, suggesting that the poor metabolizers should exhibit similar tolerability to non-poor metabolizers. There was a reduction in clearance by approximately 50% in the poor metabolizers suggesting that a lower frequency of dosing may be required to offer effective pain relief.

    •
    Reducing infusion time when administering TRV130 as a bolus in Part C of the trial did not significantly alter the exposure, suggesting that TRV130 could be administered as an intermittent bolus infusion without compromising drug exposure.

90


Table of Contents

        Overall, TRV130 was well tolerated. In Part A of the Phase 1 clinical trial, when TRV130 was administered as a one-hour infusion, there was no nausea or vomiting reported at doses up to 4 mg/hr that produced a reduction in pupil diameter of approximately 2.5 mm. When the dose was increased to 7 mg/hr, four subjects receiving TRV130 experienced nausea and four experienced vomiting, thus establishing the non-tolerated dose.

        In Part A of this Phase 1 clinical trial in healthy subjects, one subject who received 0.25 mg/hr TRV130 experienced a severe episode of vasovagal syncope during which he fainted and his pulse stopped, which were classified as serious adverse events. He recovered without medical intervention and experienced no known adverse consequences from this event. Certain potential triggers of vasovagal syncope were removed from the trial protocol, and dose escalation proceeded up to 7 mg/hr (28-fold higher than the 0.25 mg/hr dose at which the syncope occurred). No additional vasovagal syncope events were reported in the trial or in any other TRV130 trial.

        In Part C of the trial, TRV130 was administered to six subjects with each subject receiving on successive days a 1.5 mg dose with an infusion time of 30 minutes, 15 minutes, five minutes and one minute. TRV130 was well tolerated with pupil constriction of approximately 1 mm. We used these data to design a further intravenous bolus trial as described below to evaluate higher bolus doses.

    Phase 1 IV bolus trial

        In a follow-up trial with bolus doses of 2.0, 3.0 or 3.5 mg administered over two minutes, TRV130 was well tolerated up to 3.5 mg (the highest dose in the trial). One subject experienced mild nausea when 3.5 mg TRV130 was given. No nausea was reported at the lower doses. When 3.5 mg of TRV130 was administered, pupil diameter decreased by approximately 2 mm from baseline, in line with high-dose morphine or fentanyl.

    Phase 1 drug-drug interaction trial

        To further explore TRV130's metabolic profile in the clinic, a single dose of TRV130 was administered to healthy subjects in conjunction with ketoconazole, a CYP3A4 inhibitor. TRV130 was safe and generally well-tolerated in the presence of ketoconazole and there was no clinically meaningful change in TRV130 exposure.

    Phase 1 two-part multiple ascending dose trial

        The first part of this trial evaluated the maximum tolerated dose and pharmacokinetics of TRV130 when multiple doses were given, and also measured pharmacodynamic effects of TRV130, including pupil constriction and cold pain test analgesia. The results of this part of the trial were consistent with earlier trials, showing reproducible pharmacokinetics and pharmacodynamic effects of TRV130. Safety and tolerability of TRV130 were also consistent with earlier trials, and no unexpected adverse effects were observed. The second part of the trial, which is testing the effects of subjects' metabolic capacity on potential duration of action of TRV130, is in progress and we expect to release data from this part of the trial by the end of 2014.

Preclinical studies

        In preclinical models, TRV130 showed analgesic efficacy comparable to morphine but reached peak effect more quickly than morphine. Time to peak effect occurred within five minutes for TRV130 compared to 30 minutes for morphine. TRV130 had a significantly improved therapeutic index, compared to morphine, of analgesia to respiratory depression, measured as blood carbon dioxide, or pCO2, and analgesia to constipation, measured using two GI motility assays. This was consistent with basic research studies in which morphine given to b-arrestin2 knockout mice showed increased analgesia, less respiratory depression and less constipation than morphine given to wild-type mice.

91


Table of Contents

Clinical development strategy

        We believe that the early clinical and preclinical data generated suggest that TRV130 may have superior analgesia with fewer dose-limiting safety and tolerability disadvantages compared to existing opioid analgesics. If confirmed in further trials, we believe that this profile will justify TRV130, if approved, as a preferred opioid analgesic for the intravenous treatment of moderate to severe acute pain.

        We are also conducting a Phase 1 clinical trial to explore the safety, tolerability, pharmacokinetics and pharmacodynamics of multiple ascending doses of TRV130 in healthy volunteers. This trial consists of two parts. We have completed the first part of this trial, in which we observed safety, tolerability, pharmacokinetics and pharmacodynamics after repeat-dosing consistent with our expectations from earlier single-dose trials. The second part of the trial, which is testing the effects of subjects' CYP2D6 metabolic capacity on TRV130 potential duration of action, is ongoing.

        We also are conducting an additional Phase 1 trial to evaluate the absorption, metabolism and excretion of TRV130 in healthy subjects. This additional Phase 1 trial is ongoing and we expect it to conclude in the first half of 2015.

        We expect to initiate a second Phase 2 clinical trial of TRV130 in the fourth quarter of 2014 with the goal of evaluating analgesic efficacy following a soft tissue surgery and exploring TRV130's safety and tolerability profile compared to morphine. This trial will employ as-needed dosing to broaden dosing information beyond the fixed-interval dosing used in the bunionectomy trial. In this trial, TRV130, morphine or placebo will be administered as an initial loading dose followed by delivery of on-demand doses via a patient-controlled analgesia device. Approximately 200 patients who have undergone uncomplicated, elective abdominoplasty surgery will be enrolled in the trial, with approximately 40 receiving placebo, 80 receiving TRV130 and 80 receiving morphine. The primary endpoint of the trial will be the efficacy of TRV130 compared to placebo over 24 hours, which may serve as a registration endpoint in Phase 3 development. We expect that this trial, if the data are promising, along with data from the Phase 2a/b clinical trial of treatment of postoperative pain following bunionectomy, would support Phase 3 development in soft and hard tissue pain, which we believe would be required by the FDA for approval of TRV130 for broad use in moderate to severe pain. In addition, we plan to complete other clinical trials that would support Phase 3 clinical development. Core pivotal studies in the Phase 3 program could closely resemble the Phase 2 trials, with additional trials exploring the therapeutic potential more broadly. This approach may enable an NDA for a broad acute moderate to severe pain label and may also guide commercial positioning.

        We plan to initially target TRV130 for the treatment of moderate to severe, acute postoperative pain where IV administration is preferred. If our trials for this indication are successful, we believe there may be additional opportunities to expand the target indications in subsequent trials. Other potential patient populations for the eventual use of TRV130 include perioperative use, non-surgical hospitalized patients such as burn victims, end-of-life palliative care for terminally ill patients, emergency service trauma care and military applications. We may also explore other dosage forms, such as transmucosal or transdermal administration, in additional separate trials.

Commercialization

        We plan to develop and commercialize TRV130 for IV administration ourselves, if approved. We intend to build acute care commercial capabilities, initially in the United States, and to retain full U.S. rights. We may seek collaborators for commercializing TRV130 outside the United States after the availability of full Phase 2 data to offset risk and preserve capital.

92


Table of Contents

Manufacturing

        We have carried out TRV130 drug substance synthesis, performed by a third party, at a scale up to 2 kg per batch. Phase 3 synthetic process development and regulatory compliance studies are in progress. Currently we manufacture drug substance and drug product, both with third parties, at single sites, but we plan to qualify additional sites in connection with any Phase 3 trials.

Competition

        If TRV130 is approved for IV treatment of moderate to severe acute pain, it will compete with widely used, currently marketed opioid analgesics, such as morphine, hydromorphone and fentanyl. The effectiveness of these agents is limited by well-known adverse side effects, such as respiratory depression, nausea and vomiting, constipation and POI. TRV130 may also compete against Ofirmev, marketed by Mallinckrodt plc, and Exparel, marketed by Pacira Pharmaceuticals, Inc., which are reformulations of existing products and are typically used in combination with opioids.

        We are aware of a number of products in development that are aimed at improving the treatment of moderate to severe, acute postoperative pain while reducing undesirable side effects. The most advanced product candidates are reformulations of existing opioids, such as a fentanyl ionophoresis patch, in development by The Medicines Company, and sufentanil nanotab, in development by AcelRx. In addition, Cara Therapeutics Inc. is developing an IV and oral peripherally restricted k-opioid receptor agonist, which will likely be used in combination with opioids.

Intellectual property

        Our TRV130 patent portfolio is wholly owned by us. The portfolio includes one issued U.S. Patent, which claims among other things, TRV130, compositions comprising TRV130 and methods of using TRV130. The portfolio also includes one pending U.S. patent application claiming TRV130, other compounds and/or methods of making or using the same. If issued, the pending U.S. application is predicted to expire no earlier than 2032, subject to any disclaimers or extensions. A related Patent Cooperation Treaty, or PCT, application was filed and national patent applications have been filed in South Korea, the European Patent Office, the Eurasian Patent Office, Australia, Brazil, Canada, Israel, India, Japan, China, and New Zealand. Any patents resulting from these national patent applications, if issued, are expected to expire no earlier than 2032, subject to any disclaimers or extensions.

TRV734

        TRV734 is a small molecule G protein biased ligand at the µ-opioid receptor, which we are developing as a first-line, orally administered compound for the treatment of moderate to severe acute and chronic pain. Like TRV130, TRV734 takes advantage of a well-established mechanism of pain relief by targeting the µ-opioid receptor, but does so with enhanced selectivity for the G protein signaling pathway, which in preclinical studies was linked to analgesia, as opposed to the b-arrestin signaling pathway, which in preclinical studies was associated with side effects. Subject to successful preclinical and clinical development and regulatory approval, we believe TRV734 may have an improved efficacy and side effect profile as compared to current commonly prescribed oral analgesics, such as oxycodone. We have filed patent applications covering TRV734 and methods of using TRV734.

        Data from IMS Health show that opioid drug sales across the United States, Europe and Japan were approximately $11 billion in 2013. Despite widespread use, there are significant limitations to existing therapies with respect to efficacy, constipation, nausea and vomiting and respiratory depression. Dose-limiting side-effects may translate into inadequate pain control. The constipating effects of chronic opioids are particularly problematic because they do not lessen over time, while efficacy does tend to reduce over time for a particular dose level. Numerous approaches have been attempted to mitigate constipation. Laxatives, peripherally restricted opioid antagonists, such as naloxegol,

93


Table of Contents

methylnaltrexone and alvimopan, and multimodal analgesia, such as the opioid/SNRI tapentadol, are only partially effective and can raise problematic new side effects in an attempt to mitigate the adverse effects of opioid analgesics. Based on the very large market and substantial limitations confronting current analgesics, we believe a new opioid with a more precisely targeted mechanism of action and an improved therapeutic profile could provide a significant product opportunity in the acute and chronic pain markets.

Clinical experience

        We have had an active IND for TRV734 since January 2014. In 2014, we completed our first Phase 1 trial of TRV734, which tested single ascending doses and the relative bioavailability of oral TRV734 in healthy subjects. In this trial, we observed that TRV734 was pharmacologically active at a range of safe and well-tolerated doses. We believe that the data from this trial suggest that TRV734 provides dose-related exposure, speed of onset, and duration of action suitable for treating moderate to severe acute pain. TRV734 elicited dose-related increases in plasma concentrations, with peak plasma concentrations reached approximately one hour after dosing and a terminal half-life consistent with use for treating acute pain. Pupil constriction indicative of analgesia was observed at doses of 80 mg and higher, and mild-to-moderate adverse effects were reported at the maximum explored dose of 250 mg. We believe this suggests that the analgesic efficacy of TRV734 may be separable from opioid-related adverse effects. No clinically significant changes in vital signs, laboratory values or ECG parameters, and no severe or serious adverse events, were reported.

Preclinical data

        TRV734 has shown a similar profile to TRV130 in in vitro and in vivo studies. It is highly selective for the µ-opioid receptor, where, like the most powerful opioid analgesics, it is a strong agonist of G protein coupling. TRV734 is distinct from those analgesics in its very weak recruitment of b-arrestins to the µ-opioid receptor. In our preclinical studies, TRV734 showed analgesic effects in preclinical pain models similar to oxycodone and morphine. In the same studies, TRV734 caused less constipation compared to equivalently analgesic doses of oxycodone and morphine. TRV734 is active after oral administration in mice and rats, has high oral bioavailability and has been well tolerated in non-human primates.

        Based on these data and data for TRV130, we believe that TRV734 may offer an improved efficacy profile as compared to current opioid therapies or equivalent efficacy with an improved GI tolerability and respiratory safety profile.

Clinical development strategy

        We intend to seek a collaborator with experience in developing and commercializing controlled-substance therapeutics in chronic care pain markets thereby leveraging their expertise while still retaining rights to commercialize TRV734 in acute care settings, including hospitals, in the United States.

        We have completed enrollment in a second Phase 1 clinical trial, which is a multiple ascending dose trial evaluating the safety, tolerability, pharmacodynamics and pharmacokinetics of TRV734 given as a single dose and as multiple ascending doses in healthy volunteers. The trial is designed to enable Phase 2 development, and is being conducted in two parts with approximately 70 healthy volunteers randomized to participate in the trial. The first part will assess the safety, tolerability, pharmacodynamics and pharmacokinetics of single 125 mg doses of TRV734 in an open-label, randomized, three-period crossover trial in which subjects are fasted, fed a standard meal or fed a high-fat meal. This portion of the trial is designed to explore how changes in absorption may modify the performance of TRV734 and to identify the best administration paradigm for the second part of the

94


Table of Contents

trial. The second part of the trial will assess the safety, tolerability, pharmacodynamics and pharmacokinetics of multiple ascending doses of TRV734 in a double-blind, double-dummy, randomized, active- and placebo-controlled adaptive trial. Oxycodone immediate release 10 mg is used as a benchmark for a variety of pharmacodynamic measures intended to evaluate the analgesic and adverse effect profile of TRV734. We expect to release top line data for both parts of the trial early in the first quarter of 2015. We plan to continue development of TRV734 as appropriate to support a collaboration.

Manufacturing

        We have carried out TRV734 drug substance synthesis, performed by a third party, at a scale up to 2 kg per batch. A formulated tablet is being developed for Phase 2 clinical trials.

Intellectual property

        Our TRV734 patent portfolio, which is wholly owned by us, includes one pending U.S. patent application claiming TRV734, other compounds and/or methods of making or using the same. If issued, we expect the pending U.S. application will expire no earlier than 2032, subject to any disclaimers or extensions. A related PCT application was filed and national patent applications have been filed in South Korea, the European Patent Office, the Eurasian Patent Office, Australia, Brazil, Canada, Israel, India, Japan, China, and New Zealand. Any patents resulting from these national patent applications, if issued, are predicted to expire no earlier than 2032, subject to any disclaimers or extensions.

d-opioid receptor program

        We are pursuing a research program to identify a small molecule G protein biased ligand of the d-opioid receptor for the treatment of CNS disorders, which may include migraine, Parkinson's disease or neuropathic pain.

        We believe our preclinical data support targeting the d-opioid receptor for the treatment of CNS disorders. Prior approaches to modulate this receptor have been limited by a significant risk of seizure associated with this target. By contrast, we have identified potent d-opioid receptor ligands that display strong efficacy in animal models of migraine and other CNS disorders with reduced seizure liability through selectively activating G protein coupling without engaging b-arrestin. These in vivo data are further supported by data for d-agonists in b-arrestin knockout mice suggesting that b-arrestin plays a role in seizures. We expect to select a d-opioid product candidate for further development by the end of 2014. We intend to advance the product candidate to preclinical studies in 2015 designed to support our submission of an IND to the FDA, and to seek a collaborator with CNS experience to leverage their expertise in development and commercialization of a d-opioid receptor product candidate, retaining rights for any acute care indications in the United States. Phase 1 clinical trials could include electroencephalogram studies to specifically assess seizure liability.

        We have two provisional patent applications directed to compounds that modulate the d-opioid receptor. One of the applications is solely owned by us and the other is co-owned by us and Ligand Pharmaceuticals Incorporated. We have an exclusive worldwide, paid up, royalty-free license to any compound or method of use in the field of pharmaceuticals disclosed in the Ligand co-owned application. We expect that any compound that modulates the d-opioid receptor we choose to pursue under our development program would be covered by the application solely owned by us. These applications are eligible for worldwide filing and may be used to establish non-provisional applications that, if issued, are predicted to expire no earlier than 2035.

95


Table of Contents

Cardiovascular Program

TRV027

        TRV027 is a peptide b-arrestin biased ligand that targets the AT1R, inhibiting G protein signaling and activating b-arrestin signaling. We are developing TRV027 for the treatment of AHF in combination with standard diuretic therapy. In our Phase 2a clinical trial, TRV027 rapidly reduced blood pressure and preserved renal, or kidney, function, while preserving cardiac performance. We currently are enrolling patients in a Phase 2b clinical trial to evaluate the safety and efficacy of TRV027 in AHF. If our clinical development of TRV027 is successful and the product ultimately is approved by regulatory authorities, we believe TRV027 would be used as a first-line in-hospital AHF treatment. We also believe TRV027 could improve AHF symptoms, shorten length of hospital stay and potentially lower readmission rates and mortality rates after hospital discharge. U.S. patents covering the composition of matter and method of use of TRV027 have issued and are expected to expire no earlier than 2031 and 2029, respectively.

Disease

        Heart failure is the inability of the heart to supply adequate blood flow, and therefore oxygen, to peripheral tissues and organs. When the heart is failing, mechanisms are triggered by the body to maintain blood pressure and tissue perfusion. One such mechanism is the activation of the renin-angiotensin system, or RAS, of which angiotensin II is a key mediator. Through angiotensin II, RAS increases blood pressure and stimulates the kidneys to retain both sodium and water. These mechanisms maintain cardiac performance in the short term, but in the longer term, the heart must pump against higher pressure, referred to as afterload, and is overstretched when filled, referred to as preload. These effects make the failing heart pump less efficiently and lead to progressive damage to the muscular tissue of the heart.

        There are over 20 million people living with heart failure in the United States and Europe, according to the American Heart Association and the European Society of Cardiology. AHF, also sometimes referred to as acute decompensated heart failure, is heart failure requiring hospitalization. AHF patients present with fluid overload and severe dyspnea, a serious shortness of breath sometimes described as "air hunger," leading to an inability to perform simple functions such as standing and walking short distances. AHF can also lead to organ dysfunction, including in the kidneys and heart. Most patients experiencing an AHF event have a worsening of existing chronic heart failure, although an estimated 25% of AHF hospitalizations represent new diagnoses of heart failure.

        According to National Hospital Discharge Survey data, in the United States there were over 5 million hospital discharges in 2010 where heart failure was listed as a component of the diagnosis, over 1 million of which listed heart failure as the primary diagnosis. Based on national hospital discharge statistics from 25 countries in Europe, we estimate that there were a total of 1.6 million hospitalizations with a primary heart failure diagnosis in 2010 in those countries. Despite long hospital stays, up to approximately 50% of AHF patients remain symptomatic on discharge according to data from ADHERE, a national U.S. registry of over 100,000 patients admitted to the hospital with AHF between 2000 and 2005. In addition, the risk of readmission is 25% after 30 days and the one-year mortality rate is approximately 30%. Combined, these poor outcomes result in a substantial burden to the healthcare system. In 2012, the American Heart Association estimated the annual direct medical cost of treating heart failure in the United States to be almost $21 billion.

Current treatment options for AHF

        We believe there is a significant unmet medical need for improved treatments for AHF. The current approach to treating patients with AHF involves facilitating the excretion of accumulated fluid with loop diuretics like furosemide; improving hemodynamics by reducing preload and afterload blood

96


Table of Contents

pressure with vasodilators like nitroglycerin; and directly stimulating the heart to contract more forcefully with inotropes like dobutamine. None of these approaches has been robustly shown to improve patient outcomes in AHF, and each therapy has specific adverse effects that limit its clinical utility.

        The mainstay of therapy for AHF is loop diuretics, such as furosemide. In AHF patients, fluid removal is important to relieve symptoms and to improve tissue oxygenation. Furosemide facilitates excretion of excess fluid, but aggressive diuresis can lead to renal dysfunction. Worsening renal function in AHF patients is associated with higher mortality and increased risk of hospital readmission. Diuretic therapy has also been shown to precipitate activation of RAS, further exacerbating the vicious cycle of heart failure.

        After diuretics, IV vasodilators, such as nitroglycerin, nitroprusside and nesiritide, are the most common medications used for the treatment of AHF. These vasodilators effectively reduce blood pressure, but each is associated with undesirable side effects and other limitations. Hypotension, or low blood pressure, is the most common serious side effect of vasodilating agents. Nitroglycerin raises RAS, and its use is also hampered by rapid development of tolerance, such that the medication becomes less effective the longer that it is used. Nitroprusside is associated with possible cyanide toxicity and cannot be used without intensive monitoring, so its use is limited. Nesiritide is infrequently used, which we believe is due to uncertainties about its efficacy and safety.

        In severe cases, and those characterized by very low cardiac output, physicians sometimes resort to the use of inotropes, which work by increasing cardiac contractility by mobilizing calcium but at the expense of increased oxygen consumption and risk of arrhythmia. These agents can improve symptoms in the short term but have been shown to increase mortality. In addition, these drugs are only used in patients who have AHF associated with low ejection fraction. This sub-group of AHF patients represents approximately half of all patients who present for urgent AHF treatment.

        There remains an unmet need for better therapeutic approaches to treat AHF that can improve blood circulation through vasodilation, facilitate fluid excretion by the kidneys and enhance cardiac function through a novel mechanism not requiring calcium mobilization. Based on our preclinical studies and our clinical trials conducted to date, we believe TRV027 has the potential to meet this unmet need, and may prove to be more effective than currently available treatment options, reducing hospital readmission rates, mortality rates and length of hospital stay, while improving symptoms more rapidly and more completely.

Key differentiating attributes of TRV027

        We believe that TRV027, when used with current standard of care, particularly loop diuretics like furosemide,will have the following potential advantages:

    •
    Efficacy

    •
    Targets RAS, a mechanism that is central to the disease.    RAS blockade has been shown to have morbidity and mortality benefits in chronic heart failure. We believe that TRV027, if approved, could be the first therapy to bring modulation of RAS to the acute hospital setting, allowing the physician to improve blood circulation while protecting the heart and kidneys.

    •
    Benefits the three key organ systems affected by AHF.    In our preclinical studies and Phase 1b and 2a clinical trials, TRV027 has shown beneficial effects on the blood vessels, heart and kidneys. TRV027 could improve patient symptoms and outcomes by rapidly lowering afterload and preload blood pressure, sustaining cardiac output, and preserving kidney performance as a result of the lower blood pressure.

97


Table of Contents

      •
      Enhances furosemide's effects on pulmonary capillary wedge pressure.    Pulmonary capillary wedge pressure is a pharmacodynamic marker of dyspnea, a main symptom of AHF. Loop diuretics, like furosemide, facilitate excretion of excess fluid and are frequently used to manage AHF patients. Loop diuretics also activate RAS, which may compromise their ability to fully resolve symptoms, and may contribute to the estimated 50% of AHF patients who are still symptomatic at the time of discharge from the hospital. We believe that administering TRV027 in combination with furosemide may improve dyspnea directly by decreasing pressure on the heart and in the lungs and indirectly by allowing furosemide to work more effectively without the negative consequences of RAS activation.

    •
    Drug safety and tolerability

    •
    Favorable drug safety profile.    TRV027 is a small peptide that is highly specific for the angiotensin receptor, so we believe that off-target adverse effects would not be expected. In clinical trials to date, TRV027 has been well-tolerated in healthy subjects and in patients with advanced chronic congestive heart failure, in each case at doses up to 20-fold higher than the expected efficacious dose. In preclinical toxicology studies, TRV027 had a favorable profile at doses up to 500 times the expected therapeutic dose.

    •
    Self-limiting blood pressure effect.    In our Phase 2a clinical trial, there was a dose-dependent decrease in blood pressure up to doses of 1 µg/kg/min. No further reduction in blood pressure was seen at doses up to 3 µg/kg/min. We believe that this characteristic would offer a safety advantage over current vasodilators, which can cause dangerous hypotension.

    •
    Rapidly reversible effects on blood pressure.    In our three completed clinical trials, TRV027 had a very short half-life and its effects were rapidly reversible. In the acute care setting, we believe this should allow the physician to alter the dose and avoid prolonged hypotension.

    •
    Action specific to target pathophysiology.    In our three completed clinical trials, TRV027 lowered blood pressure only in subjects with elevated measures of RAS activity, the target pathophysiology. This is important for any drug that is used in emergency rooms when the initial diagnosis may be uncertain.

Clinical experience

        We have had an active IND, for TRV027 for AHF with the FDA since February 2010. Since then, we have completed three clinical trials of TRV027:

    •
    A Phase 2a clinical trial in medically fragile subjects with advanced stable heart failure, low ejection fraction and a clinical indication for right-heart catheterization. Ejection fraction is a measure of the volume of blood pumped by the heart. Right-heart catheterization is a procedure that allows measurement of intracardiac and intravascular pressures on the side of the heart leading to the lungs. This procedure is not commonly used for the treatment of AHF patients, so this trial enabled us to profile the hemodynamic effects of TRV027 in a comparatively stable chronic heart failure population that could be considered an AHF forerunner population.

    •
    A Phase 1b clinical trial in subjects with moderate heart failure and concomitant renal dysfunction. Selecting a stable population allowed us to directly measure renal plasma flow, or RPF, and glomerular filtration rate, or GFR, two common measures used to evaluate renal safety.

    •
    A Phase 1 clinical trial in healthy subjects to evaluate pharmacokinetics and tolerability prior to moving into chronic stable heart failure subjects.

98


Table of Contents

    Phase 2a hemodynamics trial in advanced stable heart failure subjects

        The primary objectives of this trial were to characterize the safety and tolerability of TRV027 in subjects with advanced stable heart failure and to measure its effects on blood circulation, also known as hemodynamics. Due to the wide dose-range available following the Phase 1 clinical trial, we elected to employ a step-wise dose titration over five hours with the dose increased to a target dose 10-fold higher than the starting dose. This highest dose was continued for nine hours as a steady state infusion, for a total infusion time of 14 hours, to evaluate the stability of TRV027's hemodynamic effects. Reversibility of TRV027's effects was then studied for four hours after the infusion was discontinued. Three dosing regimens were evaluated in 24 subjects: 0.1 µg/kg/min titrated up to 1 µg/kg/min; 0.3 µg/kg/min titrated up to 3 µg/kg/min; and 1 µg/kg/min titrated up to 10 µg/kg/min. In total, 14 different doses were studied across the three different dosing regimens. Nine additional subjects received placebo in a double blind manner. Based on the preclinical and Phase 1 data, we were expecting the hemodynamic effects of TRV027 to depend on elevation of RAS activity. The data were therefore analyzed based on plasma renin activity, or PRA, elevation, with high PRA subjects defined as those with PRA levels greater than 5.82 ng/ml/hr, which is the upper limit of lab normal range. PRA is an enzyme in the RAS cascade and measures RAS activity. Eleven of the 24 treated subjects had high PRA. We believe that these high PRA subjects represent a sicker population more relevant to AHF, and we anticipate that most AHF patients will have high PRA.

        In this trial TRV027 produced a dose-related decrease in mean arterial pressure, or MAP, in subjects with elevated PRA, as shown in Figure 9. The reduction in MAP was sustained during the steady state infusion period and reversed during the washout period following the end of the infusion. This reversal of effect was statistically significant compared to both placebo and normal PRA subjects with p-values of less than 0.01 and 0.001, respectively. The decrease in MAP in the high PRA subjects compared to subjects receiving placebo in the maintenance phase was also statistically significant, with a p-value of less than 0.05.


Figure 9: Effect of TRV027 on mean arterial pressure in advanced stable
heart failure subjects with elevated PRA

GRAPHIC

        We also observed evidence of pharmacologic effects on PCWP in the subjects with elevated PRA. PCWP dropped in subjects with high PRA during the titration phase and this was sustained during the

99


Table of Contents

maintenance phase and reversed during the wash-out phase. The interpretation of the results in the titration and maintenance phases was complicated by a baseline drift in PCWP in the placebo group, however, the increase in PCWP when the TRV027 infusion was stopped was clear and statistically significant in high PRA compared to normal PRA subjects, with a p-value of less than 0.01, as shown in Figure 10.


Figure 10: Reversal of effect of TRV027 on pulmonary capillary wedge pressure
in advanced stable heart failure subjects

GRAPHIC

        In this trial, there was no apparent change in cardiac index or heart rate observed in subjects with normal or high PRA following administration of TRV027. Cardiac index is a well accepted measurement of how well the heart is functioning as a pump by directly correlating the volume of blood pumped by the heart with an individual's body surface area. This contrasts with the response of heart failure subjects to acute administration of the angiotensin receptor blocker, or ARB, losartan, which has been shown to decrease cardiac index in some studies.

        TRV027 was well tolerated in this medically fragile population. Despite the substantial reduction in MAP in TRV027-treated high-PRA subjects, there was no apparent increase in heart rate or in levels of cystatin-C or creatinine, which are biomarkers of renal function. This suggests that the blood pressure reduction was accompanied by preservation of kidney function. This result was consistent with our observations in preclinical studies. One subject in the lowest-dose cohort in this trial experienced hypotension necessitating dose reduction and then discontinuation of the TRV027 infusion. No other TRV027-related clinically significant adverse events were reported.

    Phase 1b renal safety trial in stable chronic heart failure subjects

        The primary objective of this trial was to explore the pharmacokinetics and renal safety of TRV027, co-administered with furosemide, in 17 subjects with a history of heart failure and concomitant renal dysfunction. Two cohorts of six subjects and one cohort of five subjects were enrolled in this two-period crossover trial. All of the subjects had moderate heart failure and concomitant renal dysfunction.

        TRV027 was administered using a standard dosing paradigm, with doses of 1.25 mg/hr, 6.25 mg/hr and 31.25 mg/hr (equivalent to 0.35 µg/kg/min, 1.74 µg/kg/min and 8.68 µg/kg/min, respectively, for a 60 kg person), without weight correction. The plasma concentrations obtained were similar to those

100


Table of Contents

obtained when TRV027 was administered on a per-kg basis to subjects with normal kidney function, suggesting that a standard dosing approach with no adjustment for weight or renal impairment is appropriate, which would facilitate use in the emergency room where patients are not routinely weighed.

        TRV027 was well tolerated in these renally impaired subjects. There were no TRV027-related clinically significant or serious adverse events reported. Previously published research has shown that oral furosemide administration produces a reduction in GFR that can be inhibited by blocking the effects of elevated angiotensin II. In our trial, however, there was no effect of the single dose of furosemide on GFR or RPF; therefore, it was not possible to show a renal protective effect of TRV027. The trial did, however, show that TRV027 itself preserved GFR and RPF, before and after furosemide administration. In this trial, co-administration of TRV027 did not impair furosemide's effect on diuresis or urinary sodium excretion.

        Taken together, we believe the Phase 2a and Phase 1b clinical trials in stable chronic heart failure subjects provide evidence suggesting that TRV027 may have a beneficial effect on the heart, the blood vessels and kidney function in patients suffering from AHF, consistent with the data we had obtained in preclinical studies.

    Phase 1 clinical trial

        The Phase 1 clinical trial was a single center, crossover trial evaluating four-hour infusions of TRV027 in 20 healthy subjects at doses ranging from 0.01 to 20 µg/kg/min. The primary objective of the trial was to evaluate the tolerability and pharmacokinetics of TRV027. TRV027 was well tolerated with no serious adverse events or clinically significant adverse events reported even at doses up to 20 times higher than the expected therapeutic dose. There was a linear increase in exposure with dose and TRV027 was rapidly cleared when the infusion was stopped, suggesting that it will potentially be easy to reverse any unexpected hypotensive effects. There was no urinary excretion of TRV027 so we do not expect any dose adjustments to be required for renal insufficiency. We believe this characteristic may make TRV027 easy to use in the emergency room.

Preclinical studies

        In a paced dog animal model of heart failure, TRV027 decreased MAP and PCWP. TRV027 also increased renal blood flow and moderately increased cardiac output. In another paced dog model study, TRV027 was studied in combination with furosemide and showed additive effects on reducing PCWP, which would be consistent with beneficial effects on dyspnea in the clinic. In addition, combining the data in normal dogs, paced dogs and paced dogs treated with furosemide, we observed meaningful blood pressure decreases only in animals with elevated RAS, which is consistent with the data seen in the clinical trials and we believe provides further evidence supporting the premise that TRV027 only works in patients with the target pathophysiology. Furthermore, the dose response observed in paced dogs was consistent with that observed in subjects in the Phase 2a clinical trial.

        To examine the direct effects of TRV027 on cardiac contractility, we studied the hemodynamic effects of TRV027 compared to the unbiased ARB telmisartan in normal rats using a micromanometer conductance catheter. TRV027 treatment increased cardiac contractility independent of its effects on blood pressure, as measured by end systolic pressure volume relationship, or ESPVR, a common measure of cardiac output independent of blood pressure, and it also decreased MAP. This compared to telmisartan, which similarly decreased MAP but also decreased ESPVR (see Figure 5). Telmisartan is an unbiased ARB that inhibits both the G protein and b-arrestin AT1R pathways. In addition, in in vitro studies, TRV027 stimulated cardiomyocyte contractility through a b-arrestin dependent mechanism and selectively activated a subset of downstream signaling pathways seen with the full agonist, angiotensin II.

101


Table of Contents


Figure 10: Effect of TRV027 on MAP and cardiac contractility in normal rats

GRAPHIC

        The mechanism by which TRV027 increased cardiac contractility in in vivo studies does not appear to involve calcium mobilization seen in currently marketed inotropes. Calcium mobilization is linked to pro-arrhythmic effects. In a study we conducted in rats, a b-arrestin biased AT1R ligand closely related to TRV027 increased contractility through a myofilament calcium sensitization mechanism, a novel mechanism of cardiac contractility that does not involve calcium mobilization. In in vivo studies, this related ligand prevented hypertrophy and prevented cardiac apoptosis, suggesting a potential cardioprotective effect. Furthermore, cardiac stress in mice induces AT1R, b-arrestin-dependent cardioprotective signaling, suggesting that AT1R b-arrestin biased ligands could be potentially cardioprotective.

Clinical development strategy

        We are enrolling patients in a Phase 2b clinical trial to evaluate the safety and efficacy of TRV027 in AHF. This is a randomized double-blind, placebo controlled trial comparing TRV027 plus standard of care to standard of care alone. The primary objective of this trial is to evaluate the effects of three doses of TRV027, 1.0 mg/hr, 5.0 mg/hr and 25 mg/hr, on a composite of clinically important outcomes: mortality, worsening heart failure, hospital readmission rate, dyspnea and length of hospital stay. Our trial design contemplates that approximately 500 patients will be enrolled and randomized. We are targeting early administration of TRV027, ideally within six hours of arrival at the hospital. TRV027 will then continue to be administered for a minimum of 48 hours and up to 96 hours. We believe administration of TRV027 soon after hospital admission will improve in-hospital mortality rates and shorten length of hospital stay. We are enrolling patients with both low ejection fraction and preserved ejection fraction since RAS elevation is a key component of both conditions. We plan to conduct an interim analysis after approximately 250 patients have been enrolled and, depending on the outcome of that analysis, enrollment into one or more of the active dose groups may be discontinued. This trial has enrolled over 200 patients as of October 31, 2014 towards the objective of 500 patients. More than 65 sites in 12 countries are now open and recruiting, and patient enrollment is expected to conclude in the third quarter of 2015. Since the initiation of this trial, the data safety monitoring board for the trial has reviewed safety data from the trial on two separate occasions and has recommended each time that the trial continue administering all three doses under investigation. We expect to release top-line data from this trial in the fourth quarter of 2015.

        We believe that an endpoint measuring dyspnea or worsening of heart failure during hospitalization in Phase 3 clinical trials could form the basis for FDA approval of TRV027. However, we believe the FDA may be open to other well-defined benefit parameters, such as a hospitalization benefit or a patient and caregiver quality of life benefit. The composite endpoint tested in Phase 2b will facilitate our evaluation of potential alternative proposals to be discussed with the FDA at an end-of-Phase 2 meeting.

102


Table of Contents

Option and License Agreements with Actavis

        On May 3, 2013, we entered into an option agreement and a license agreement with Actavis plc (formerly Forest Laboratories Holdings Limited), under which we granted to Actavis an exclusive option to license TRV027. If Actavis exercises this option, the license agreement will become effective and Actavis will have an exclusive worldwide license to develop and commercialize TRV027 and specified related compounds. At our request, Actavis will consider in good faith whether to grant us the right to co-promote the licensed products in the United States under terms to be agreed upon by the parties, but it has no obligation to provide co-promotion rights to us. Actavis will be responsible for subsequent development, regulatory approval and commercialization of TRV027 at Actavis' expense.

        Under the option agreement, we will conduct, at our expense, a Phase 2b clinical trial of TRV027 in acute heart failure. The Phase 2b clinical trial will be conducted pursuant to a mutually agreed upon development plan and under the oversight of a joint development committee, which has an equal number of representatives from us and from Actavis, with operational authority during the option period retained by us, subject to Actavis' right to assume control in certain circumstances if we fail to conduct the development activities adequately.

        Actavis may exercise its option during the pendency of the Phase 2b clinical trial or during a specified time period after we deliver the data from the Phase 2b clinical trial to Actavis. During the option period, we are not permitted to negotiate for or enter into any agreement with a third party for the development and commercialization of TRV027 and its related compounds. Under specified circumstances linked to adverse changes in the market or related to the results from the Phase 2b trial of TRV027, Actavis has the right to renegotiate the terms of the license agreement. If Actavis exercises such right, we will be obligated to negotiate in good faith with Actavis for a period of time the terms of any new arrangement. If we and Actavis are unable to agree on the terms of any new arrangement, then the option agreement will terminate and for a specified period of time thereafter we may not offer a license to any third party on terms better than those last proposed either by us or by Actavis during the negotiations. If Actavis does not exercise the option during the specified period, its option will expire and the license agreement will not become effective. In that case, we would be free to enter into a collaboration arrangement with another party for the development and commercialization of TRV027 or to pursue development and commercialization on our own.

        We received no consideration upon the grant of the option to Actavis. If Actavis exercises the option, we would receive a $65 million option exercise fee and could potentially receive up to $365 million in additional payments depending upon the achievement of future development and commercial milestones. We also could receive tiered royalties between 10% and 20% on net sales of licensed products worldwide, with the royalty rates on net sales of licensed products in the United States being somewhat higher than the royalty rates on net sales of licensed products outside the United States. The term of the royalty on sales of TRV027 for a given country would extend until the latest to occur of (i) ten years from first commercial sale of TRV027 in that country, (ii) the expiration of the last to expire patent claiming TRV027 that is sufficient to block the entrance of a generic version of the product, or (iii) the expiration of any period of exclusivity granted by applicable law or any regulatory authority in such country that confers exclusive marketing rights on the product.

        If the license agreement becomes effective, Actavis has the right to grant sublicenses under the license agreement to affiliates and third parties. Any sublicensing does not act to relieve Actavis of any of its obligations under the license agreement, including Actavis' obligation to make milestone payments to us with respect to TRV027 or pay royalties to us on sales of TRV027 by such sublicensee. Under the license, both Actavis and we have the right to terminate the agreement in the event of an uncured material breach or insolvency of the other party. In addition, Actavis is permitted to terminate the license agreement without cause at any time upon prior written notice or immediately for product safety reasons. Following a termination of the license agreement, all licenses granted to Actavis would

103


Table of Contents

terminate, and Actavis would grant to us an exclusive royalty bearing license under specified patents and know-how to develop and commercialize reverted licensed products. If not terminated, the license agreement would remain in effect until the expiration of the last royalty term for the last licensed product.

Manufacturing

        TRV027 drug substance has been made by a third party at a scale up to 2 kg per batch. We are exploring potential process improvements, which we will implement as appropriate as development progresses. Currently drug substance and drug product are each manufactured at single sites, but additional sites are planned for qualification in connection with any Phase 3 clinical trials.

Commercialization

        If Actavis exercises its option to license TRV027, Actavis will have the exclusive rights to commercialize TRV027 and will be responsible for all commercialization activities at Actavis's expense. At our request, Actavis will consider in good faith whether to grant us the right to co-promote TRV027 in the United States under terms to be agreed upon by the parties, but it has no obligation to provide co-promotion rights to us. If Actavis does not exercise its option to license TRV027 and we are successful in obtaining necessary regulatory approval, we might pursue commercialization on our own or seek to collaborate with a third party for commercialization, particularly outside the United States.

Competition

        If TRV027 is approved for the indication of AHF, it will be used with standard loop diuretic therapy and may result in reduced need for vasodilators and/or inotropes. We also are aware of three product candidates in mid- to late-stage clinical development for AHF, specifically serelaxin, which is being developed by Novartis and currently is in Phase 3 clinical trials in patients with AHF; omecamtiv mecarbil, which is being developed by Amgen in collaboration with Cytokinetics Incorporated and currently is in Phase 2b clinical trials in patients with AHF and chronic heart failure; and ularitide, which is being developed by Cardiorentis and currently is in Phase 3 clinical trials for AHF. In addition, several product candidates are in mid- to late-stage clinical development for treating chronic heart failure which may, if approved, reduce the incidence of acute heart failure. These product candidates include LCZ-696 from Novartis, and Mydicar from Celladon.

Intellectual Property

        Our TRV027 patent portfolio is wholly owned by us. The portfolio includes three issued U.S. patents that claim, among other things, TRV027, compositions comprising TRV027 and methods of using TRV027, and issued patents in New Zealand and China. The issued U.S. patents covering the composition of matter and method of use of TRV027 are expected to expire no earlier than 2031 and 2019, respectively, subject to any disclaimers or extensions available under the Hatch-Waxman Act. Outside of the United States, we have pending patent applications in Australia, Canada, the European Patent Office, Hong Kong, India, and Japan that are directed to TRV027. The patents from these applications, if issued, are predicted to expire in 2029, subject to any disclaimers or extensions.

        The TRV027 patent portfolio also includes two pending U.S. patent applications, which claim a genus of compounds that would encompass TRV027 and methods of using such compounds. If the two pending U.S. patent applications were to issue, they would be expected to expire no earlier than 2029, subject to any disclaimers or extensions. Related patent applications have been filed in several other countries and are pending. Any patents resulting from these patent applications, if issued, are also expected to expire no earlier than 2029, subject to any disclaimers or extensions. Additionally, the TRV027 patent portfolio includes two U.S. provisional applications directed to, among other things, synthesis of TRV027, crystalline and amorphous forms of TRV027, and methods of preparing crystalline and amorphous forms of TRV027. Any patents resulting from these patent applications, if issued are expected to expire no earlier than 2034. The TRV027 patent portfolio is subject to Actavis' option for an exclusive license.

104


Table of Contents

Intellectual Property

        We strive to protect the proprietary technologies that we believe are important to our business, including seeking and maintaining patent protection intended to cover the composition of matter of our product candidates, their methods of use, related technology and other inventions that are important to our business. We also rely on trade secrets and careful monitoring of our proprietary information to protect aspects of our business that are not amenable to, or that we do not consider appropriate for, patent protection.

        Our success will depend significantly on our ability to obtain and maintain patent and other proprietary protection for commercially important technology, inventions and know-how related to our business, defend and enforce our patents, maintain our licenses to use intellectual property owned by third parties, preserve the confidentiality of our trade secrets and operate without infringing valid and enforceable patents and other proprietary rights of third parties. We also rely on know-how, and continuing technological innovation to develop, strengthen and maintain our proprietary position in the field of modulating G protein coupled receptors with biased ligands.

        One or more third parties may hold intellectual property, including patent rights, that is important or necessary to the development of our products. It may be necessary for us to use the patented or proprietary technology of third parties to commercialize our products, in which case we would be required to obtain a license from these third parties on commercially reasonable terms, or our business could be harmed, possibly materially. If we were not able to obtain a license, or were not able to obtain a license on commercially reasonable terms, our business could be harmed, possibly materially.

        We plan to continue to expand our intellectual property estate by filing patent applications directed to dosage forms, methods of treatment and additional biased modulators of G protein coupled receptors. We anticipate seeking patent protection in the United States and internationally for compositions of matter covering the compounds, the chemistries and processes for manufacturing these compounds and the use of these compounds in a variety of therapies.

        The patent positions of biopharmaceutical companies like us are generally uncertain and involve complex legal, scientific and factual questions. In addition, the coverage claimed in a patent application can be significantly reduced before the patent is issued, and the patent's scope can be modified after issuance. Consequently, we do not know whether any of our product candidates will be protectable or remain protected by enforceable patents. We cannot predict whether the patent applications we are currently pursuing will issue as patents in any particular jurisdiction or whether the claims of any issued patents will provide sufficient proprietary protection from competitors. Any patents that we hold may be challenged, circumvented or invalidated by third parties.

        Because many patent applications in the United States and certain other jurisdictions are maintained in secrecy for 18 months, and since publication of discoveries in the scientific or patent literature often lags behind actual discoveries, we cannot be certain that we will be able to obtain patent protection for the inventions disclosed and/or claimed in our pending patent applications. Moreover, we may have to participate in interference proceedings declared by the United States Patent and Trademark Office or a foreign patent office to determine priority of invention or in post-grant challenge proceedings, such as oppositions, inter-partes review, post grant review or a derivation proceeding, that challenge our entitlement to an invention or the patentability of one or more claims in our patent applications or issued patents. Such proceedings could result in substantial cost, even if the eventual outcome is favorable to us.

        The term of individual patents depends upon the legal term of the patents in the countries in which they are obtained. In most countries in which we file, the patent term is 20 years from the earliest date of filing a PCT application or a non-provisional patent application, subject to any disclaimers or extensions. The term of a patent in the United States can be adjusted and extended due

105


Table of Contents

to the failure of the United States Patent and Trademark Office following certain statutory and regulation deadlines for issuing a patent.

        In the United States, the patent term of a patent that covers an FDA-approved drug may also be eligible for patent term extension, which permits patent term restoration as compensation for a portion of the patent term lost during the FDA regulatory review process. The Hatch-Waxman Act permits a patent term extension of up to five years beyond the expiration of the patent. The length of the patent term extension is related to the length of time the drug is under regulatory review. Patent extension cannot extend the remaining term of a patent beyond a total of 14 years from the date of product approval and only one patent applicable to an approved drug may be extended. Similar provisions are available in Europe and other non-United States jurisdictions to extend the term of a patent that covers an approved drug. In the future, if and when our pharmaceutical products receive FDA approval, we expect to apply for patent term extensions on patents covering those products. Although, we intend to seek patent term extensions to any of our issued patents in any jurisdiction where these are available there is no guarantee that the applicable authorities, including the FDA in the United States, will agree with our assessment of whether such extensions should be granted, and even if granted, the length of such extensions.

        We also rely on trade secret protection for our confidential and proprietary information. Although we take steps to protect our proprietary information and trade secrets, including through contractual means with our employees and consultants, third parties may independently develop substantially equivalent proprietary information and techniques or otherwise gain access to our trade secrets or disclose our technology. Thus, we may not be able to meaningfully protect our trade secrets. It is our policy to require our employees, consultants, outside scientific collaborators, sponsored researchers and other advisors to execute confidentiality agreements upon the commencement of employment or consulting relationships with us. These agreements provide that all confidential information concerning our business or financial affairs developed or made known to the individual during the course of the individual's relationship with us is to be kept confidential and not disclosed to third parties except in specific circumstances. In the case of employees, the agreements provide that all inventions conceived by the individual, and which are related to our current or planned business or research and development or made during normal working hours, on our premises or using our equipment or proprietary information, are our exclusive property.

Manufacturing

        We do not have any manufacturing facilities. We currently rely, and expect to continue to rely, on third parties for the manufacture of our product candidates for preclinical and clinical testing, as well as for commercial manufacture if our product candidates receive marketing approval. At this time, none of our contract manufacturing agreements limit where, or with whom we can contract for commercial manufacture or distribution. It is our intention that by the time of any regulatory approvals for commercialization, we will have negotiated long-term commitments with at least one primary and one secondary supplier for each manufacturing and distribution function.

Commercialization

        We have not yet established a sales, marketing or product distribution infrastructure. Subject to successfully completing product development and receiving marketing approvals, we expect to commence commercialization activities for our products other than TRV027 by building a focused sales and marketing organization in the United States, initially in the acute care area. We believe that such an organization will be able to address the community of physicians who are the key specialists in treating the patient populations for which our product candidates are being developed. We further believe that this sales organization could be adapted and expanded to provide support for TRV027 in the acute care setting if Actavis does not exercise its option to license TRV027. Outside the United

106


Table of Contents

States, we expect to enter into distribution and other marketing arrangements with third parties for any of our product candidates that obtain marketing approval. We also intend to license out commercial rights for products that require a substantial primary care presence.

        We plan to build a marketing and sales management organization to create and implement marketing strategies for any products that we market through our own sales organization and oversee and support our sales force. In parallel with building this organization, we plan to develop educational initiatives with respect to approved products and relationships with thought leaders in relevant fields of medicine.

Competition

        The biotechnology and pharmaceutical industries are characterized by rapidly advancing technologies, intense competition and a strong emphasis on proprietary products. While we believe that our technology, knowledge, experience and scientific resources provide us with competitive advantages, we face potential competition from many different sources, including major pharmaceutical, specialty pharmaceutical and biotechnology companies, academic institutions and governmental agencies and public and private research institutions. Any product candidates that we successfully develop and commercialize will compete with existing therapies and new therapies that may become available in the future. Products in development by other companies may provide efficacy, safety, convenience and other benefits that are not provided by currently marketed therapies. As a result, they may provide significant competition for any of our product candidates for which we obtain marketing approval.

        Some of the companies against which we are competing or against which we may compete in the future have significantly greater financial resources and expertise in research and development, manufacturing, preclinical testing, conducting clinical trials, obtaining regulatory approvals and marketing approved products than we do. Mergers and acquisitions in the pharmaceutical, biotechnology and diagnostic industries may result in even more resources being concentrated among a smaller number of our competitors. Smaller or early stage companies may also prove to be significant competitors, particularly through collaborative arrangements with large and established companies. These competitors also compete with us in recruiting and retaining qualified scientific and management personnel and establishing clinical trial sites and patient registration for clinical trials, as well as in acquiring technologies complementary to, or necessary for, our programs.

        The key competitive factors affecting the success of all of our therapeutic product candidates, if approved, are likely to be their efficacy, safety, convenience, price, the level of generic competition and the availability of reimbursement from government and other third party payors.

        Our commercial opportunity could be reduced or eliminated if our competitors develop and commercialize products that are safer, more effective, have fewer or less severe side effects, are more convenient or are less expensive than any products that we may develop. Our competitors also may obtain FDA or other regulatory approval for their products more rapidly than we may obtain approval for ours, which could result in our competitors establishing a strong market position before we are able to enter the market. In addition, our ability to compete may be affected in many cases by insurers or other third party payors seeking to encourage the use of generic products. Generic products that broadly address these indications are currently on the market for the indications that we are pursuing, and additional products are expected to become available on a generic basis over the coming years. If our product candidates achieve marketing approval, we expect that they will be priced at a significant premium over competitive generic products.

Government Regulation and Product Approval

        Government authorities in the United States, at the federal, state and local level, and in other countries extensively regulate, among other things, the research, development, testing, manufacture,

107


Table of Contents

packaging, storage, recordkeeping, labeling, advertising, promotion, distribution, marketing, import and export of pharmaceutical products such as those we are developing. The processes for obtaining regulatory approvals in the United States and in foreign countries, along with subsequent compliance with applicable statutes and regulations, require the expenditure of substantial time and financial resources.

FDA Regulation

        In the United States, the FDA regulates drugs under the Federal Food, Drug, and Cosmetic Act, or FDCA, and its implemented regulations. The process of obtaining regulatory approvals and the subsequent compliance with applicable federal, state, local and foreign statutes and regulations requires the expenditure of substantial time and financial resources. Failure to comply with the applicable United States requirements at any time during the product development process, approval process or after approval, may subject an applicant to a variety of administrative or judicial sanctions, such as the FDA's refusal to approve pending new drug applications, or NDAs, withdrawal of an approval, imposition of a clinical hold, issuance of warning or untitled letters, product recalls, product seizures, total or partial suspension of production or distribution, injunctions, fines, refusals of government contracts, restitution, disgorgement or civil or criminal penalties.

        The process required by the FDA before a drug may be marketed in the United States generally involves the following:

    •
    completion of preclinical laboratory tests, animal studies and formulation studies in compliance with the FDA's good laboratory practice, or GLP, regulations;

    •
    submission to the FDA of an IND which must become effective before human clinical trials may begin;

    •
    approval by an independent institutional review board, or IRB, at each clinical site before each trial may be initiated;

    •
    performance of human clinical trials, including adequate and well-controlled clinical trials, in accordance with good clinical practices, or GCP, to establish the safety and efficacy of the proposed drug product for each indication;

    •
    submission to the FDA of an NDA;

    •
    completion of an FDA advisory committee review, if applicable;

    •
    satisfactory completion of an FDA inspection of the manufacturing facility or facilities at which the product is produced to assess compliance with current good manufacturing practices, or cGMP, and to assure that the facilities, methods and controls are adequate to preserve the drug's identity, strength, quality and purity, as well as satisfactory completion of an FDA inspection of selected clinical sites to determine GCP compliance;

    •
    FDA review and approval of the NDA; and

    •
    Some of our potential products are anticipated to require DEA review and scheduling activities prior to launch.

Preclinical Studies

        Preclinical studies include laboratory evaluation of drug substance chemistry, toxicity and drug product formulation, as well as animal studies to assess potential safety and efficacy. An IND sponsor must submit the results of the preclinical tests, together with manufacturing information, analytical data and any available clinical data or literature, among other things, to the FDA as part of an IND. Manufacture of drug substance, drug product and the labeling and distribution of clinical supplies must

108


Table of Contents

all comply with cGMP standards. Some preclinical testing may continue even after the IND is submitted. An IND automatically becomes effective 30 days after receipt by the FDA, unless before that time the FDA raises concerns or questions related to one or more proposed clinical trials and places the trial on a clinical hold. In such a case, the IND sponsor and the FDA must resolve any outstanding concerns before the clinical trial can begin. As a result, submission of an IND may not result in the FDA allowing clinical trials to commence.

Clinical Trials

        Clinical trials involve the administration of the investigational new drug to human subjects under the supervision of qualified investigators in accordance with GCP requirements, which include the requirement that all research subjects provide their informed consent in writing for their participation in any clinical trial. Clinical trials are conducted under protocols detailing, among other things, the objectives of the trial, the parameters to be used in monitoring safety and the effectiveness criteria to be evaluated. A protocol for each clinical trial and any subsequent protocol amendments must be submitted to the FDA as part of the IND. In addition, an IRB at each institution participating in the clinical trial must review and approve the plan for any clinical trial before it commences at that institution, and the IRB must continue to oversee the clinical trial while it is being conducted. Information about certain clinical trials must be submitted within specific timeframes to the National Institutes of Health, or NIH, for public dissemination on their ClinicalTrials.gov website.

        Human clinical trials are typically conducted in three sequential phases, which may overlap or be combined. In Phase 1, the drug is initially introduced into healthy human subjects or patients with the target disease or condition and tested for safety, dosage tolerance, absorption, metabolism, distribution, excretion and, if possible, to gain an initial indication of its effectiveness. In Phase 2, the drug typically is administered to a limited patient population to identify possible adverse effects and safety risks, to preliminarily evaluate the efficacy of the product for specific targeted diseases and to determine dosage tolerance and optimal dosage. In Phase 3, the drug is administered to an expanded patient population, generally at geographically dispersed clinical trial sites, in well-controlled clinical trials to generate enough data to statistically evaluate the efficacy and safety of the product for approval, to establish the overall risk-benefit profile of the product and to provide adequate information for the labeling of the product.

        Progress reports detailing the results of the clinical trials must be submitted at least annually to the FDA and more frequently if serious adverse events occur. Phase 1, Phase 2 and Phase 3 clinical trials may not be completed successfully within any specified period, or at all. Furthermore, the FDA or the sponsor may suspend or terminate a clinical trial at any time on various grounds, including a finding that the research subjects are being exposed to an unacceptable health risk. Similarly, an IRB can suspend or terminate approval of a clinical trial at its institution if the clinical trial is not being conducted in accordance with the IRB's requirements or if the drug has been associated with unexpected serious harm to patients.

Marketing Approval

        Assuming successful completion of the required clinical testing, the results of the preclinical and clinical studies, together with detailed information relating to the product's chemistry, manufacture, controls and proposed labeling, among other things, are submitted to the FDA as part of an NDA requesting approval to market the product for one or more indications. In most cases, the submission of an NDA is subject to a substantial application user fee. Under the Prescription Drug User Fee Act, or PDUFA, guidelines that are currently in effect, the FDA has agreed to certain performance goals regarding the timing of its review of an application.

109


Table of Contents

        In addition, under the Pediatric Research Equity Act an NDA or supplement to an NDA must contain data that are adequate to assess the safety and effectiveness of the drug for the claimed indications in all relevant pediatric subpopulations, and to support dosing and administration for each pediatric subpopulation for which the product is safe and effective. The FDA may, on its own initiative or at the request of the applicant, grant deferrals for submission of some or all pediatric data until after approval of the product for use in adults, or full or partial waivers from the pediatric data requirements.

        The FDA also may require submission of a risk evaluation and mitigation strategy, or REMS, to mitigate any identified or suspected serious risks and ensure safe use of the drug. The REMS plan could include medication guides, physician communication plans, assessment plans and elements to assure safe use, such as restricted distribution methods, patient registries or other risk minimization tools. We expect that the µ-opioid agonist products will be subject to a REMS, since currently marketed opioid products are subject to this requirement.

        The FDA conducts a preliminary review of all NDAs within the first 60 days after submission, before accepting them for filing, to determine whether they are sufficiently complete to permit substantive review. The FDA may request additional information rather than accept an NDA for filing. In this event, the application must be resubmitted with the additional information. The resubmitted application is also subject to review before the FDA accepts it for filing. Once the submission is accepted for filing, the FDA begins an in-depth substantive review. The FDA reviews an NDA to determine, among other things, whether the drug is safe and effective and whether the facility in which it is manufactured, processed, packaged or held meets standards designed to assure the product's continued safety, quality and purity.

        The FDA typically refers a question regarding a novel drug to an external advisory committee. An advisory committee is a panel of independent experts, including clinicians and other scientific experts, that reviews, evaluates and provides a recommendation as to whether the application should be approved and under what conditions. The FDA is not bound by the recommendations of an advisory committee, but it considers such recommendations carefully when making decisions.

        Before approving an NDA, the FDA typically will inspect the facility or facilities where the product is manufactured, referred to as a Pre-Approval Inspection, or PAI. The FDA will not approve an application unless it determines that the manufacturing processes and facilities are in compliance with cGMP requirements and adequate to assure consistent production of the product within required specifications. Additionally, before approving an NDA, the FDA will typically inspect one or more clinical trial sites to assure compliance with GCP.

        The testing and approval process for an NDA requires substantial time, effort and financial resources, and each may take several years to complete. Data obtained from preclinical and clinical testing are not always conclusive and may be susceptible to varying interpretations, which could delay, limit or prevent regulatory approval. The FDA may not grant approval of an NDA on a timely basis, or at all.

        After evaluating the NDA and all related information, including the advisory committee recommendation, if any, and inspection reports regarding the manufacturing facilities and clinical trial sites, the FDA may issue an approval letter, or, in some cases, a complete response letter. A complete response letter generally contains a statement of specific conditions that must be met in order to secure final approval of the NDA and may require additional clinical or preclinical testing in order for the FDA to reconsider the application. Even with submission of this additional information, the FDA ultimately may decide that the application does not satisfy the regulatory criteria for approval. If and when those conditions have been met to the FDA's satisfaction, the FDA will typically issue an approval letter. An approval letter authorizes commercial marketing of the drug with specific prescribing

110


Table of Contents

information for specific indications. For some products, an additional step of DEA review and scheduling is required.

        Even if the FDA approves a product, it may limit the approved indications for use of the product, require that contraindications, warnings or precautions be included in the product labeling, including a boxed warning, require that post-approval studies, including Phase 4 clinical trials, be conducted to further assess a drug's safety after approval, require testing and surveillance programs to monitor the product after commercialization or impose other conditions, including distribution restrictions or other risk management mechanisms under a REMS which can materially affect the potential market and profitability of the product. The FDA may prevent or limit further marketing of a product based on the results of post-marketing studies or surveillance programs. After approval, some types of changes to the approved product, such as adding new indications, manufacturing changes and additional labeling claims, are subject to further testing requirements and FDA review and approval.

Post-Approval Requirements

        Drugs manufactured or distributed pursuant to FDA approvals are subject to pervasive and continuing regulation by the FDA, including, among other things, requirements relating to recordkeeping, periodic reporting, product sampling and distribution, advertising and promotion and reporting of adverse experiences with the product. After approval, most changes to the approved product, such as adding new indications or other labeling claims are subject to prior FDA review and approval. There also are continuing, annual user fee requirements for any marketed products and the establishments at which such products are manufactured, as well as new application fees for supplemental applications with clinical data.

        The FDA may impose a number of post-approval requirements as a condition of approval of an NDA. For example, the FDA may require post-marketing testing, including Phase 4 clinical trials and surveillance to further assess and monitor the product's safety and effectiveness after commercialization.

        In addition, drug manufacturers and other entities involved in the manufacture and distribution of approved drugs are required to register their establishments with the FDA and state agencies, and are subject to periodic unannounced inspections by the FDA and these state agencies for compliance with cGMP requirements. Changes to the manufacturing process are strictly regulated and often require prior FDA approval before being implemented. FDA regulations also require investigation and correction of any deviations from cGMP and impose reporting and documentation requirements upon the sponsor and any third-party manufacturers that the sponsor may decide to use. Accordingly, manufacturers must continue to expend time, money and effort in the area of production and quality control to maintain cGMP compliance.

        Once an approval is granted, the FDA may withdraw the approval if compliance with regulatory requirements and standards is not maintained or if problems occur after the product reaches the market.

        Later discovery of previously unknown problems with a product, including adverse events of unanticipated severity or frequency, or with manufacturing processes, or failure to comply with regulatory requirements, may result in mandatory revisions to the approved labeling to add new safety information; imposition of post-market studies or clinical trials to assess new safety risks; or imposition of distribution or other restrictions under a REMS program. Other potential consequences include, among other things:

    •
    restrictions on the marketing or manufacturing of the product, complete withdrawal of the product from the market or product recalls;

    •
    fines, warning letters or holds on post-approval clinical trials;

111


Table of Contents

    •
    refusal of the FDA to approve pending NDAs or supplements to approved NDAs, or suspension or revocation of product license approvals;

    •
    product seizure or detention, or refusal to permit the import or export of products; or

    •
    injunctions or the imposition of civil or criminal penalties.

        The FDA strictly regulates marketing, labeling, advertising and promotion of products that are placed on the market. Although physicians, in the practice of medicine, may prescribe approved drugs for unapproved indications, pharmaceutical companies generally are required to promote their drug products only for the approved indications and in accordance with the provisions of the approved label. The FDA and other agencies actively enforce the laws and regulations prohibiting the promotion of off-label uses, and a company that is found to have improperly promoted off-label uses may be subject to significant liability.

        In addition, the distribution of prescription pharmaceutical products is subject to the Prescription Drug Marketing Act, or PDMA, which regulates the distribution of drugs and drug samples at the federal level, and sets minimum standards for the registration and regulation of drug distributors by the states. Both the PDMA and state laws limit the distribution of prescription pharmaceutical product samples and impose requirements to ensure accountability in distribution.

DEA Regulation

        Both TRV130 and TRV734 will be regulated as a "controlled substance" as defined in the Controlled Substances Act of 1970, or CSA, which establishes registration, security, recordkeeping, reporting, storage, distribution and other requirements administered by the DEA. The DEA is concerned with the control of handlers of controlled substances, and with the equipment and raw materials used in their manufacture and packaging, in order to prevent loss and diversion into illicit channels of commerce.

        The DEA regulates controlled substances as Schedule I, II, III, IV or V substances. Schedule I substances by definition have no established medicinal use, and may not be marketed or sold in the United States. A pharmaceutical product may be listed as Schedule II, III, IV or V, with Schedule II substances considered to present the highest risk of abuse and Schedule V substances the lowest relative risk of abuse among such substances. TRV130 and TRV734, if approved, are expected to be listed by the DEA as Schedule II controlled substances under the CSA. Consequently, their manufacture, shipment, storage, sale and use will be subject to a high degree of regulation.

        Annual registration is required for any facility that manufactures, distributes, dispenses, imports or exports any controlled substance. The registration is specific to the particular location, activity and controlled substance schedule. For example, separate registrations are needed for import and manufacturing, and each registration will specify which schedules of controlled substances are authorized.

        The DEA typically inspects a facility to review its security measures prior to issuing a registration. Security requirements vary by controlled substance schedule, with the most stringent requirements applying to Schedule I and Schedule II substances. Required security measures include background checks on employees and physical control of inventory through measures such as cages, surveillance cameras and inventory reconciliations. Records must be maintained for the handling of all controlled substances, and periodic reports made to the DEA, for example distribution reports for Schedule I and II controlled substances, Schedule III substances that are narcotics, and other designated substances. Reports must also be made for thefts or losses of any controlled substance, and to obtain authorization to destroy any controlled substance. In addition, special authorization and notification requirements apply to imports and exports.

112


Table of Contents

        In addition, a DEA quota system controls and limits the availability and production of controlled substances in Schedule I or II. Distributions of any Schedule I or II controlled substance must also be accompanied by special order forms, with copies provided to the DEA. The DEA may adjust aggregate production quotas and individual production and procurement quotas from time to time during the year, although the DEA has substantial discretion in whether or not to make such adjustments. Our, or our contract manufacturers', quota of an active ingredient may not be sufficient to meet commercial demand or complete clinical trials. Any delay or refusal by the DEA in establishing our, or our contract manufacturers', quota for controlled substances could delay or stop our clinical trials or product launches.

        To meet its responsibilities, the DEA conducts periodic inspections of registered establishments that handle controlled substances. Individual states also regulate controlled substances, and we and our contract manufacturers will be subject to state regulation with respect to the distribution of these products.

Federal and State Fraud and Abuse and Data Privacy and Security Laws and Regulations

        In addition to FDA restrictions on marketing of pharmaceutical products, federal and state fraud and abuse laws restrict business practices in the biopharmaceutical industry. These laws include anti-kickback and false claims laws and regulations as well as data privacy and security laws and regulations.

        The federal Anti-Kickback Statute prohibits, among other things, knowingly and willfully offering, paying, soliciting or receiving remuneration to induce or in return for purchasing, leasing, ordering or arranging for or recommending the purchase, lease or order of any item or service reimbursable under Medicare, Medicaid or other federal healthcare programs. The term "remuneration" has been broadly interpreted to include anything of value. The Anti-Kickback Statute has been interpreted to apply to arrangements between pharmaceutical manufacturers on one hand and prescribers, purchasers and formulary managers on the other. Although there are a number of statutory exemptions and regulatory safe harbors protecting some common activities from prosecution, the exemptions and safe harbors are drawn narrowly. Practices that involve remuneration that may be alleged to be intended to induce prescribing, purchases or recommendations may be subject to scrutiny if they do not qualify for an exemption or safe harbor. Several courts have interpreted the statute's intent requirement to mean that if any one purpose of an arrangement involving remuneration is to induce referrals of federal healthcare covered business, the statute has been violated.

        The reach of the Anti-Kickback Statute was also broadened by the Patient Protection and Affordable Care Act of 2010, as amended by the Health Care and Education Reconciliation Act of 2010, or collectively PPACA, which, among other things, amended the intent requirement of the federal Anti-Kickback Statute such that a person or entity no longer needs to have actual knowledge of this statute or specific intent to violate it in order to have committed a violation. In addition, PPACA provides that the government may assert that a claim including items or services resulting from a violation of the federal Anti-Kickback Statute constitutes a false or fraudulent claim for purposes of the civil False Claims Act or the civil monetary penalties statute, which imposes penalties against any person who is determined to have presented or caused to be presented a claim to a federal health program that the person knows or should know is for an item or service that was not provided as claimed or is false or fraudulent. PPACA also created new federal requirements for reporting, by applicable manufacturers of covered drugs of payments and other transfers of value to physicians and teaching hospitals.

113


Table of Contents

        The federal False Claims Act prohibits any person from knowingly presenting, or causing to be presented, a false claim for payment to the federal government or knowingly making, using or causing to be made or used a false record or statement material to a false or fraudulent claim to the federal government. A claim includes "any request or demand" for money or property presented to the U.S. government. Several pharmaceutical and other healthcare companies have been prosecuted under these laws for allegedly providing free product to customers with the expectation that the customers would bill federal programs for the product. Other companies have been prosecuted for causing false claims to be submitted because of the companies' marketing of products for unapproved, and thus non-reimbursable, uses.

        The federal Health Insurance Portability and Accountability Act of 1996, or HIPAA, created new federal criminal statutes that prohibit knowingly and willfully executing a scheme to defraud any healthcare benefit program, including private third-party payors and knowingly and willfully falsifying, concealing or covering up a material fact or making any materially false, fictitious or fraudulent statement in connection with the delivery of or payment for healthcare benefits, items or services. Also, many states have similar fraud and abuse statutes or regulations that apply to items and services reimbursed under Medicaid and other state programs, or, in several states, apply regardless of the payor.

        In addition, we may be subject to data privacy and security regulation by both the federal government and the states in which we conduct our business. HIPAA, as amended by the Health Information Technology and Clinical Health Act, or HITECH, and their respective implementing regulations, including the final omnibus rule published on January 25, 2013, imposes specified requirements relating to the privacy, security and transmission of individually identifiable health information. Among other things, HITECH makes HIPAA's privacy and security standards directly applicable to "business associates," defined as independent contractors or agents of covered entities that create, receive, maintain or transmit protected health information in connection with providing a service for or on behalf of a covered entity. HITECH also increased the civil and criminal penalties that may be imposed against covered entities, business associates and possibly other persons, and gave state attorneys general new authority to file civil actions for damages or injunctions in federal courts to enforce the federal HIPAA laws and seek attorney's fees and costs associated with pursuing federal civil actions. In addition, state laws govern the privacy and security of health information in certain circumstances, many of which differ from each other in significant ways and may not have the same effect, thus complicating compliance efforts.

        Because of the breadth of these laws and the narrowness of available statutory and regulatory exemptions, it is possible that some of our business activities could be subject to challenge under one or more of such laws. If our operations are found to be in violation of any of the federal or state laws described above or any other governmental regulations that apply to us, we may be subject to penalties, including criminal and significant civil monetary penalties, damages, fines, imprisonment, exclusion from participation in government healthcare programs, and the curtailment or restructuring of our operations, any of which could adversely affect our ability to operate our business and our results of operations. To the extent that any of our products are sold in a foreign country, we may be subject to similar foreign laws and regulations, which may include, for instance, applicable post-marketing requirements, including safety surveillance, anti-fraud and abuse laws, and implementation of corporate compliance programs and reporting of payments or transfers of value to healthcare professionals.

Coverage and Reimbursement

        The commercial success of our product candidates and our ability to commercialize any approved product candidates successfully will depend in part on the extent to which governmental payor programs at the federal and state levels, including Medicare and Medicaid, private health insurers and other third-party payors provide coverage for and establish adequate reimbursement levels for our

114


Table of Contents

product candidates. Government health administration authorities, private health insurers and other organizations generally decide which drugs they will pay for and establish reimbursement levels for healthcare. In particular, in the United States, private health insurers and other third-party payors often provide reimbursement for products and services based on the level at which the government provides reimbursement through the Medicare or Medicaid programs for such treatments. In the United States, the European Union and other potentially significant markets for our product candidates, government authorities and third-party payors are increasingly attempting to limit or regulate the price of medical products and services, particularly for new and innovative products and therapies, which often has resulted in average selling prices lower than they would otherwise be. Further, the increased emphasis on managed healthcare in the United States and on country and regional pricing and reimbursement controls in the European Union will put additional pressure on product pricing, reimbursement and usage, which may adversely affect our future product sales and results of operations. These pressures can arise from rules and practices of managed care groups, judicial decisions and governmental laws and regulations related to Medicare, Medicaid and healthcare reform, pharmaceutical coverage and reimbursement policies and pricing in general.

        Third-party payors are increasingly imposing additional requirements and restrictions on coverage and limiting reimbursement levels for medical products. For example, federal and state governments reimburse covered prescription drugs at varying rates generally below average wholesale price. These restrictions and limitations influence the purchase of healthcare services and products. Third-party payors may limit coverage to specific drug products on an approved list, or formulary, which might not include all of the FDA-approved drug products for a particular indication. Third-party payors are increasingly challenging the price and examining the medical necessity and cost-effectiveness of medical products and services, in addition to their safety and efficacy. We may need to conduct expensive pharmacoeconomic studies in order to demonstrate the medical necessity and cost-effectiveness of our products, in addition to the costs required to obtain the FDA approvals. Our product candidates may not be considered medically necessary or cost-effective. A payor's decision to provide coverage for a drug product does not imply that an adequate reimbursement rate will be approved. Adequate third-party reimbursement may not be available to enable us to maintain price levels sufficient to realize an appropriate return on our investment in drug development. Legislative proposals to reform healthcare or reduce costs under government insurance programs may result in lower reimbursement for our products and product candidates or exclusion of our products and product candidates from coverage. The cost containment measures that healthcare payors and providers are instituting and any healthcare reform could significantly reduce our revenue from the sale of any approved product candidates. We cannot provide any assurances that we will be able to obtain and maintain third-party coverage or adequate reimbursement for our product candidates in whole or in part.

Impact of Healthcare Reform on Coverage, Reimbursement and Pricing

        The United States and some foreign jurisdictions are considering enacting or have enacted a number of additional legislative and regulatory proposals to change the healthcare system in ways that could affect our ability to sell our products profitably. Among policy makers and payors in the United States and elsewhere, there is significant interest in promoting changes in healthcare systems with the stated goals of containing healthcare costs, improving quality and expanding access. In the United States, the pharmaceutical industry has been a particular focus of these efforts and has been significantly affected by major legislative initiatives. For example, the Medicare Prescription Drug, Improvement, and Modernization Act of 2003, or the MMA, imposed new requirements for the distribution and pricing of prescription drugs for Medicare beneficiaries. Under Part D, Medicare beneficiaries may enroll in prescription drug plans offered by private entities that provide coverage of outpatient prescription drugs. Part D plans include both standalone prescription drug benefit plans and prescription drug coverage as a supplement to Medicare Advantage plans. Unlike Medicare Part A and B, Part D coverage is not standardized. Part D prescription drug plan sponsors are not required to pay

115


Table of Contents

for all covered Part D drugs, and each drug plan can develop its own drug formulary that identifies which drugs it will cover and at what tier or level. However, Part D prescription drug formularies must include drugs within each therapeutic category and class of covered Part D drugs, though not necessarily all the drugs in each category or class. Any formulary used by a Part D prescription drug plan must be developed and reviewed by a pharmacy and therapeutic committee. Government payment for some of the costs of prescription drugs may increase demand for any products for which we receive marketing approval. However, any negotiated prices for our future products covered by a Part D prescription drug plan will likely be lower than the prices we might otherwise obtain. Moreover, while the MMA applies only to drug benefits for Medicare beneficiaries, private payors often follow Medicare coverage policy and payment limitations in setting their own payment rates. Any reduction in payment that results from Medicare Part D may result in a similar reduction in payments from non-governmental payors.

        The American Recovery and Reinvestment Act of 2009 provides funding for the federal government to compare the effectiveness of different treatments for the same illness. A plan for the research will be developed by the Department of Health and Human Services, the Agency for Healthcare Research and Quality and the National Institutes of Health, and periodic reports on the status of the research and related expenditures will be made to Congress. Although the results of the comparative effectiveness studies are not intended to mandate coverage policies for public or private payors, it is not clear what effect, if any, the research will have on the sales of any product, if any such product or the condition that it is intended to treat is the subject of a study. It is also possible that comparative effectiveness research demonstrating benefits in a competitor's product could adversely affect the sales of our product candidates. If third-party payors do not consider our product candidates to be cost-effective compared to other available therapies, they may not cover our product candidates, once approved, as a benefit under their plans or, if they do, the level of payment may not be sufficient to allow us to sell our products on a profitable basis.

        PPACA became law in March 2010 and substantially changes the way healthcare is financed by both governmental and private insurers. Among other cost containment measures, the PPACA establishes an annual, nondeductible fee on any entity that manufactures or imports specified branded prescription drugs and biologic agents; a new Medicare Part D coverage gap discount program; and a new formula that increases the rebates a manufacturer must pay under the Medicaid Drug Rebate Program. In the future, there may continue to be additional proposals relating to the reform of the U.S. healthcare system, some of which could further limit the prices we are able to charge for our product candidates, once approved, or the amounts of reimbursement available for our product candidates once they are approved.

        In addition, other legislative changes have been proposed and adopted since PPACA was enacted. In August 2011, the President signed into law the Budget Control Act of 2011, as amended, which, among other things, created the Joint Select Committee on Deficit Reduction to propose spending reductions to Congress. The Joint Select Committee on Deficit Reduction did not achieve its targeted deficit reduction of at least $1.2 trillion for the years 2013 through 2021, triggering the legislation's automatic reductions to several government programs. These reductions include aggregate reductions to Medicare payments to providers of 2% per fiscal year, which went into effect on April 1, 2013, and will remain in effect through 2024 unless additional Congressional action is taken. In January 2013, President Obama signed into law the American Taxpayer Relief Act of 2012, which, among other things, further reduced Medicare payments to several providers and increased the statute of limitations period for the government to recover overpayments to providers from three to five years. These and other healthcare reform initiatives may result in additional reductions in Medicare and other healthcare funding.

116


Table of Contents

Exclusivity and Approval of Competing Products

Hatch-Waxman Patent Exclusivity

        In seeking approval for a drug through an NDA, applicants are required to list with the FDA each patent with claims that cover the applicant's product or a method of using the product. Upon approval of a drug, each of the patents listed in the application for the drug is then published in the FDA's Approved Drug Products with Therapeutic Equivalence Evaluations, commonly known as the Orange Book. Drugs listed in the Orange Book can, in turn, be cited by potential competitors in support of approval of an abbreviated new drug application, or ANDA, or 505(b)(2) NDA. Generally, an ANDA provides for marketing of a drug product that has the same active ingredients in the same strengths, dosage form and route of administration as the listed drug and has been shown to be bioequivalent through in vitro or in vivo testing or otherwise to the listed drug. ANDA applicants are not required to conduct or submit results of preclinical or clinical tests to prove the safety or effectiveness of their drug product, other than the requirement for bioequivalence testing. Drugs approved in this way are commonly referred to as "generic equivalents" to the listed drug, and can often be substituted by pharmacists under prescriptions written for the original listed drug. 505(b)(2) NDAs generally are submitted for changes to a previously approved drug product, such as a new dosage form or indication.

        The ANDA or 505(b)(2) NDA applicant is required to certify to the FDA concerning any patents listed for the approved product in the FDA's Orange Book, except for patents covering methods of use for which the ANDA applicant is not seeking approval. Specifically, the applicant must certify with respect to each patent that:

    •
    the required patent information has not been filed;

    •
    the listed patent has expired;

    •
    the listed patent has not expired, but will expire on a particular date and approval is sought after patent expiration; or

    •
    the listed patent is invalid, unenforceable or will not be infringed by the new product.

        Generally, the ANDA or 505(b)(2) NDA cannot be approved until all listed patents have expired, except when the ANDA or 505(b)(2) NDA applicant challenges a listed drug. A certification that the proposed product will not infringe the already approved product's listed patents or that such patents are invalid or unenforceable is called a Paragraph IV certification. If the applicant does not challenge the listed patents or indicate that it is not seeking approval of a patented method of use, the ANDA or 505(b)(2) NDA application will not be approved until all the listed patents claiming the referenced product have expired.

        If the ANDA or 505(b)(2) NDA applicant has provided a Paragraph IV certification to the FDA, the applicant must also send notice of the Paragraph IV certification to the NDA and patent holders once the application has been accepted for filing by the FDA. The NDA and patent holders may then initiate a patent infringement lawsuit in response to the notice of the Paragraph IV certification. The filing of a patent infringement lawsuit within 45 days after the receipt of notice of the Paragraph IV certification automatically prevents the FDA from approving the ANDA or 505(b)(2) NDA until the earlier of 30 months, expiration of the patent, settlement of the lawsuit or a decision in the infringement case that is favorable to the ANDA applicant.

Hatch-Waxman Non-Patent Exclusivity

        Market and data exclusivity provisions under the FDCA also can delay the submission or the approval of certain applications for competing products. The FDCA provides a five-year period of non-patent data exclusivity within the United States to the first applicant to gain approval of an NDA for a new chemical entity. A drug is a new chemical entity if the FDA has not previously approved any

117


Table of Contents

other new drug containing the same active moiety, which is the molecule or ion responsible for the activity of the drug substance. During the exclusivity period, the FDA may not accept for review an ANDA or a 505(b)(2) NDA submitted by another company that contains the previously approved active moiety. However, an ANDA or 505(b)(2) NDA may be submitted after four years if it contains a certification of patent invalidity or noninfringement.

        The FDCA also provides three years of marketing exclusivity for an NDA, 505(b)(2) NDA, or supplement to an existing NDA or 505(b)(2) NDA if new clinical investigations, other than bioavailability studies, that were conducted or sponsored by the applicant, are deemed by the FDA to be essential to the approval of the application or supplement. Three-year exclusivity may be awarded for changes to a previously approved drug product, such as new indications, dosages, strengths or dosage forms of an existing drug. This three-year exclusivity covers only the conditions of use associated with the new clinical investigations and, as a general matter, does not prohibit the FDA from approving ANDAs or 505(b)(2) NDAs for generic versions of the original, unmodified drug product. Five-year and three-year exclusivity will not delay the submission or approval of a full NDA; however, an applicant submitting a full NDA would be required to conduct or obtain a right of reference to all of the preclinical studies and adequate and well-controlled clinical trials necessary to demonstrate safety and effectiveness.

Pediatric Exclusivity

        Pediatric exclusivity is another type of non-patent marketing exclusivity in the United States and, if granted, provides for the attachment of an additional six months of marketing protection to the term of any existing regulatory exclusivity, including the non-patent exclusivity periods described above. This six-month exclusivity may be granted if an NDA sponsor submits pediatric data that fairly respond to a written request from the FDA for such data. The data do not need to show the product to be effective in the pediatric population studied; rather, if the clinical trial is deemed to fairly respond to the FDA's request, the additional protection is granted. If reports of requested pediatric studies are submitted to and accepted by FDA within the statutory time limits, whatever statutory or regulatory periods of exclusivity or Orange Book listed patent protection cover the drug are extended by six months. This is not a patent term extension, but it effectively extends the regulatory period during which the FDA cannot approve an ANDA or 505(b)(2) application owing to regulatory exclusivity or listed patents. When any of our products is approved, we anticipate seeking pediatric exclusivity when it is appropriate.

Foreign Regulation

        In order to market any product outside of the United States, we would need to comply with numerous and varying regulatory requirements of other countries regarding safety and efficacy and governing, among other things, clinical trials, marketing authorization, commercial sales and distribution of our products. For example, in the European Union, we must obtain authorization of a clinical trial application, or CTA, in each member state in which we intend to conduct a clinical trial. Whether or not we obtain FDA approval for a product, we would need to obtain the necessary approvals by the comparable regulatory authorities of foreign countries before we can commence clinical trials or marketing of the product in those countries. The approval process varies from country to country and can involve additional product testing and additional administrative review periods. The time required to obtain approval in other countries might differ from and be longer than that required to obtain FDA approval. Regulatory approval in one country does not ensure regulatory approval in another, but a failure or delay in obtaining regulatory approval in one country may negatively impact the regulatory process in others.

118


Table of Contents

Employees

        As of September 30, 2014, we had 39 employees, all of whom are located in the United States. None of our employees are represented by a labor union or covered by a collective bargaining agreement. We consider our relationship with our employees to be good.

Facilities

        Our principal offices occupy approximately 14,550 square feet of leased office and laboratory space in King of Prussia, Pennsylvania pursuant to a lease agreement that expires in September 2020. In addition, we lease a vivarium space in Exton, Pennsylvania pursuant to a lease agreement that expires in August 2015. We believe that our current facilities are suitable and adequate to meet our current needs. We intend to add new facilities or expand our existing facilities as we add employees, and we believe that suitable additional or substitute space at our current location will be available as needed to accommodate any such expansion of our operations.

Legal Proceedings

        From time to time, we are subject to litigation and claims arising in the ordinary course of business. We are not currently a party to any material legal proceedings and we are not aware of any pending or threatened legal proceeding against us that we believe could have a material adverse effect on our business, operating results or financial condition.

119


Table of Contents


MANAGEMENT

Directors and Executive Officers

        The following table sets forth information concerning our directors and executive officers, including their ages as of October 31, 2014:

Name
  Age   Position

Executive Officers:

         

Maxine Gowen, Ph.D. 

    56   President, Chief Executive Officer and Director

Roberto Cuca

    47   Senior Vice President and Chief Financial Officer

Rosamond Deegan

    41   Senior Vice President, Business Development and Operations

Michael W. Lark, Ph.D. 

    57   Chief Scientific Officer and Senior Vice President, Research

John M. Limongelli, Esq. 

    45   Senior Vice President, General Counsel and Corporate Secretary

David Soergel, M.D. 

    47   Senior Vice President, Clinical Development

Non-Management Directors:

         

Leon O. Moulder, Jr. 

    57   Chairman of the Board

Farah Champsi

    53   Director

Michael R. Dougherty

    56   Director

Adam M. Koppel, M.D., Ph.D.

    44   Director

Julie H. McHugh

    50   Director

Francois Nader, M.D. 

    58   Director

Jake R. Nunn

    44   Director

Barbara Yanni

    60   Director

Executive Officers

Maxine Gowen, Ph.D.

        Dr. Gowen has served as our President and Chief Executive Officer and as a member of our board of directors since our founding in November 2007. Prior to joining our company, Dr. Gowen was Senior Vice President for the Center of Excellence for External Drug Discovery at GlaxoSmithKline plc, or GSK, where she held a variety of leadership positions during her tenure of 15 years. Before GSK, Dr. Gowen was Senior Lecturer and Head, Bone Cell Biology Group, Department of Bone and Joint Medicine, of the University of Bath, U.K. Dr. Gowen has served as a director of Akebia Therapeutics, Inc. since July 2014. From 2008 until 2012, Dr. Gowen served as a director of Human Genome Sciences, Inc., a public biopharmaceutical company. She received her Ph.D. from the University of Sheffield, U.K., an M.B.A. with academic honors from The Wharton School of the University of Pennsylvania, and a B.Sc. with Honors in Biochemistry from the University of Bristol, U.K. Our board of directors believes that Dr. Gowen's detailed knowledge of our company and her over 20 years in the pharmaceutical industry, including her roles at GSK, provide a critical contribution to our board of directors.

Roberto Cuca

        Mr. Cuca joined our company as Senior Vice President and Chief Financial Officer in September 2013. Prior to joining us, he held various leadership positions in the finance organization of Endo Health Solutions Inc., a pharmaceutical company, from March 2010 to August 2013, including, most recently, Treasurer and Senior Vice President, Finance. Prior to that, he was Director, Corporate and Business Development, at moksha8 Pharmaceuticals, Inc., an emerging markets-focused pharmaceutical company, from March 2008 until February 2010. From 2005 until 2008, he worked at JPMorgan Chase & Co. as an equity analyst covering U.S. pharmaceutical companies. Mr. Cuca received an

120


Table of Contents

M.B.A. from the Wharton School of The University of Pennsylvania, a J.D. from Cornell Law School and an A.B. from Princeton University, and he is a CFA charterholder.

Rosamond Deegan

        Ms. Deegan has served in multiple positions since joining our company in March 2008 and currently serves as our Senior Vice President, Business Development and Operations, a position she has held since December 2013. Prior to joining our company, she held a variety of positions during a tenure at GSK beginning in 2001 and ending in 2008, most recently serving in the role of Director, Business Development. Before GSK, Ms. Deegan was a Senior Consultant at KPMG in their healthcare management consulting practice from 1998 to 2000. Ms. Deegan received an M.B.A. from INSEAD and an M.Phil and B.A. from Cambridge University.

Michael W. Lark, Ph.D.

        Dr. Lark has served in a number of capacities with our company since February 2008, and currently serves as our Chief Scientific Officer and Senior Vice President, Research, a position he has held since March 2011. Prior to joining our company, he was Vice President of Biology at Centocor Inc., a division of Johnson & Johnson, or Centocor, from 2004 until 2008 and the Senior Director of Cardiovascular and Metabolic Diseases at Centocor from 2002 to 2004. Prior to that, Dr. Lark was Director of Musculoskeletal Diseases at GSK, from 1999 until 2002. Dr. Lark received his Ph.D. in Molecular Biology and Microbiology from the Case Western Reserve University Medical School and his B.S. in Microbiology from the Pennsylvania State University.

John M. Limongelli, Esq.

        Mr. Limongelli joined our company as Senior Vice President, General Counsel and Corporate Secretary in May 2014. Prior to that, he was Vice President, Associate Chief Counsel and Corporate Secretary at Cigna Corporation from September 2013 until May 2014. From October 2012 to September 2013, he was a partner at the law firm Royer Cooper Cohen Braunfeld LLC. He served as Senior Vice President, General Counsel and Secretary at Adolor Corporation from September 2008 until Adolor's sale to Cubist Pharmaceuticals, Inc. in December 2011. Prior to Adolor, Mr. Limongelli held roles of increasing responsibility with Cephalon, Inc., most recently serving as Vice President and Associate General Counsel. Mr. Limongelli began his legal career in private practice with Morgan, Lewis & Bockius, LLP, in Philadelphia, Pennsylvania. Prior to his legal career, Mr. Limongelli was a certified public accountant with KPMG LLP. Mr. Limongelli obtained both his J.D. and M.B.A. from Temple University.

David Soergel, M.D.

        Dr. Soergel has served in multiple positions since joining our company in November 2009 and currently serves as our Senior Vice President, Clinical Development, a position he has held since September 2012. Prior to joining our company, he served as Senior Director, Clinical Development for Concert Pharmaceuticals, Inc., a biotechnology company, from July 2008 to November 2009. Prior to Concert, Dr. Soergel served as Director, Discovery Medicine, in the Cardiovascular Urogenital Center of Excellence in Drug Discovery at GSK, from 2005 until 2008. Dr. Soergel received an M.D. from Cornell University Medical College and a B.A. from The Johns Hopkins University. Dr. Soergel completed his clinical training in pediatric cardiology at Johns Hopkins Hospital and underwent additional training in heart failure and transplant at the Children's Hospital of Philadelphia.

121


Table of Contents

Non-Management Directors

Leon O. Moulder, Jr.

        Mr. Moulder has served as a member of our board of directors since November 2011 and as Chairman of our board of directors since June 2013. Since June 2010, Mr. Moulder has served as Chief Executive Officer and a member of the board of directors of TESARO, Inc., or TESARO, a public biopharmaceutical company. From April 2009 to January 2010, Mr. Moulder served as Vice Chairman, President and Chief Executive Officer of Abraxis BioScience, Inc., or Abraxis, a biotechnology company. Before that, Mr. Moulder served as Vice Chairman of Eisai Corporation, North America, or Eisai, a pharmaceutical company and wholly owned subsidiary of Eisai Co., Ltd., a Japanese pharmaceutical company, from January 2008 until January 2009, after Eisai acquired MGI PHARMA, Inc., a biopharmaceutical company, where he had served as President and Chief Executive Officer since May 2003. Mr. Moulder currently serves on the board of directors of Cubist Pharmaceuticals, Inc. and also serves on the Board of Trustees of Temple University as well as the Board of Visitors of the Temple University School of Pharmacy. Our board of directors believes that Mr. Moulder's significant operational and senior management experience in the pharmaceutical and biotechnology industries, as well as his extensive experience serving on boards of directors of public and private companies in the life sciences industry, allow him to make valuable contributions to the board.

Farah Champsi

        Ms. Champsi has served as a member of our board of directors since January 2008. Ms. Champsi joined Alta Partners, a venture capital firm, in 2000 and serves as Managing Director where she focuses her efforts on biopharmaceutical companies. Ms. Champsi also serves on the boards of directors of Chimerix, Inc., a biopharmaceutical company, and two private companies. Prior to Alta Partners, Ms. Champsi served as an investment banker at Robertson Stephens & Company from 1987 to 1999 and was elected as a general partner in 1992 and head of the global life sciences investment banking group in 1995. Ms. Champsi earned an M.B.A. from the Stanford University Graduate School of Business and a B.A. in Economics from Smith College. Our board of directors believes that Ms. Champsi's experience and expertise in investment banking in biopharmaceutical companies, as well as being responsible for building successful life sciences investment banking franchises, allows her to make valuable contributions to the board.

Michael R. Dougherty

        Mr. Dougherty has served as a member of our board of directors since August 2013. Mr. Dougherty was Chief Executive Officer and a member of the board of directors of Kalidex Pharmaceuticals, Inc., from May 2012 to October 2012. Mr. Dougherty was the President and Chief Executive Officer of Adolor Corporation, or Adolor, a biopharmaceutical company, and was a member of the board of directors of Adolor from December 2006 until December 2011. Mr. Dougherty joined Adolor as Senior Vice President of Commercial Operations in November 2002, and until his appointment as President and Chief Executive Officer in December 2006, served in a number of capacities, including Chief Operating Officer and Chief Financial Officer. From November 2000 to November 2002, Mr. Dougherty was President and Chief Operating Officer of Genomics Collaborative, Inc. Previously, Mr. Dougherty served in a variety of senior positions at Genaera Corporation, a biotechnology company, including President and Chief Executive Officer, and at Centocor. Mr. Dougherty is currently on the board of directors at Biota Pharmaceuticals, Inc., Cempra, Inc. and Celator Pharmaceuticals, Inc. Mr. Dougherty received a B.S. from Villanova University. Our board of directors believes that Mr. Dougherty's deep understanding of biotechnology finance, research and development, sales and marketing, strategy and operations allows him to make valuable contributions to the board.

122


Table of Contents

Adam M. Koppel, M.D., Ph.D.

        Dr. Koppel has served as a member of our board of directors since September 2014. Dr. Koppel has been Senior Vice President and Chief Strategy Officer at Biogen Idec since May 2014. Before that he was a managing director at Brookside Capital, the public equity affiliate of Bain Capital, beginning in 2003. Prior to Brookside Capital, he was an associate principal of the McKinsey Healthcare Practice. He is currently on the board of directors of PTC Therapeutics. Dr. Koppel earned an M.B.A from the University of Pennsylvania's Wharton School, an M.D. and a Ph.D. in Molecular Neurobiology from the University of Pennsylvania's medical and graduate schools, and an M.A. and B.A. in history and science from Harvard College. The board of directors believes that Dr. Koppel's strategic insight, extensive experience as an investor in public healthcare companies, and knowledge as a physician and scientist allow him to make valuable contributions to the board.

Julie H. McHugh

        Ms. McHugh has served as a member of our board of directors since July 2014. Ms. McHugh was Chief Operating Officer of Endo Health Solutions Inc. from March 2010 to May 2013, and since May 2013 she has provided consulting services to companies in the pharmaceuticals industry. Prior to that, from September 2008 to September 2009, she served as Chief Executive Officer of Nora Therapeutics, Inc., a private biotechnology company. From 2006 to 2008 she was Company Group Chairman for Johnson & Johnson's worldwide virology business unit and from 2004 to 2006 she was President of Centocor, Inc., a Johnson & Johnson subsidiary. Ms. McHugh has served on the boards of directors of Ironwood Pharmaceuticals, Inc. and EPIRUS Biopharmaceuticals Inc., both public pharmaceutical companies, since February 2014 and July 2014, respectively. Ms. McHugh also serves on the board of directors of Xellia Pharmaceuticals, a private specialty pharmaceutical company. The board of directors believes that Ms. McHugh's deep knowledge of biotechnology strategy, operations, research and development, and sales and marketing allows her to make valuable contributions to the board.

Francois Nader, M.D.

        Dr. Nader has served as a member of our board of directors since January 2014. Dr. Nader has been an employee of NPS Pharmaceuticals, Inc., or NPS, since June 2006, and has served as a member of NPS's board of directors since January 2008 and as President and Chief Executive Officer of NPS since March 2008. Before joining NPS, Dr. Nader was a venture partner at Care Capital, LLC, where he served as Chief Medical Officer of its Clinical Development Capital unit from July 2005 to June 2006. From 2000 to 2004, he served as Senior Vice President, Integrated Healthcare Markets and Senior Vice President, North America Medical and Regulatory Affairs with Aventis Pharmaceuticals, Inc. He also held similar positions at Hoechst Marion Roussel Inc. and served as Head of Global Commercial Operations at the Pasteur Vaccines division of Rhone-Poulenc SA. Dr. Nader is a trustee and treasurer of BioNJ, a trade association representing the biotechnology industry in New Jersey, and a trustee of the Healthcare Institute of New Jersey, a trade association for the research-based pharmaceutical and medical technology industry in New Jersey. Dr. Nader received a French State Doctorate in Medicine from St. Joseph University (Lebanon) and a Physician Executive M.B.A. from the University of Tennessee. Our board of directors believes that Dr. Nader's significant operational and senior management experience in the pharmaceutical and biotechnology industries, as well as his extensive scientific and investment experience, allow him to make valuable contributions to the board.

Jake R. Nunn

        Mr. Nunn has served as a member of our board of directors since July 2013. Mr. Nunn has been a Partner at New Enterprise Associates, Inc., a venture capital firm, since 2006. From January 2001 to

123


Table of Contents

June 2006, Mr. Nunn served as a Partner and an analyst for the MPM BioEquities Fund, a public life sciences fund at MPM Capital, L.P., a private equity firm. Previously, Mr. Nunn was a healthcare research analyst and portfolio manager at Franklin Templeton Investments and an investment banker with Alex, Brown & Sons. Mr. Nunn is currently on the boards of directors at Hyperion Therapeutics, Inc., Transcept Pharmaceuticals, Inc. and three private companies. Mr. Nunn received an M.B.A. from the Stanford University Graduate School of Business and an A.B. in Economics from Dartmouth College. Mr. Nunn holds the Chartered Financial Analyst designation, and is a member of the CFA Society of San Francisco. The board of directors believes that Mr. Nunn's experience in investing in life sciences, later-stage specialty pharmaceuticals, biotechnology and medical device investments, as well as his business and educational background, allows him to make valuable contributions to the board.

Barbara Yanni

        Ms. Yanni has served as a member of our board of directors since July 2014. Ms. Yanni was Vice President and Chief Licensing Officer at Merck & Co., a pharmaceutical company, from November 2001 until her retirement in March 2014. Prior to this, Ms. Yanni served in various roles at Merck including in corporate development, financial evaluation, and tax. Ms. Yanni earned a J.D. from Stanford Law School and an A.B. from Wellesley College. She also holds a Masters of Law in Taxation from New York University. The board believes that Ms. Yanni's extensive experience in biotechnology and pharmaceutical business evaluation and transaction execution, as well as her financial and general business knowledge allow her to make significant contributions to the board.

Family Relationships

        There are no family relationships among any of our directors or executive officers.

Board Composition

        Our board of directors currently consists of nine members and is divided into three classes which serve staggered three-year terms. At each annual meeting of stockholders, the successors to directors whose terms then expire will be elected to serve from the time of election and qualification until the third annual meeting following election. Our directors are divided among the three classes as follows:

    •
    Class I, which consists of Ms. Champsi, Dr. Koppel and Ms. Yanni, whose terms will expire at our 2017 annual meeting of stockholders;

    •
    Class II, which consists of Dr. Gowen, Ms. McHugh and Mr. Nunn, whose terms will expire at our 2015 annual meeting of stockholders; and

    •
    Class III, which consists of Messrs. Dougherty and Moulder and Dr. Nader, whose terms will expire at our 2016 annual meeting of stockholders.

        Our amended and restated bylaws provide that the authorized number of directors may be changed only by resolution approved by a majority of our board of directors. Any additional directorships resulting from an increase in the number of directors will be distributed among the three classes so that, as nearly as possible, each class will consist of one-third of the directors.

        The division of our board of directors into three classes with staggered three-year terms may delay or prevent a change of our management or a change in control.

Director Independence

        Our board of directors has undertaken a review of the independence of the directors and considered whether any director has a material relationship with us that could compromise his or her

124


Table of Contents

ability to exercise independent judgment in carrying out his or her responsibilities. As a result of this review, our board of directors has determined that Drs. Koppel and Nader, Messrs. Dougherty, Nunn and Moulder and Mses. Champsi, McHugh and Yanni, representing eight of our nine directors, are "independent directors" as defined under applicable stock exchange rules.

Committees of the Board of Directors

        Our board of directors has established an audit committee, a compensation committee and a nominating and corporate governance committee, each of which has the composition and responsibilities described below. From time to time, the board may establish other committees to facilitate the management of our business.

Audit Committee

        Our audit committee consists of three directors, Mr. Dougherty, Ms. Champsi and Dr. Koppel, and our board of directors has determined that each of them is independent within the meaning of the applicable stock exchange listing requirements and the independence requirements contemplated by Rule 10A-3 under the Securities Exchange Act of 1934, as amended, or the Exchange Act. Ms. Champsi is a Managing Director of Alta Partners, which we expect will continue to beneficially own more than 10% of our common stock following this offering. Therefore, we may not be able to rely upon the safe harbor position of Rule 10A-3 under the Exchange Act, which provides that a person will not be deemed to be an affiliate of a company if he or she is not the beneficial owner, directly or indirectly, of more than 10% equity securities of that company. However, our board of directors has made an affirmative determination that Ms. Champsi is not an affiliate of our company. Mr. Dougherty is the chairman of the audit committee and our board of directors has determined that Mr. Dougherty is an "audit committee financial expert" as defined by SEC rules and regulations. Our board of directors has determined that the composition of our audit committee meets the criteria for independence under, and the functioning of our audit committee complies with, the applicable requirements of the Sarbanes-Oxley Act, applicable stock exchange listing requirements and SEC rules and regulations. We intend to continue to evaluate the requirements applicable to us and we intend to comply with the future requirements to the extent that they become applicable to our audit committee.

        Our audit committee reviews our internal accounting procedures and consults with and reviews the services provided by our independent registered public accountants.

        The principal duties and responsibilities of our audit committee include:

    •
    appointing and retaining an independent registered public accounting firm to serve as independent auditor to audit our financial statements, overseeing the independent auditor's work and determining the independent auditor's compensation;

    •
    approving in advance all audit services and non-audit services to be provided to us by our independent auditor;

    •
    establishing procedures for the receipt, retention and treatment of complaints received by us regarding accounting, internal accounting controls, auditing or compliance matters, as well as for the confidential, anonymous submission by our employees of concerns regarding questionable accounting or auditing matters;

    •
    reviewing and discussing with management and our independent auditor the results of the annual audit and the independent auditor's review of our quarterly financial statements; and

    •
    conferring with management and our independent auditor about the scope, adequacy and effectiveness of our internal accounting controls, the objectivity of our financial reporting and our accounting policies and practices.

125


Table of Contents

Compensation Committee

        Our compensation committee reviews and determines, or recommends to the full board for determination, the compensation of all our executive officers. Our compensation committee consists of three directors, Dr. Nader, Mr. Moulder and Ms. Yanni, each of whom is a non-employee member of our board of directors as defined in Rule 16b-3 under the Exchange Act. Dr. Nader is the chairman of the compensation committee. Our board of directors has determined that the composition of our compensation committee satisfies the applicable independence requirements under, and the functioning of our compensation committee complies with the applicable requirements of, stock exchange listing rules and SEC rules and regulations. We intend to continue to evaluate and intend to comply with all future requirements applicable to our compensation committee. The principal duties and responsibilities of our compensation committee include:

    •
    establishing and approving, and making recommendations to the board of directors regarding, performance goals and objectives relevant to the compensation of our chief executive officer, evaluating the performance of our chief executive officer in light of those goals and objectives and setting, or recommending to the full board of directors for approval, the chief executive officer's compensation, including incentive-based and equity-based compensation, based on that evaluation;

    •
    setting the compensation of our other executive officers, based in part on recommendations of the chief executive officer;

    •
    exercising administrative authority under our stock plans and employee benefit plans;

    •
    establishing policies and making recommendations to our board of directors regarding director compensation;

    •
    reviewing and discussing with management the compensation discussion and analysis that we may be required from time to time to include in SEC filings; and

    •
    preparing a compensation committee report on executive compensation as may be required from time to time to be included in our annual proxy statements or annual reports on Form 10-K filed with the SEC.

Nominating and Corporate Governance Committee

        The nominating and corporate governance committee consists of three directors, Ms. Champsi, Ms. McHugh and Mr. Nunn. Ms. Champsi is the chairman of the nominating and corporate governance committee. Our board of directors has determined that the composition of our nominating and corporate governance committee satisfies the applicable independence requirements under, and the functioning of our nominating and corporate governance committee complies with the applicable requirements of, stock exchange listing standards and SEC rules and regulations. We will continue to evaluate and will comply with all future requirements applicable to our nominating and corporate governance committee. The nominating and corporate governance committee's responsibilities include:

    •
    assessing the need for new directors and identifying individuals qualified to become directors;

    •
    recommending to the board of directors the persons to be nominated for election as directors and to each of the board's committees;

    •
    assessing individual director performance, participation and qualifications;

    •
    developing and recommending to the board corporate governance principles;

126


Table of Contents

    •
    monitoring the effectiveness of the board and the quality of the relationship between management and the board; and

    •
    overseeing an annual evaluation of the board's performance.

Code of Business Conduct and Ethics for Employees, Executive Officers and Directors

        We have adopted a Code of Business Conduct and Ethics, or the Code of Conduct, applicable to all of our employees, executive officers and directors. The Code of Conduct is available on our website at www.trevenainc.com. The nominating and corporate governance committee of our board of directors is responsible for overseeing the Code of Conduct and must approve any waivers of the Code of Conduct for employees, executive officers and directors. We expect that any amendments to the Code of Conduct, or any waivers of its requirements, will be disclosed on our website.

Compensation Committee Interlocks and Insider Participation

        None of our directors who currently serve as members of our compensation committee is, or has at any time during the past year been, one of our officers or employees. None of our executive officers currently serves, or in the past year has served, as a member of the board of directors or compensation committee of any other entity that has one or more executive officers serving on our board of directors or compensation committee.

Non-Employee Director Compensation

        Dr. Gowen, our President and Chief Executive Officer, is also a director but does not receive any additional compensation for her service as a director. Dr. Gowen's compensation as an executive officer is set forth below under "Executive Compensation—Summary Compensation Table."

        The following table sets forth in summary form information concerning the compensation that we paid or awarded during the year ended December 31, 2013 to each of our non-employee directors. Francois Nader, M.D. became a non-employee director in January 2014, Julie McHugh and Barbara Yanni became non-employee directors in July 2014, and Adam M. Koppel, M.D., Ph.D. became a non-employee director in September 2014, and therefore are not included in this table.

Name
  Option Awards
($)(1)
  Total
($)
 

Leon O. Moulder, Jr. 

    —     —  

Farah Champsi

    —     —  

Michael R. Dougherty

    90,315 (2)   90,315 (2)

Terrance G. McGuire(3)

    —     —  

Christopher K. Mirabelli, Ph.D.(3)

    —     —  

Jake R. Nunn

    —     —  

David F. Solomon(3)

    —     —  

(1)
This column reflects the full grant date fair value for options granted during the year as measured pursuant to ASC Topic 718 as stock-based compensation in our financial statements. Unlike the calculations contained in our financial statements, this calculation does not give effect to any estimate of forfeitures related to service-based vesting, but assumes that the nonemployee director will perform the requisite service for the award to vest in full. The assumptions we used in valuing options are described in Note 7 to our financial statements included in this prospectus. These amounts do not reflect the actual economic value that will be realized by the non-employee director upon the vesting of the

127


Table of Contents

    stock options, the exercise of the stock options, or the sale of the common stock underlying such stock options.

(2)
Represents an option to purchase 17,741 shares granted to Mr. Dougherty during 2013 for service on our board of directors. The shares subject to this option vest in quarterly installments through August 2016, subject to Mr. Dougherty's continued service with us. As of December 31, 2013, an aggregate of 17,741 shares were outstanding under all options to purchase our common stock held by Mr. Dougherty.

(3)
Messrs. McGuire and Solomon resigned from the board effective July 1, 2014, and Dr. Mirabelli resigned from the board effective September 17, 2014.

Non-Employee Director Compensation Policy

        Prior to our IPO, we had not historically paid cash retainers or other compensation with respect to service on our board of directors, except for reimbursement of direct expenses incurred in connection with attending meeting of the board or committees. Following our IPO, the board of directors adopted a policy for the compensation of non-employee directors providing for cash and equity compensation.

Annual Cash Compensation

        The annual cash compensation amounts set forth below are payable in equal quarterly installments, in arrears on the last day of each fiscal quarter in which the service occurred. If a non-employee joins the board of directors or a committee of the board of directors at a time other than on the first day of a fiscal quarter, the first quarterly payment will be pro-rated based on the number of days actually served during the quarter.

    •
    Annual board of directors service retainer:

    •
    All non-employee directors: $30,000

    •
    Chairman of the board of directors service retainer (in addition to the annual board of directors service retainer): $30,000

    •
    Annual committee member service retainer:

    •
    Member of the audit committee: $7,500

    •
    Member of the compensation committee: $5,000

    •
    Member of the nominating and governance committee: $3,500

    •
    Annual committee chair service retainer (in lieu of committee member service retainer):

    •
    Chairman of the audit committee: $15,000

    •
    Chairman of the compensation committee: $10,000

    •
    Chairman of the nominating and governance committee: $7,000

Equity Compensation

        The non-employee directors are entitled to equity compensation as described below. All stock options granted under this policy are nonstatutory stock options, with an exercise price per share equal to 100% of the fair market value of the underlying common stock on the date of grant, and a term of ten years from the date of grant, subject to earlier termination in connection with a termination of service.

128


Table of Contents

    •
    Initial Grant:  On the date of the non-employee director's initial election to the board of directors, the non-employee director will be granted a stock option for 17,741 shares, subject to appropriate adjustment for any stock split, stock dividend, reverse stock split, stock combination or other change in our capitalization. Commencing on the date that is three months after the date of grant, the shares subject to each stock option will vest in a series of 12 equal quarterly installments, such that the option is fully vested on the third anniversary of the date of grant, except that the vesting date for the quarterly period in which our annual stockholders' meeting occurs will be the date immediately prior to such annual meeting.

    •
    Annual Grant:  On the date of each of our annual stockholder meetings, each non-employee director who continues to serve on the board of directors immediately prior thereto will be granted a stock option for 8,870 shares, subject to appropriate adjustment for any stock split, stock dividend, reverse stock split, stock combination or other change in our capitalization. The shares subject to the stock option will vest on the day immediately prior to the next annual stockholders' meeting.

Director Equity Outstanding at 2013 Year End

        The following table provides information about outstanding stock options held by each of our non-employee directors as of December 31, 2013. All of these options and awards were granted under our 2008 Equity Incentive Plan.

Non-Employee Directors
  Option Awards  

Leon O. Moulder, Jr. 

    12,096  

Farah Champsi

    —  

Michael R. Dougherty

    17,741  

Terrance G. McGuire

    —  

Christopher K. Mirabelli, Ph.D. 

    —  

Jake R. Nunn

    —  

David F. Solomon

    —  

129


Table of Contents


EXECUTIVE COMPENSATION

        Our named executive officers for the year ended December 31, 2013, which consist of our principal executive officer and our two other most highly compensated executive officers during the year, are:

    •
    Maxine Gowen, Ph.D., our President and Chief Executive Officer;

    •
    Michael W. Lark, Ph.D., our Chief Scientific Officer and Senior Vice President, Research; and

    •
    David Soergel, M.D., our Senior Vice President, Clinical Development.

Summary Compensation Table

        The following table sets forth information regarding compensation earned during 2012 and 2013 by our named executive officers:

Name and Principal Position
  Year   Salary
($)
  Bonus
($)(1)
  Option
Awards
($)(2)
  All Other
Compensation
($)(3)
  Total
($)
 

Maxine Gowen, Ph.D.(4)

    2013     380,413     152,165     1,133,968     10,908     1,677,454  

President and Chief Executive Officer

    2012     368,756     125,377     —     10,605     504,738  

Michael W. Lark, Ph.D. 

   
2013
   
319,008
   
122,416
   
190,920
   
10,200
   
669,258
 

Chief Scientific Officer and Senior Vice President, Research

    2012     308,993     78,793     —     10,000     397,786  

David Soergel, M.D. 

   
2013
   
272,098
   
104,415
   
152,505
   
10,200
   
562,003
 

Senior Vice President, Clinical Development

    2012     253,955     64,759     18,000     10,000     346,714  

(1)
Amounts shown in this column reflect the discretionary bonus paid for performance during 2012, as discussed further below under "Annual Bonus," and retention bonuses paid in August 2013, as discussed further below under "Retention Bonus." Dr. Gowen was not paid a retention bonus.

(2)
This column reflects the full grant date fair value for options granted during the year as measured pursuant to ASC Topic 718 as stock-based compensation in our financial statements. Unlike the calculations contained in our financial statements, this calculation does not give effect to any estimate of forfeitures related to service-based vesting, but assumes that the executive will perform the requisite service for the award to vest in full. The assumptions we used in valuing options are described in note 7 to our audited financial statements included in this prospectus. These amounts do not reflect the actual economic value that will be realized by the named executive officer upon the vesting of the stock options, the exercise of the stock options or the sale of the common stock underlying such stock options.

(3)
Consists of company contributions to the officer's 401(k) plan and one club membership for Dr. Gowen.

(4)
Dr. Gowen is also a member of our board of directors but does not receive any additional compensation in her capacity as a director.

Narrative to Summary Compensation Table

        We review compensation annually for all employees, including our executives. In setting executive base salaries and bonuses and granting equity incentive awards, we consider compensation for comparable positions in the market, the historical compensation levels of our executives, individual performance as compared to our expectations and objectives, our desire to motivate our employees to

130


Table of Contents

achieve short-and long-term results that are in the best interests of our stockholders, and a long-term commitment to our company. We do not target a specific competitive position or a specific mix of compensation among base salary, bonus or long-term incentives.

        Our board of directors has historically determined our executives' compensation. Our compensation committee typically reviews and discusses management's proposed compensation with the chief executive officer for all executives other than the chief executive officer. Based on those discussions and its discretion, the compensation committee then recommends the compensation for each executive officer. Our board of directors, without members of management present, discusses the compensation committee's recommendations and ultimately approves the compensation of our executive officers. To date, our compensation committee has not engaged a compensation consultant or adopted a peer group of companies for purposes of determining executive compensation.

Annual Base Salary

        The following table presents the base salaries for each of our named executive officers for the years 2012, 2013 and 2014. The 2012, 2013 and 2014 base salaries became effective on March 1, 2012, March 1, 2013 and March 1, 2014. respectively.

Name
  2012 Base
Salary ($)
  2013 Base
Salary ($)
  2014 Base
Salary ($)
 

Maxine Gowen, Ph.D. 

    371,135     382,269     437,750  

Michael Lark, Ph.D. 

    311,227     320,564     334,750  

David Soergel, M.D. 

    265,462     273,426     319,300  

Bonuses

        Annual Bonus.    Our discretionary bonus plan motivates and rewards our executives for achievements relative to our goals and expectations for each fiscal year. Each named executive officer has a target bonus opportunity, defined as a percentage of his or her annual salary, as set forth in the table below. Following the end of each year, our board of directors determines the bonuses. To reinforce the importance of integrated and collaborative leadership, the bonuses for our executives at the senior vice president level and above were restructured in 2012 to be solely based on company performance. We do not include an individual performance component for bonuses. Material considerations in determining bonuses include our financial performance relative to our plan and achievement of corporate objectives for the year; the executive's handling of unplanned events and opportunities; and the chief executive officer's input with respect to the performance of the company and of our executives. The table below shows the amount of the target bonus for each named executive officer as a percentage of salary.

Name
  Target Bonus
(% of salary)
 

Maxine Gowen, Ph.D. 

    40  

Michael Lark, Ph.D. 

    30  

David Soergel, M.D. 

    30  

        The amount of bonuses earned by our named executive officers for 2013 was $152,165 for Dr. Gowen, $95,702 for Dr. Lark and $81,630 for Dr. Soergel.

        The target bonus as a percentage of salary was increased for 2014 to 50% for Dr. Gowen and to 35% for Dr. Lark and Dr. Soergel.

        Retention Bonus.    In August 2013, we paid a retention bonus to certain employees who began their employment with us prior to the preferred stock financing that took place in May 2013 and

131


Table of Contents

remained employed with us three months after the date of the financing, including Dr. Lark and Dr. Soergel, who received retention bonuses of $26,714 and $22,785, respectively. We did not pay a retention bonus to Dr. Gowen. The retention bonuses were intended to reward such employees for continuing their employment with us in connection with the financing.

Long-Term Incentives

        Our 2013 Equity Incentive Plan authorizes us to make grants to eligible recipients of non-qualified stock options, incentive stock options, restricted stock awards, restricted stock units and stock appreciation rights. While we have made restricted stock awards to our executive officers in the past, our equity grants during 2013 to our executive officers were only in the form of stock options.

        We typically grant equity incentive awards at the start of employment to each executive and our other employees. Through 2013, we have not maintained a practice of granting additional equity on an annual basis, but we have retained discretion to provide additional targeted grants in certain circumstances and in association with promotions and may begin making annual grants to our employees and directors in 2015.

        We award our equity grants on the date our board of directors approves the grant. We set the option exercise price and grant date fair value based on our per-share valuation on the date of grant. For grants in connection with initial employment, vesting begins on the initial date of employment. Options have a term of ten years from the grant date. Option grants to our executives typically vest over four years.

        In June 2013, we approved stock options to Drs. Gowen, Lark and Soergel following the execution of our Series C financing. In September 2013, we approved a stock option grant to Dr. Gowen. The number of shares subject to these stock options was established by our board of directors. All of the options granted to the executives in 2013 are subject to a vesting schedule with 1/16 of the shares vesting per quarter over the four year period following the vesting commencement date.

        The stock options we granted to our named executive officers in 2013 are summarized in the following table

Name
  Date of Grant   Number of
Shares
  Price per
Share
 

Maxine Gowen, Ph.D. 

    June 17, 2013     382,089   $ 2.23  

    September 26, 2013     104,838     7.44  

Michael Lark, Ph.D. 

    June 17, 2013     123,512     2.23  

David Soergel, M.D. 

    June 17, 2013     98,660     2.23  

Agreements with our Named Executive Officers

        Below are summaries of our employment agreements with our named executive officers.

        Agreement with Dr. Gowen.    We entered into an employment agreement with Dr. Gowen in October 2013, which became effective upon the completion of our IPO and now governs the terms of her employment with us. Pursuant to the agreement, Dr. Gowen is entitled to an initial annual base salary of $425,000 (subject to review and adjustment) and is eligible to receive an annual target bonus of up to 50% of her current base salary, as determined by our board of directors. Dr. Gowen is additionally entitled to severance benefits pursuant to her agreement, the terms of which are described below under "—Potential Payments Upon Termination of Employment or in Connection with Change of Control."

        Agreement with Dr. Lark.    We entered into an employment agreement with Dr. Lark in October 2013, which became effective upon the completion of our IPO and now governs the terms of his

132


Table of Contents

employment with us. Pursuant to the agreement, Dr. Lark is entitled to an initial annual base salary of $325,000 (subject to review and adjustment) and is eligible to receive an annual target bonus of up to 35% of his current base salary, as determined by our board of directors. Dr. Lark is additionally entitled to severance benefits pursuant to his agreement, the terms of which are described below under "—Potential Payments Upon Termination of Employment or in Connection with Change of Control."

        Agreement with Dr. Soergel.    We entered into an employment agreement with Dr. Soergel in October 2013, which became effective upon the completion of our IPO and now governs the terms of his employment with us. Pursuant to the agreement, Dr. Soergel is entitled to an initial annual base salary of $310,000 (subject to review and adjustment) and is eligible to receive an annual target bonus of up to 35% of his current base salary, as determined by our board of directors. Dr. Soergel is additionally entitled to severance benefits pursuant to his agreement, the terms of which are described below under "—Potential Payments Upon Termination of Employment or in Connection with Change of Control."

Outstanding Equity Awards at Fiscal Year-End 2013

        The following table provides information about outstanding stock options held by each of our named executive officers at December 31, 2013. All of these options were granted under our 2008 Equity Incentive Plan. None of our named executive officers held restricted stock or other stock awards at the end of 2013.

Name
  Number of
Securities
Underlying
Unexercised
Options (#)
Exercisable
  Number of
Securities
Underlying
Unexercised
Options (#)
Unexercisable
  Option
Exercise
Price ($)
  Option
Expiration
Date
 

Maxine Gowen, Ph.D. 

    211,693     19,113 (1)   0.68     9/10/2020  

    3,737     338 (1)   0.68     6/23/2021  

    47,761     334,328 (2)   2.23     6/17/2023  

    6,552     98,286 (3)   7.44     9/26/2023  

Michael W. Lark, Ph.D. 

   
55,443
   
5,735

(1)
 
0.68
   
9/10/2020
 

    1,121     102 (1)   0.68     6/23/2021  

    15,439     108,073 (2)   2.23     6/17/2023  

David Soergel, M.D. 

   
1,815
   
—
   
0.06
   
11/30/2019
 

    33,870     3,059 (1)   0.68     9/10/2020  

    523     47 (1)   0.68     6/23/2021  

    10,080     22,178 (4)   0.68     10/17/2022  

    12,332     86,328 (2)   2.23     6/17/2023  

(1)
The unvested shares under these options vested in approximately equal quarterly installments, through July 8, 2014.

(2)
The unvested shares under these options are scheduled to vest in approximately equal quarterly installments, through May 3, 2017.

(3)
The unvested shares under this option are scheduled to vest in approximately equal quarterly installments, through September 26, 2017.

(4)
The unvested shares under this option are scheduled to vest in approximately equal quarterly installments, through September 1, 2016.

133


Table of Contents

Option Repricings

        We did not engage in any repricings or other modifications or cancellations to any of our named executive officers' outstanding equity awards during the year ended December 31, 2013.

Perquisites, Health, Welfare and Retirement Benefits

        All of our executives are eligible to participate in our employee benefit plans, including our medical, dental, vision, life insurance, flexible spending account, disability and accidental death and dismemberment insurance plans, in each case on the same basis as all of our other employees. We provide a 401(k) plan to our employees, including our named executive officers, as discussed in the section below entitled "401(k) Plan."

        Dr. Gowen is entitled to reimbursement from us for the cost of a club membership. We do not provide any other perquisites or personal benefits to our named executive officers. We do, however, pay the premiums for disability insurance for all of our employees, including our executives. None of our named executive officers participate in or have account balances in qualified or non-qualified defined benefit plans sponsored by us. Our board of directors may elect to adopt qualified or non-qualified benefit plans in the future if it determines that doing so is in our best interests.

401(k) Plan

        We maintain a defined contribution employee retirement plan, or 401(k) plan, for our employees. Our named executive officers are eligible to participate in the 401(k) plan on the same basis as our other employees. The plan provides that each participant may defer eligible compensation subject to the statutory limit, which was $17,500 for calendar year 2013. Participants who are 50 years or older can also make "catch-up" contributions, which in calendar year 2013 may be up to an additional $5,500 above the statutory limit. Currently, we match 100% of each eligible employee's contributions up to 3% of salary, and then 50% of each eligible employee's contributions between 3% and 5% of salary. Employees' pre-tax contributions are allocated to each participant's individual account and are then invested in selected investment alternatives according to the participants' directions. Employees are immediately and fully vested in both their contributions and our matching contributions. The 401(k) plan is intended to be qualified under Section 401(a) of the Code with the 401(k) plan's related trust intended to be tax exempt under Section 501(a) of the Code. As a tax-qualified retirement plan, contributions to the 401(k) plan and earnings on those contributions are not taxable to the employees until distributed from the 401(k) plan.

Nonqualified Deferred Compensation

        Our named executive officers did not earn any nonqualified deferred compensation benefits from us during 2013.

Potential Payments upon Termination of Employment or in Connection with Change of Control

        We believe that reasonable severance benefits for our named executive officers are important because it may be difficult for them to find comparable employment within a short period of time. We also believe that it is important to protect our named executive officers in the event of a change of control transaction involving our company, as a result of which such officers might have their employment terminated. In addition, we believe that the interests of management should be aligned with those of our stockholders as much as possible, and we believe that providing protection upon a change of control is an appropriate counter to any disincentive such officers might otherwise perceive in regard to transactions that may be in the best interest of our stockholders.

134


Table of Contents

        As a result of these considerations, we have entered into employment agreements with Dr. Gowen, Dr. Lark and Dr. Soergel that provide for specified benefits to be paid if the executives are terminated under specified conditions or in connection with a change in control of our company. Summaries of these benefits are set forth below.

        Under the employment agreements between us and Dr. Gowen, Dr. Lark and Dr. Soergel, if the executive is terminated by us other than for cause or resigns for good reason, in each case as defined in the agreement, he or she will receive:

    •
    continuing payments of his or her salary as severance pay in the amount of twelve months of his or her then-current base salary for Drs. Gowen and Lark, and nine months of his then-current base salary for Dr. Soergel, in each case paid in equal installments following termination on our regularly scheduled payroll dates,

    •
    his or her target annual bonus compensation for the year of termination, pro-rated for the period between the beginning of the calendar year and the date of termination, paid within sixty days following termination,

    •
    for Dr. Gowen only, an amount equal to 100% of Dr. Gowen's target bonus in effect at the time of termination, payable in equal installments on our regularly scheduled payroll dates over the period that the severance pay is paid,

    •
    health insurance premiums under our group health insurance plans as provided under the Consolidated Omnibus Budget Reconciliation Act, or COBRA, until the earlier of (i) twelve months after termination of employment for Drs. Gowen and Lark, and nine months after termination of employment for Dr. Soergel, (ii) such time as the executive is eligible for substantially equivalent health insurance coverage with a subsequent employer and (iii) such time as the executive is no longer eligible for COBRA coverage, and

    •
    accelerated vesting as to that number of unvested shares subject to any outstanding equity awards held by the executive at the time of termination that would have otherwise vested if the executive had remained employed by us for twelve months following the date of termination for Drs. Gowen and Lark, and nine months following the date of termination for Dr. Soergel.

        In addition, under the employment agreements if the executive is terminated by us other than for cause or resigns for good reason within thirty days prior to a change of control, within the period between our execution of a letter of intent for a change of control and the date that change of control is later consummated, or within twelve months following a change of control, in each case as defined in the agreement, he or she will receive the following payments in lieu of the severance payments listed above:

    •
    continuing payments of his or her salary as severance pay in the amount of eighteen months of her then-current base salary for Dr. Gowen, and twelve months of his then-current base salary for Drs. Lark and Soergel, in each case paid in equal installments following termination on our regularly scheduled payroll dates,

    •
    his or her target annual bonus compensation for the year of termination, pro-rated for the period between the beginning of the calendar year and the date of termination, paid within sixty days following termination,

    •
    for Dr. Gowen, an amount equal to 150% of her target bonus in effect at the time of termination, and for Drs. Lark and Soergel, an amount equal to 100% of his target bonus in effect at the time of termination, in each case payable in equal installments on our regularly scheduled payroll dates over the period that the severance pay is paid,

135


Table of Contents

    •
    health insurance premiums under our group health insurance plans as provided under the Consolidated Omnibus Budget Reconciliation Act, or COBRA, until the earlier of (i) eighteen months after termination of employment for Dr. Gowen, and twelve months after termination of employment for Drs. Lark and Soergel, (ii) such time as the executive officer is eligible for substantially equivalent health insurance coverage with a subsequent employer and (iii) such time as the executive is no longer eligible for COBRA coverage, and

    •
    accelerated vesting of all unvested shares subject to any outstanding equity awards held by the executive at the time of termination.

        Receipt of the benefits described above upon the officer's termination of employment is contingent upon his or her signing of a release of claims against us.

Equity Incentive Plans

2013 Equity Incentive Plan

        Our board of directors has adopted, and our stockholders have approved, our 2013 Equity Incentive Plan, as amended, or our 2013 plan. The 2013 plan became effective at the time of our IPO. No further grants will be made under the 2008 Equity Incentive Plan, or 2008 plan.

Stock Awards

        The 2013 plan provides for the grant of incentive stock options, or ISOs, nonstatutory stock options, or NSOs, stock appreciation rights, restricted stock awards, restricted stock unit awards, performance-based stock awards and other forms of equity compensation (collectively, stock awards), all of which may be granted to employees, including officers, non-employee directors and consultants of us and our affiliates. Additionally, the 2013 plan provides for the grant of performance cash awards. ISOs may be granted only to employees. All other awards may be granted to employees, including officers, and to non-employee directors and consultants.

Share Reserve

        The aggregate number of shares of our common stock that may be issued pursuant to stock awards under the 2013 plan is the sum of (i) 1,764,639 shares, plus (ii) any shares subject to stock options or other stock awards granted under our 2008 plan that would have otherwise returned to our 2008 plan (such as upon the expiration or termination of a stock award prior to vesting). Additionally, the number of shares of our common stock reserved for issuance under our 2013 plan will automatically increase on January 1 of each year, beginning on January 1, 2015 and continuing through and including January 1, 2023, by 4% of the total number of shares of our common stock outstanding on December 31 of the preceding calendar year, or a lesser number of shares determined by our board of directors. The maximum number of shares that may be issued upon the exercise of ISOs under our 2013 plan is 24,193,548 shares. As of September 30, 2014, options to purchase 846,445 shares of our common stock were outstanding under the 2013 plan at a weighted average exercise price of $6.74 per share and 864,886 shares remained available for future grant.

        No person may be granted stock awards covering more than 1,612,903 shares of our common stock under our 2013 plan during any calendar year pursuant to stock options, stock appreciation rights and other stock awards whose value is determined by reference to an increase over an exercise or strike price of at least 100% of the fair market value on the date the stock award is granted. Additionally, no person may be granted in a calendar year a performance stock award covering more than 1,612,903 shares or a performance cash award having a maximum value in excess of $5,000,000. Such limitations are designed to help assure that any deductions to which we would otherwise be entitled with respect to such awards will not be subject to the $1,000,000 limitation on the income tax deductibility of compensation paid to any covered executive officer imposed by Section 162(m) of the Code.

136


Table of Contents

        If a stock award granted under the 2013 plan expires or otherwise terminates without being exercised in full, or is settled in cash, the shares of our common stock not acquired pursuant to the stock award again will become available for subsequent issuance under the 2013 plan. In addition, the following types of shares under the 2013 plan may become available for the grant of new stock awards under the 2013 plan: (1) shares that are forfeited to or repurchased by us prior to becoming fully vested; (2) shares withheld to satisfy income or employment withholding taxes; or (3) shares used to pay the exercise or purchase price of a stock award. Shares issued under the 2013 plan may be previously unissued shares or reacquired shares bought by us on the open market.

Administration

        Our board of directors, or a duly authorized committee thereof, has the authority to administer the 2013 plan. Our board of directors may also delegate to one or more of our officers the authority to (1) designate employees, other than other executives, to be recipients of certain stock awards, and (2) determine the number of shares of common stock to be subject to such stock awards. Subject to the terms of the 2013 plan, our board of directors or the authorized committee, referred to herein as the plan administrator, determines recipients, dates of grant, the numbers and types of stock awards to be granted and the terms and conditions of the stock awards, including the period of their exercisability and vesting schedule applicable to a stock award. Subject to the limitations set forth below, the plan administrator will also determine the exercise price, strike price or purchase price of awards granted and the types of consideration to be paid for the award.

        The plan administrator has the authority to modify outstanding awards under our 2013 plan. Subject to the terms of our 2013 plan, the plan administrator has the authority to reduce the exercise, purchase or strike price of any outstanding stock award, cancel any outstanding stock award in exchange for new stock awards, cash or other consideration, or take any other action that is treated as a repricing under generally accepted accounting principles, with the consent of any adversely affected participant.

Stock Options

        Incentive and nonstatutory stock options are granted pursuant to stock option agreements adopted by the plan administrator. The plan administrator determines the exercise price for a stock option, within the terms and conditions of the 2013 plan, provided that the exercise price of a stock option generally cannot be less than 100% of the fair market value of our common stock on the date of grant. Options granted under the 2013 plan vest at the rate specified by the plan administrator.

        The plan administrator determines the term of stock options granted under the 2013 plan, up to a maximum of ten years. Unless the terms of an option holder's stock option agreement provide otherwise, if an option holder's service relationship with us, or any of our affiliates, ceases for any reason other than disability, death or cause, the option holder may generally exercise any vested options for a period of three months following the cessation of service. The option term may be extended in the event that exercise of the option following such a termination of service is prohibited by applicable securities laws or our insider trading policy. If an optionholder's service relationship with us or any of our affiliates ceases due to disability or death, or an optionholder dies within a certain period following cessation of service, the optionholder or a beneficiary may generally exercise any vested options for a period of 12 months in the event of disability and 18 months in the event of death. In the event of a termination for cause, options generally terminate immediately upon the termination of the individual for cause. In no event may an option be exercised beyond the expiration of its term.

        Acceptable consideration for the purchase of common stock issued upon the exercise of a stock option will be determined by the plan administrator and may include (1) cash, check, bank draft or money order, (2) a broker-assisted cashless exercise, (3) the tender of shares of our common stock

137


Table of Contents

previously owned by the optionholder, (4) a net exercise of the option if it is an NSO, and (5) other legal consideration approved by the plan administrator.

        Unless the plan administrator provides otherwise, options generally are not transferable except by will, the laws of descent and distribution, or pursuant to a domestic relations order. An optionholder may designate a beneficiary, however, who may exercise the option following the optionholder's death.

Tax Limitations on Incentive Stock Options

        The aggregate fair market value, determined at the time of grant, of our common stock with respect to ISOs that are exercisable for the first time by an optionholder during any calendar year under all of our stock plans may not exceed $100,000. Options or portions thereof that exceed such limit will generally be treated as NSOs. No ISO may be granted to any person who, at the time of the grant, owns or is deemed to own stock possessing more than 10% of our total combined voting power or that of any of our affiliates unless (1) the option exercise price is at least 110% of the fair market value of the stock subject to the option on the date of grant, and (2) the term of the ISO does not exceed five years from the date of grant.

Restricted Stock Awards

        Restricted stock awards are granted pursuant to restricted stock award agreements adopted by the plan administrator. Restricted stock awards may be granted in consideration for (1) cash, check, bank draft or money order, (2) services rendered to us or our affiliates, or (3) any other form of legal consideration. Common stock acquired under a restricted stock award may, but need not, be subject to a share repurchase option in our favor in accordance with a vesting schedule to be determined by the plan administrator. Rights to acquire shares under a restricted stock award may be transferred only upon such terms and conditions as set by the plan administrator. Except as otherwise provided in the applicable award agreement, restricted stock unit awards that have not vested will be forfeited upon the participant's cessation of continuous service for any reason.

Restricted Stock Unit Awards

        Restricted stock unit awards are granted pursuant to restricted stock unit award agreements adopted by the plan administrator. Restricted stock unit awards may be granted in consideration for any form of legal consideration. A restricted stock unit award may be settled by cash, delivery of stock, a combination of cash and stock as deemed appropriate by the plan administrator, or in any other form of consideration set forth in the restricted stock unit award agreement. Additionally, dividend equivalents may be credited in respect of shares covered by a restricted stock unit award. Except as otherwise provided in the applicable award agreement, restricted stock units that have not vested will be forfeited upon the participant's cessation of continuous service for any reason.

Stock Appreciation Rights

        Stock appreciation rights are granted pursuant to stock appreciation grant agreements adopted by the plan administrator. The plan administrator determines the strike price for a stock appreciation right, which generally cannot be less than 100% of the fair market value of our common stock on the date of grant. Upon the exercise of a stock appreciation right, we will pay the participant an amount equal to the product of (1) the excess of the per share fair market value of our common stock on the date of exercise over the strike price, multiplied by (2) the number of shares of common stock with respect to which the stock appreciation right is exercised. A stock appreciation right granted under the 2013 plan vests at the rate specified in the stock appreciation right agreement as determined by the plan administrator.

138


Table of Contents

        The plan administrator determines the term of stock appreciation rights granted under the 2013 plan, up to a maximum of ten years. Unless the terms of a participant's stock appreciation right agreement provides otherwise, if a participant's service relationship with us or any of our affiliates ceases for any reason other than cause, disability or death, the participant may generally exercise any vested stock appreciation right for a period of three months following the cessation of service. The stock appreciation right term may be further extended in the event that exercise of the stock appreciation right following such a termination of service is prohibited by applicable securities laws. If a participant's service relationship with us, or any of our affiliates, ceases due to disability or death, or a participant dies within a certain period following cessation of service, the participant or a beneficiary may generally exercise any vested stock appreciation right for a period of 12 months in the event of disability and 18 months in the event of death. In the event of a termination for cause, stock appreciation rights generally terminate immediately upon the occurrence of the event giving rise to the termination of the individual for cause. In no event may a stock appreciation right be exercised beyond the expiration of its term.

Performance Awards

        The 2013 plan permits the grant of performance-based stock and cash awards that may qualify as performance-based compensation that is not subject to the $1,000,000 limitation on the income tax deductibility of compensation paid to a covered executive officer imposed by Section 162(m) of the Code. To help assure that the compensation attributable to performance-based awards will so qualify, our compensation committee can structure such awards so that stock or cash will be issued or paid pursuant to such award only after the achievement of certain pre-established performance goals during a designated performance period.

        The performance goals that may be selected include one or more of the following: (1) earnings (including earnings per share and net earnings); (2) earnings before interest, taxes and depreciation; (3) earnings before interest, taxes, depreciation and amortization; (4) total stockholder return; (5) return on equity or average stockholders' equity; (6) return on assets, investment, or capital employed; (7) stock price; (8) margin (including gross margin); (9) income (before or after taxes); (10) operating income; (11) operating income after taxes; (12) pre-tax profit; (13) operating cash flow; (14) sales or revenue targets; (15) increases in revenue or product revenue; (16) expenses and cost reduction goals; (17) improvement in or attainment of working capital levels; (18) economic value added (or an equivalent metric); (19) market share; (20) cash flow; (21) cash flow per share; (22) share price performance; (23) debt reduction; (24) implementation or completion of projects or processes; (25) customer satisfaction; (26) stockholders' equity; (27) capital expenditures; (28) debt levels; (29) operating profit or net operating profit; (30) workforce diversity; (31) growth of net income or operating income; (32) billings; and (33) to the extent that an award is not intended to comply with Section 162(m) of the Code, other measures of performance selected by our board of directors.

        The performance goals may be based on a company-wide basis, with respect to one or more business units, divisions, affiliates or business segments, and in either absolute terms or relative to the performance of one or more comparable companies or the performance of one or more relevant indices. Unless specified otherwise (i) in the award agreement at the time the award is granted or (ii) in such other document setting forth the performance goals at the time the goals are established, we will appropriately make adjustments in the method of calculating the attainment of performance goals as follows: (1) to exclude restructuring and/or other nonrecurring charges; (2) to exclude exchange rate effects, as applicable, for non-U.S. dollar denominated goals; (3) to exclude the effects of changes to generally accepted accounting principles; (4) to exclude the effects of any statutory adjustments to corporate tax rates; (5) to exclude the effects of any "extraordinary items" as determined under generally accepted accounting principles. In addition, we retain the discretion to

139


Table of Contents

reduce or eliminate the compensation or economic benefit due upon attainment of the goals. The performance goals may differ from participant to participant and from award to award.

Other Stock Awards

        The plan administrator may grant other awards based in whole or in part by reference to our common stock. The plan administrator will set the number of shares under the stock award and all other terms and conditions of such awards.

Changes to Capital Structure

        In the event that there is a specified type of change in our capital structure, such as a stock split or recapitalization, appropriate adjustments will be made to (a) the class and maximum number of shares reserved for issuance under the 2013 plan, (b) the class and maximum number of shares by which the share reserve may increase automatically each year, (c) the class and maximum number of shares that may be issued upon the exercise of ISOs, (d) the class and maximum number of shares subject to stock awards that can be granted in a calendar year (as established under the 2013 plan pursuant to Section 162(m) of the Code) and (e) the class and number of shares and exercise price, strike price, or purchase price, if applicable, of all outstanding stock awards.

Corporate Transactions

        In the event of certain specified significant corporate transactions, the plan administrator has the discretion to take any of the following actions with respect to stock awards:

    •
    arrange for the assumption, continuation or substitution of a stock award by a surviving or acquiring entity or parent company;

    •
    arrange for the assignment of any reacquisition or repurchase rights held by us to the surviving or acquiring entity or parent company;

    •
    accelerate the vesting of the stock award and provide for its termination prior to the effective time of the corporate transaction;

    •
    arrange for the lapse of any reacquisition or repurchase right held by us;

    •
    cancel or arrange for the cancellation of the stock award in exchange for such cash consideration, if any, as our board of directors may deem appropriate; or

    •
    make a payment equal to the excess of (a) the value of the property the participant would have received upon exercise of the stock award over (b) the exercise price otherwise payable in connection with the stock award.

        Our plan administrator is not obligated to treat all stock awards, even those that are of the same type, in the same manner.

        Under the 2013 plan, a corporate transaction is generally the consummation of (i) a sale or other disposition of all or substantially all of our consolidated assets, (ii) a sale or other disposition of at least 90% of our outstanding securities, (iii) a merger, consolidation or similar transaction following which we are not the surviving corporation, or (iv) a merger, consolidation or similar transaction following which we are the surviving corporation but the shares of our common stock outstanding immediately prior to such transaction are converted or exchanged into other property by virtue of the transaction.

Change of Control

        The plan administrator may provide, in an individual award agreement or in any other written agreement between a participant and us that the stock award will be subject to additional acceleration

140


Table of Contents

of vesting and exercisability in the event of a change of control. Under the 2013 plan, a change of control is generally (i) the acquisition by a person or entity of more than 50% of our combined voting power other than by merger, consolidation or similar transaction; (ii) a consummated merger, consolidation or similar transaction immediately after which our stockholders cease to own more than 50% of the combined voting power of the surviving entity; or (iii) a consummated sale, lease or exclusive license or other disposition of all or substantially of our consolidated assets.

Amendment and Termination

        Our board of directors has the authority to amend, suspend or terminate our 2013 plan, provided that such action does not materially impair the existing rights of any participant without such participant's written consent. No ISOs may be granted after the tenth anniversary of the date our board of directors adopted our 2013 plan.

2008 Equity Incentive Plan

        Our board of directors adopted, and our stockholders approved, the 2008 Equity Incentive Plan, or the 2008 plan, in January 2008. Following the IPO, no further options or stock awards may be granted under our 2008 plan, but all outstanding stock awards will continue to be governed by their existing terms and the 2008 plan. As of September 30, 2014, options to purchase 2,705,679 shares of our common stock were outstanding under the 2008 plan at a weighted average exercise price of $2.78 per share.

Administration

        Our board of directors, or a committee thereof appointed by our board of directors, administers our 2008 plan and the option and stock awards granted under it. Our board of directors delegated its authority to administer our 2008 plan to our compensation committee.

Changes to Capital Structure

        In the event that there is a specified type of change in our capital structure, such as a stock split or recapitalization, appropriate adjustments will be made to (a) the class and maximum number of shares reserved for issuance under the 2008 plan, (b) the class and maximum number of shares that may be issued upon the exercise of ISOs, and (c) the class and number of shares and exercise price, strike price or purchase price, if applicable, of all outstanding stock awards.

Corporate Transactions

        In the event of certain specified significant corporate transactions, outstanding stock awards shall be assumed, continued or substituted for similar stock awards by the surviving or acquiring corporation. If any surviving or acquiring corporation fails to assume, continue or substitute such stock awards, stock awards held by participants whose continuous service has not terminated will accelerate vesting in full prior to the corporate transaction. All stock awards not assumed, continued or substituted for by the acquiring or surviving corporation in a corporate transaction will terminate at or prior to the corporate transaction. In addition, in the event a stock award will terminate if not exercised before a corporate transaction, our board of directors may, in its sole discretion, provide that the holder of the stock award may not exercise the stock award but will receive a payment equal to the excess, if any, of (i) the value of our common stock the holder would have received upon exercise of the stock awards, over (ii) any exercise price payable by the holder in connection with the exercise.

        Under the 2008 plan, a corporate transaction is generally the consummation of (i) a sale or other disposition of all or substantially all of our consolidated assets, (ii) a sale or other disposition of at least 90% of our outstanding securities, (iii) a merger, consolidation or similar transaction following which

141


Table of Contents

we are not the surviving corporation, or (iv) a merger, consolidation or similar transaction following which we are the surviving corporation but the shares of our common stock outstanding immediately prior to such transaction are converted or exchanged into other property by virtue of the transaction.

Change of Control

        The plan administrator may provide, in an individual award agreement or in any other written agreement between a participant and us that the stock award will be subject to additional acceleration of vesting and exercisability in the event of a change of control. Under the 2008 plan, a change of control is generally (i) the acquisition by a person or entity of more than 50% of our combined voting power other than by merger, consolidation or similar transaction; (ii) a consummated merger, consolidation or similar transaction immediately after which our stockholders cease to own more than 50% of the combined voting power of the surviving entity; or (iii) a consummated sale, lease or exclusive license or other disposition of all or substantially of our consolidated assets.

2013 Employee Stock Purchase Plan

        Our board of directors has adopted, and our stockholders have approved, our 2013 Employee Stock Purchase Plan, or our 2013 ESPP. We have not granted any purchase rights under our 2013 ESPP and have no immediate plans to do so, although our board of directors can determine to begin granting such rights at any time.

        Initially, the maximum number of shares of our common stock that may be issued under our 2013 ESPP is 225,806 shares. Additionally, the number of shares of our common stock reserved for issuance under our 2013 ESPP will automatically increase on January 1 of each year, beginning on January 1, 2015 and continuing through and including January 1, 2023, by the number of shares equal to the lesser of (1) 225,806, (2) the total number of shares of common stock issued under the 2013 ESPP during the immediately preceding calendar year and (3) such lesser number of shares determined by our board of directors. Shares subject to purchase rights granted under our 2013 ESPP that terminate without having been exercised in full will not reduce the number of shares available for issuance under our 2013 ESPP.

        Our board of directors, or a duly authorized committee thereof, will administer our 2013 ESPP. Our board of directors expects to delegate its authority to administer our 2013 ESPP to our compensation committee under the terms of the compensation committee's charter.

        Employees, including executive officers, of ours or any of our designated affiliates may have to satisfy one or more of the following service requirements before participating in our 2013 ESPP, as determined by the administrator: (i) customary employment with us or one of our affiliates for more than 20 hours per week and more than five months per calendar year, or (ii) continuous employment with us or one of our affiliates for a minimum period of time, not to exceed two years, prior to the first date of an offering. An employee may not be granted rights to purchase stock under our 2013 ESPP if such employee (i) immediately after the grant would own stock possessing 5% or more of the total combined voting power or value of all classes of our common stock, or (ii) holds rights to purchase stock under our 2013 ESPP that would accrue at a rate that exceeds $25,000 worth of our stock for each calendar year that the rights remain outstanding.

        Our 2013 ESPP is intended to qualify as an employee stock purchase plan under Section 423 of the Code. The administrator may specify offerings with a duration of not more than 27 months, and may specify one or more shorter purchase periods within each offering. Each offering will have one or more purchase dates on which shares of our common stock will be purchased for the employees who are participating in the offering. The administrator, in its discretion, will determine the terms of offerings under our 2013 ESPP.

142


Table of Contents

        Our 2013 ESPP permits participants to purchase shares of our common stock through payroll deductions up to 15% of their earnings. Unless otherwise determined by the administrator, the purchase price of the shares will be 85% of the lower of the fair market value of our common stock on the first day of an offering or on the date of purchase. Participants may end their participation at any time during an offering and will be paid their accrued contributions that have not yet been used to purchase shares. Participation ends automatically upon termination of employment with us.

        A participant may not transfer purchase rights under our 2013 ESPP other than by will, the laws of descent and distribution or as otherwise provided under our 2013 ESPP.

        In the event of a specified corporate transaction, such as a merger or change in control of our company, a successor corporation may assume, continue or substitute each outstanding purchase right. If the successor corporation does not assume, continue or substitute for the outstanding purchase rights, the offering in progress will be shortened and a new exercise date will be set. The participants' purchase rights will be exercised on the new exercise date and such purchase rights will terminate immediately thereafter.

        Our board of directors has the authority to amend, suspend or terminate our 2013 ESPP, at any time and for any reason. Our 2013 ESPP will remain in effect until terminated by our board of directors in accordance with the terms of the 2013 ESPP.

Limitations on Liability and Indemnification Matters

        Our amended and restated certificate of incorporation contains provisions that limit the liability of our current and former directors for monetary damages to the fullest extent permitted by Delaware law. Delaware law provides that directors of a corporation will not be personally liable for monetary damages for any breach of fiduciary duties as directors, except liability for:

    •
    any breach of the director's duty of loyalty to the corporation or its stockholders;

    •
    any act or omission not in good faith or that involves intentional misconduct or a knowing violation of law;

    •
    unlawful payments of dividends or unlawful stock repurchases or redemptions as provided in Section 174 of the Delaware General Corporation Law; or

    •
    any transaction from which the director derived an improper personal benefit.

        This limitation of liability does not apply to liabilities arising under federal securities laws and does not affect the availability of equitable remedies such as injunctive relief or rescission.

        Our amended and restated certificate of incorporation and our amended and restated bylaws provide that we are required to indemnify our directors to the fullest extent permitted by Delaware law. Our amended and restated bylaws also provide that, upon satisfaction of certain conditions, we are required to advance expenses incurred by a director in advance of the final disposition of any action or proceeding, and permit us to secure insurance on behalf of any officer, director, employee or other agent for any liability arising out of his or her actions in that capacity regardless of whether we would otherwise be permitted to indemnify him or her under the provisions of Delaware law. Our amended and restated bylaws also provide our board of directors with discretion to indemnify our officers and employees when determined appropriate by the board. We have entered and expect to continue to enter into agreements to indemnify our directors as determined by the board of directors. With certain exceptions, these agreements provide for indemnification for related expenses including, among other things, attorneys' fees, judgments, fines and settlement amounts incurred by any of these individuals in any action or proceeding. We believe that these bylaw provisions and indemnification agreements are necessary to attract and retain qualified persons as directors. We also maintain customary directors' and officers' liability insurance.

143


Table of Contents

        The limitation of liability and indemnification provisions in our amended and restated certificate of incorporation and amended and restated bylaws may discourage stockholders from bringing a lawsuit against our directors for breach of their fiduciary duty. They may also reduce the likelihood of derivative litigation against our directors and officers, even though an action, if successful, might benefit us and other stockholders. Further, a stockholder's investment may be adversely affected to the extent that we pay the costs of settlement and damage awards against directors and officers as required by these indemnification provisions. At present, there is no pending litigation or proceeding involving any of our directors, officers or employees for which indemnification is sought and we are not aware of any threatened litigation that may result in claims for indemnification.

Rule 10b5-1 Sales Plans

        Our directors and executive officers may adopt written plans, known as Rule 10b5-1 plans, in which they will contract with a broker to buy or sell shares of our common stock on a periodic basis. Under a Rule 10b5-1 plan, a broker executes trades pursuant to parameters established by the director or officer when entering into the plan, without further direction from them. The director or officer may amend a Rule 10b5-1 plan in some circumstances and may terminate a plan at any time. Our directors and executive officers also may buy or sell additional shares outside of a Rule 10b5-1 plan when they are not in possession of material nonpublic information subject to compliance with the terms of our insider trading policy. Prior to 90 days after the date of this offering, subject to early termination, the sale of any shares under such plan would be subject to the lock-up agreement that the director or executive officer has entered into with the underwriters.

144


Table of Contents


CERTAIN RELATIONSHIPS AND RELATED PARTY TRANSACTIONS

        The following includes a summary of transactions since January 1, 2010 to which we have been a participant in which the amount involved exceeded or will exceed $120,000, and in which any of our directors, executive officers or holders of more than 5% of our capital stock, or any members of their immediate family, had or will have a direct or indirect material interest, other than compensation arrangements which are described under "Management—Executive Compensation" and "Management—Director Compensation." For a description of severance and change of control arrangements that we have entered into with some of our executive officers, see the section of this prospectus entitled "Management—Executive Compensation—Potential Payments upon Termination of Employment and in Connection with Change of Control Arrangements."

Participation in Initial Public Offering

        Some of our existing investors and their affiliated entities purchased an aggregate of 2,142,854 shares of our common stock in our IPO at the initial public offering price. The participants in our IPO included the following holders of more than 5% of our capital stock or entities affiliated with them. The following table presents the number of shares issued to these related parties at the initial public offering price of $7.00 per share, or $14,999,978 in the aggregate:

Participants(1)
  Shares of
Common Stock
 

Alta Partners VIII, L.P. 

    472,410  

Forest Laboratories Holdings Limited

    428,571  

HealthCare Ventures VIII, L.P. 

    297,058  

New Enterprise Associates 12, Limited Partnership

    472,410  

Polaris Venture Partners V, L.P. and its affiliated entities(2)

    472,405  

(1)
Additional details regarding these stockholders and their equity holdings is provided in "Principal Stockholders."

(2)
Includes 455,844 shares purchased by Polaris Venture Partners V, L.P., 8,883 shares purchased by Polaris Venture Partners Entrepreneurs' Fund V, L.P., 3,121 shares purchased by Polaris Venture Partners Founders' Fund V, L.P. and 4,557 shares purchased by Polaris Venture Partners Special Founders' Fund V, L.P.

Preferred Stock Financings

Series B Financing

        In July 2010, July 2011 and December 2011, we issued and sold to investors an aggregate of 30,800,000 shares of our Series B preferred stock, at a purchase price of $1.00 per share, for aggregate consideration of $30.8 million. Each share of Series B preferred stock was convertible into approximately 0.1613 shares of common stock, which conversion occurred automatically at the time of our IPO.

145


Table of Contents

        The participants in this preferred stock financing included the following holders of more than 5% of our capital stock or entities affiliated with them. The following table presents the number of shares issued to these related parties in this financing:

Participants(1)
  Shares of
Series B
Preferred
Stock
 

Alta Partners VIII, L.P. 

    8,400,000  

HealthCare Ventures VIII, L.P. 

    4,200,000  

New Enterprise Associates 12, Limited Partnership

    8,400,000  

Polaris Venture Partners V, L.P. and its affiliated entities(2)

    8,400,000  

(1)
Additional details regarding these stockholders and their equity holdings is provided in "Principal Stockholders."

(2)
Includes 8,105,447 shares of Series B preferred stock issued to Polaris Venture Partners V, L.P., 157,974 shares of Series B preferred stock issued to Polaris Venture Partners Entrepreneurs' Fund V, L.P., 157,974 shares of Series B preferred stock issued to Polaris Venture Partners Founders' Fund V, L.P. and 81,056 shares of Series B preferred stock issued to Polaris Venture Partners Special Founders' Fund V, L.P.

Series B-1 Financing

        In July 2011 and December 2011, we issued and sold to investors an aggregate of 4,200,000 shares of our Series B-1 preferred stock, along with warrants to purchase up to 1,650,000 shares of Series B-1 preferred stock, for an aggregate purchase price of $1.00 per share and aggregate consideration of $4.2 million. The warrants had an exercise price of $1.00 per share of Series B-1 preferred stock. Each share of Series B-1 preferred stock was convertible into approximately 0.1613 shares of common stock, which conversion occurred automatically at the time of our IPO.

        The participants in this preferred stock and warrant financing included the following holders of more than 5% of our capital stock or entities affiliated with them. The following table presents the number of shares issued to these related parties in this financing:

Participants(1)
  Shares of
Series B-1
Preferred
Stock
  Warrants to
Purchase
Series B-1
Preferred
Stock
 

Alta Partners VIII, L.P. 

    1,400,000     550,000  

New Enterprise Associates 12, Limited Partnership

    1,400,000     550,000  

Polaris Venture Partners V, L.P. and its affiliated entities(2)

    1,400,000     550,000  

(1)
Additional details regarding these stockholders and their equity holdings is provided in "Principal Stockholders."

(2)
Includes 1,350,907 shares of Series B-1 preferred stock and a warrant to purchase 530,713 shares of Series B-1 preferred stock issued to Polaris Venture Partners V, L.P., 26,329 shares of Series B-1 preferred stock and a warrant to purchase 10,343 shares of Series B-1 preferred stock issued to Polaris Venture Partners Entrepreneurs' Fund V, L.P., 9,254 shares of Series B-1 preferred stock and a warrant to purchase 3,636 shares of Series B-1 preferred stock issued to Polaris Venture Partners Founders' Fund V, L.P. and 13,510 shares of Series B-1 preferred stock and a warrant to purchase 5,308 shares of Series B-1 preferred stock issued to Polaris Venture Partners Special Founders' Fund V, L.P.

146


Table of Contents

        In November 2013, Alta Partners VIII, L.P. exercised its warrants to purchase an aggregate total of 550,000 shares of our Series B-1 preferred stock for aggregate consideration of $550,000.

Series C Financing

        In May 2013, we issued and sold to investors an aggregate of 36,764,704 shares of Series C preferred stock, at a purchase price of $1.632 per share, for aggregate consideration of $60.0 million. Each share of Series C preferred stock was convertible into approximately 0.1613 shares of common stock, which conversion occurred automatically at the time of our IPO.

        The participants in this preferred stock financing included the following holders of more than 5% of our capital stock or entities affiliated with them. The following table presents the number of shares issued to these related parties in this financing:

Participants(1)
  Series C
Preferred
Stock
 

Alta Partners VIII, L.P. 

    4,840,686  

Forest Laboratories Holdings Limited

    18,382,352  

HealthCare Ventures VIII, L.P. 

    3,125,000  

New Enterprise Associates 12, Limited Partnership

    4,840,686  

Polaris Venture Partners V, L.P. and its affiliated entities(2)

    4,840,686  

(1)
Additional details regarding these stockholders and their equity holdings is provided in "Principal Stockholders."

(2)
Includes 4,670,943 shares of Series C preferred stock issued to Polaris Venture Partners V, L.P., 91,037 shares of Series C preferred stock issued to Polaris Venture Partners Entrepreneurs' Fund V, L.P., 31,996 shares of Series C preferred stock issued to Polaris Venture Partners Founders' Fund V, L.P. and 46,710 shares of Series C preferred stock issued to Polaris Venture Partners Special Founders' Fund V, L.P.

Investor Rights Agreement

        We have entered into an investor rights agreement, as amended, with our former preferred stockholders, including entities affiliated with Alta Partners VIII, L.P., Actavis plc (formerly Forest Laboratories Holdings Limited), HealthCare Ventures VIII, L.P., New Enterprise Associates 12, Limited Partnership and Polaris Venture Partners V, L.P., pursuant to which we granted rights to register the resale of their shares and other rights. The provisions of this agreement other than those relating to registration rights terminated upon the completion of our IPO.

        For more information regarding the registration rights provided in this agreement, please refer to the section entitled "Description of Capital Stock—Registration Rights." This summary discusses certain material provisions of the investor rights agreement and is qualified by the full text of the agreement filed as an exhibit to the registration statement of which this prospectus is a part.

Indemnification Agreements

        Our amended and restated certificate of incorporation contains provisions limiting the liability of our directors, and our amended and restated bylaws provide that we will indemnify each of our directors to the fullest extent permitted under Delaware law. Our amended and restated certificate of incorporation and amended and restated bylaws also provide our board of directors with discretion to indemnify our officers and employees when determined appropriate by the board.

147


Table of Contents

        In addition, we have entered into an indemnification agreement with each of our directors. For more information regarding these agreements, see "Executive Compensation—Limitations on Liability and Indemnification Matters."

Related Person Transaction Policy

        We have adopted a related person transaction policy that sets forth our procedures for the identification, review, consideration and approval or ratification of related person transactions. For purposes of our policy only, a related person transaction is a transaction, arrangement or relationship, or any series of similar transactions, arrangements or relationships, in which we and any related person are, were or will be participants in which the amount involved exceeds $120,000. Transactions involving compensation for services provided to us as an employee or director are not covered by this policy. A related person is any executive officer, director or beneficial owner of more than 5% of any class of our voting securities, including any of their immediate family members and any entity owned or controlled by such persons.

        Under the policy, if a transaction has been identified as a related person transaction, including any transaction that was not a related person transaction when originally consummated or any transaction that was not initially identified as a related person transaction prior to consummation, our management must present information regarding the related person transaction to our audit committee, or, if audit committee approval would be inappropriate, to another independent body of our board of directors, for review, consideration and approval or ratification. The presentation must include a description of, among other things, the material facts, the interests, direct and indirect, of the related persons, the benefits to us of the transaction and whether the transaction is on terms that are comparable to the terms available to or from, as the case may be, an unrelated third party or to or from employees generally. Under the policy, we will collect information that we deem reasonably necessary from each director, executive officer and, to the extent feasible, significant stockholder to enable us to identify any existing or potential related-person transactions and to effectuate the terms of the policy. In addition, under our Code of Business Conduct and Ethics, our employees and directors have an affirmative responsibility to disclose any transaction or relationship that reasonably could be expected to give rise to a conflict of interest. In considering related person transactions, our audit committee, or other independent body of our board of directors, will take into account the relevant available facts and circumstances including, but not limited to:

    •
    the risks, costs and benefits to us;

    •
    the impact on a director's independence in the event that the related person is a director, immediate family member of a director or an entity with which a director is affiliated;

    •
    the availability of other sources for comparable services or products; and

    •
    the terms available to or from, as the case may be, unrelated third parties or to or from employees generally.

        The policy requires that, in determining whether to approve, ratify or reject a related person transaction, our audit committee, or other independent body of our board of directors, must consider, in light of known circumstances, whether the transaction is in, or is not inconsistent with, our best interests and those of our stockholders, as our audit committee, or other independent body of our board of directors, determines in the good faith exercise of its discretion.

148


Table of Contents


PRINCIPAL STOCKHOLDERS

        The following table sets forth the beneficial ownership of our common stock as of September 30, 2014 by:

    •
    each person, or group of affiliated persons, who is known by us to beneficially own more than 5% of our common stock;

    •
    each of our named executive officers;

    •
    each of our directors; and

    •
    all of our current executive officers and directors as a group.

        The percentage ownership information shown in the table before this offering is based upon 26,376,626 shares of common stock outstanding as of September 30, 2014. The percentage ownership information shown in the table after this offering is based upon        shares of common stock to be issued and outstanding immediately after the closing of this offering, assuming a public offering price of $        per share, which was the last reported sale price of our common stock on the NASDAQ Global Select Market on                        , 2014.

        We have determined beneficial ownership in accordance with the rules of the SEC. These rules generally attribute beneficial ownership of securities to persons who possess sole or shared voting power or investment power with respect to those securities. In addition, the rules include shares of common stock issuable pursuant to the exercise of stock options or warrants that are either immediately exercisable or exercisable on or before November 29, 2014, which is 60 days after September 30, 2014. These shares are deemed to be outstanding and beneficially owned by the person holding those options or warrants for the purpose of computing the percentage ownership of that person, but they are not treated as outstanding for the purpose of computing the percentage ownership of any other person. Unless otherwise indicated, the persons or entities identified in this table have sole voting and investment power with respect to all shares shown as beneficially owned by them, subject to applicable community property laws.

        This table is based upon information supplied by officers, directors and principal stockholders and filings made with the SEC. Unless otherwise noted, the address for each director and executive officer is c/o Trevena, Inc., 1018 West 8th Avenue, Suite A, King of Prussia, Pennsylvania 19406.

 
   
  Percentage of
Shares Beneficially
Owned
 
 
  Number of
Shares
Beneficially
Owned
 
Name of Beneficial Owner
  Before
Offering
  After
Offering
 

Principal Stockholders:

                   

Alta Partners VIII, L.P.(1)

    3,890,262     14.7 %      

New Enterprise Associates 12, Limited Partnership(2)

    3,811,691     14.5        

Polaris Venture Partners V, L.P. and its affiliated entities(3)

    3,811,682     14.5        

Forest Laboratories Holdings Limited(4)

    3,393,466     12.9        

HealthCare Ventures VIII, L.P.(5)

    2,446,251     9.3        

Named Executive Officers and Directors:

                   

Maxine Gowen, Ph.D.(6)

    619,796     2.3        

Michael W. Lark, Ph.D.(7)

    195,611     *        

David Soergel, M.D.(8)

    126,532     *        

Leon O. Moulder, Jr.(9)

    12,094     *        

Farah Champsi(10)

    3,890,262     14.7        

Michael R. Dougherty(11)

    5,914     *        

Adam M. Koppel, M.D., Ph.D.(12). 

                     *        

Julie H. McHugh(13)

    1,478     *        

Francois Nader, M.D.(14)

    4,435     *        

Jake R. Nunn(15)

    3,811,691     14.5        

Barbara Yanni(16)

    1,478     *        

All current directors and executive officers as a group(17) (14 individuals total)

    8,837,791     79.9        

*
Represents beneficial ownership of less than 1%.

149


Table of Contents

(1)
Based on a Schedule 13D filed with the SEC on February 18, 2014, consists of 3,890,262 shares of common stock held of record by Alta Partners VIII, L.P. Alta Partners Management VIII, LLC is the general partner of Alta Partners VIII, L.P. Guy Nohra, Daniel Janney and Farah Champsi, a member of our board of directors, are managing directors of Alta Partners Management VIII, LLC and exercise shared voting and investment powers with respect to the shares owned by Alta Partners VIII, L.P. Each of the reporting persons disclaims beneficial ownership of such shares, except to the extent of their proportionate pecuniary interest therein, if any. The principal business address of the beneficial owner is One Embarcadero Center, 37th Floor San Francisco, CA 94111.

(2)
Based on a Schedule 13D filed with the SEC on February 12, 2014, consists of 3,811,691 shares of common stock held of record by New Enterprise Associates 12, Limited Partnership, or NEA 12. NEA Partners 12, Limited Partnership, or NEA Partners 12, is the general partner of NEA 12. NEA 12 GP, LLC, or NEA 12 LLC, is the general partner of NEA Partners 12. The individual Managers, or the Managers, of NEA 12 LLC are M. James Barrett, Peter J. Barris, Forest Baskett, Ryan D. Drant, Patrick J. Kerins, Krishna Kolluri and Scott D. Sandell. The Managers share voting and dispositive power with regard to the shares held directly by NEA 12. The principal business address of the beneficial owner is 1954 Greenspring Drive, Suite 600, Timonium, MD 21093.

(3)
Based on a Schedule 13D filed with the SEC on May 5, 2014, consists of (i) 3,678,030 shares of common stock held of record by Polaris Venture Partners V, L.P., or Polaris V, (ii) 71,682 shares of common stock held of record by Polaris Venture Partners Entrepreneurs' Fund V, L.P., or Polaris EFund V, (ii) 25,192 shares of common stock held of record by Polaris Venture Partners Founders' Fund V, L.P., or Polaris FFund V, and (iii) 36,778 shares of common stock held of record by Polaris Venture Partners Special Founders' Fund V, L.P., or Polaris SFFund V and, together with Polaris V, Polaris EFund V and Polaris FFund V, the Polaris Funds. Each of the Polaris Funds has the sole voting and investment power with respect to the shares directly held by it. The general partner of each of the Polaris Funds is Polaris Venture Management Co. V, LLC, or Polaris Management. Polaris Management may be deemed to have sole voting and investment power with respect to the shares held by the Polaris Funds, and disclaims beneficial ownership of all the shares held by the Polaris Funds except to the extent of its proportionate pecuniary interest therein. The members of North Star Venture Management 2000, LLC are Terrence McGuire and Jonathan Flint, who we refer to collectively as the Management Members, are also members of Polaris Management, and as members of the general partner, they may be deemed to share voting and investment power over the shares held by the Polaris Funds. The Management Members disclaim beneficial ownership of such shares, except to the extent of their proportionate pecuniary interest therein. The principal business address of the beneficial owner is 1000 Winter St., Waltham, MA 02451.

(4)
Based on a Schedule 13D filed with the SEC on February 18, 2014, consists of 3,393,466 shares of common stock held of record by Forest Laboratories Holdings Limited, or Forest. In July 2014, Actavis plc acquired Forest. The principal business address of the beneficial owner is Cumberland House, 9(th) Floor, 1 Victoria Street, Hamilton HM11, Bermuda.

(5)
Based on a Form 4 filed with the SEC on February 7, 2014, consists of 2,446,251 shares of common stock held of record by HealthCare Ventures VIII, L.P. HealthCare Partners VIII LLC is the general partner of HealthCare Partners VIII, L.P. which is the general partner of HealthCare Ventures VIII, L.P. Christopher Mirabelli, James Cavanaugh, Augustine Lawlor, John Littlechild and Harold Werner share voting and investment authority over the shares held by HealthCare Ventures VIII, L.P. The principal business address of the beneficial owner is 47 Thorndike Street, Suite B1-1, Cambridge, MA 02141.

(6)
Consists of 318,025 shares of common stock and 301,771 shares of common stock issuable upon the exercise of options exercisable within 60 days after September 30, 2014.

(7)
Consists of 80,645 shares of common stock and 114,966 shares of common stock issuable upon the exercise of options exercisable within 60 days after September 30, 2014.

(8)
Consists of 27,217 shares of common stock and 99,315 shares of common stock issuable upon the exercise of options exercisable within 60 days after September 30, 2014.

(9)
Consists of shares of common stock issuable upon the exercise of options exercisable within 60 days after September 30, 2014.

150


Table of Contents

(10)
Consists of the shares described in note 1 above. Ms. Champsi is a Managing Director of Alta Partners VIII, L.P. and as such Ms. Champsi may be deemed to share voting and dispositive power with respect to all shares held by this entity. Ms. Champsi disclaims beneficial ownership of such shares except to the extent of any pecuniary interest therein. Ms. Champsi's business address is One Embarcadero Center, 37th Floor, San Francisco, CA 94111.

(11)
Consists of shares of common stock issuable upon the exercise of options exercisable within 60 days after September 30, 2014.

(12)
Consists of shares of common stock issuable upon the exercise of options exercisable within 60 days after September 30, 2014.

(13)
Consists of shares of common stock issuable upon the exercise of options exercisable within 60 days after September 30, 2014.

(14)
Consists of the shares described in note 2 above. Mr. Nunn is a Partner of New Enterprise Associates, Inc. Mr. Nunn does not have voting or dispositive power with regard to any of the shares directly held by NEA 12 referenced in note 2 above. Mr. Nunn's business address is 2855 Sand Hill Road, Menlo Park, CA 94025.

(15)
Consists of shares of common stock issuable upon the exercise of options exercisable within 60 days after September 30, 2014.

(17)
Consists of 8,158,989 shares of common stock, and 678,802 shares of common stock issuable upon the exercise of options exercisable within 60 days after September 30, 2014.

151


Table of Contents


DESCRIPTION OF CAPITAL STOCK

        The following description of our capital stock and provisions of our amended and restated certificate of incorporation and amended and restated bylaws are summaries. You should also refer to the amended and restated certificate of incorporation and the amended and restated bylaws, which are filed as exhibits to the registration statement of which this prospectus is a part.

General

        Our amended and restated certificate of incorporation authorizes us to issue up to 100,000,000 shares of common stock, $0.001 par value per share, and 5,000,000 shares of preferred stock, $0.001 par value per share, all of which shares of preferred stock are undesignated. Our board of directors may establish the rights and preferences of the preferred stock from time to time. As of September 30, 2014, there were 26,376,626 shares of common stock issued and outstanding, held of record by 40 stockholders. The actual number of stockholders is greater than this number of record holders, and includes stockholders who are beneficial owners, but whose shares are held in street name by brokers and other nominees. This number of holders of record also does not include stockholders whose shares may be held in trust by other entities. As of September 30, 2014, there were no shares of preferred stock outstanding.

Common Stock

Voting Rights

        Each holder of our common stock is entitled to one vote for each share on all matters submitted to a vote of the stockholders, including the election of directors. Under our amended and restated certificate of incorporation and amended and restated bylaws, our stockholders do not have cumulative voting rights. Because of this, the holders of a majority of the shares of common stock entitled to vote in any election of directors can elect all of the directors standing for election, if they should so choose. In addition, the affirmative vote of the holders of at least 662/3% of the voting power of all of the then outstanding voting stock is required to take certain actions, including amending certain provisions of our amended and restated certificate of incorporation, such as the provisions relating to the classified board and director liability, amending our bylaws, removing directors without cause or changing the Court of Chancery of the State of Delaware from being the sole and exclusive forum for certain actions brought by our stockholders against us or our directors, officers or employees.

Dividends

        Subject to preferences that may be applicable to any then-outstanding preferred stock, holders of common stock are entitled to receive ratably those dividends, if any, as may be declared from time to time by the board of directors out of legally available funds. Our ability to pay dividends, other than dividends payable solely in capital stock, is currently prohibited by the terms of our term loan credit facility with Oxford Finance LLC and Square 1 Bank.

Liquidation

        In the event of our liquidation, dissolution or winding up, holders of common stock will be entitled to share ratably in the net assets legally available for distribution to stockholders after the payment of all of our debts and other liabilities and the satisfaction of any liquidation preference granted to the holders of any then-outstanding shares of preferred stock.

152


Table of Contents

Rights and Preferences

        Holders of common stock have no preemptive, conversion or subscription rights and there are no redemption or sinking fund provisions applicable to the common stock. The rights, preferences and privileges of the holders of common stock are subject to, and may be adversely affected by, the rights of the holders of shares of any series of preferred stock that we may designate in the future.

Preferred Stock

        Our board of directors has the authority, without further action by our stockholders, to issue up to 5,000,000 shares of preferred stock in one or more series, to establish from time to time the number of shares to be included in each such series, to fix the rights, preferences and privileges of the shares of each wholly unissued series and any qualifications, limitations or restrictions thereon, and to increase or decrease the number of shares of any such series, but not below the number of shares of such series then outstanding.

        Our board of directors may authorize the issuance of preferred stock with voting or conversion rights that could adversely affect the voting power or other rights of the holders of our common stock. The purpose of authorizing our board of directors to issue preferred stock and determine its rights and preferences is to eliminate delays associated with a stockholder vote on specific issuances. The issuance of preferred stock, while providing flexibility in connection with possible acquisitions and other corporate purposes, could, among other things, have the effect of delaying, deferring or preventing a change in control of us and may adversely affect the market price of our common stock and the voting and other rights of the holders of our common stock. It is not possible to state the actual effect of the issuance of any shares of preferred stock on the rights of holders of common stock until the board of directors determines the specific rights attached to that preferred stock.

        We have no present plans to issue any shares of preferred stock.

Options

        As of September 30, 2014, there were options to purchase an aggregate of 3,552,124 shares of our common stock outstanding at a weighted average exercise price of $3.72 per share, issued pursuant to our 2008 Equity Incentive Plan and 2013 Equity Incentive Plan. For additional information regarding the terms of these plan, see "Executive Compensation—Equity Incentive Plans."

Warrants

        We have outstanding an immediately exercisable warrant to purchase 20,161 shares of our common stock at an exercise price of $6.20 per share, which expires in December 2021. We refer to this warrant as the Comerica warrant. We also have outstanding an immediately exercisable warrant to purchase an aggregate of 2,419 shares of our common stock at an exercise price of $0.06 per share, which warrant expires in June 2018. We refer to this warrant as the SVB warrant.

        The SVB warrant has a net exercise provision under which the holder may, in lieu of payment of the exercise price in cash, surrender the warrant and receive a net amount of shares based on the fair market value of our stock at the time of exercise of the warrant after deduction of the aggregate exercise price. Each of the Comerica warrant and the SVB warrant also contain provisions for the adjustment of the exercise price and the number of shares issuable upon the exercise of the warrant in the event of certain stock dividends, stock splits, reorganizations, reclassifications and consolidations. We have also granted registration rights to the SVB and Comerica warrant holders, as more fully described below under "—Registration Rights."

        In connection with entering into a credit facility in September 2014, we issued warrants to purchase 7,678 shares of our common stock at a price of $5.8610 per share, which expire in September

153


Table of Contents

2024, to Oxford Finance LLC, Square 1 Bank and Three Point Capital, LLC. If we draw additional funds under the facility, we would be required to issue additional warrants to these parties, up to a maximum number of warrants to purchase 126,685 shares of our common stock.

Registration Rights

        We and certain holders of our common stock are parties to an investor rights agreement. The registration rights provisions of this agreement provide those holders with demand and piggyback registration rights with respect to the shares of common stock currently held by them.

        Pursuant to the terms of the Comerica warrant and the SVB warrant, the holders of such warrants have piggyback registration rights, and, in some cases, demand registration rights with respect to the shares of common stock issuable upon exercise of such warrants on the same terms as are set forth in the investor rights agreement.

Demand Registration Rights

        Pursuant to the terms of the investor rights agreement, parties thereto who hold at least 181,452 shares of our common stock in the aggregate have the right to demand that we file up to a total of two registration statements, as long as the anticipated aggregate offering price, net of underwriting discounts and commissions, would exceed $5,000,000. These registration rights are subject to specified conditions and limitations, including the right of the underwriters, if any, to limit the number of shares included in any such registration under specified circumstances. Upon such a request, we are required to effect the registration as expeditiously as reasonably possible. An aggregate of 15,210,498 shares of common stock are entitled to these demand registration rights.

Piggyback Registration Rights

        If we propose to register any of our securities under the Securities Act either for our own account or for the account of other stockholders, the holders of registrable securities will each be entitled to notice of the registration and will be entitled to include their shares of common stock in the registration statement. These piggyback registration rights are subject to specified conditions and limitations, including the right of the underwriters to limit the number of shares included in any such registration under specified circumstances. An aggregate of 15,210,498 shares of common stock and 22,580 shares of our common stock issuable upon the exercise of outstanding warrants are entitled to these piggyback registration rights.

Registration on Form S-3

        At any time after we become eligible to file a registration statement on Form S-3, holders of registrable securities will be entitled, upon their written request, to have such shares registered by us on a Form S-3 registration statement at our expense, provided that such requested registration has an anticipated aggregate offering size to the public of at least $1,000,000 and subject to other specified conditions and limitations. Registrations effected on Form S-3 will not reduce the number of demand registrations allowed, as described under "Demand Registration Rights" above. An aggregate of 15,210,498 shares of common stock and 22,580 shares of our common stock issuable upon the exercise of outstanding warrants are entitled to these Form S-3 registration rights.

Expenses of Registration

        We will pay all expenses relating to any demand, piggyback or Form S-3 registration, other than underwriting discounts and commissions, subject to specified conditions and limitations.

154


Table of Contents

Termination of Registration Rights

        The registration rights granted under the investor rights agreement will terminate in February 2017 or, if earlier, with respect to a particular holder, at such time as that holder holds less than 1% of our common stock and such holder and its affiliates may sell all of their shares of common stock pursuant to Rule 144 under the Securities Act of 1933, as amended, without any restriction during any 90-day period.

Anti-Takeover Provisions

Section 203 of the Delaware General Corporation Law

        We are subject to Section 203 of the Delaware General Corporation Law, which prohibits a Delaware corporation from engaging in any business combination with any interested stockholder for a period of three years after the date that such stockholder became an interested stockholder, with the following exceptions:

    •
    before such date, the board of directors of the corporation approved either the business combination or the transaction that resulted in the stockholder becoming an interested stockholder;

    •
    upon completion of the transaction that resulted in the stockholder becoming an interested stockholder, the interested stockholder owned at least 85% of the voting stock of the corporation outstanding at the time the transaction began, excluding for purposes of determining the voting stock outstanding, but not the outstanding voting stock owned by the interested stockholder, those shares owned (i) by persons who are directors and also officers and (ii) employee stock plans in which employee participants do not have the right to determine confidentially whether shares held subject to the plan will be tendered in a tender or exchange offer; or

    •
    on or after such date, the business combination is approved by the board of directors and authorized at an annual or special meeting of the stockholders, and not by written consent, by the affirmative vote of at least 662/3% of the outstanding voting stock that is not owned by the interested stockholder.

        In general, Section 203 defines a "business combination" to include the following:

    •
    any merger or consolidation involving the corporation and the interested stockholder;

    •
    any sale, transfer, pledge or other disposition of 10% or more of the assets of the corporation involving the interested stockholder;

    •
    subject to certain exceptions, any transaction that results in the issuance or transfer by the corporation of any stock of the corporation to the interested stockholder;

    •
    any transaction involving the corporation that has the effect of increasing the proportionate share of the stock or any class or series of the corporation beneficially owned by the interested stockholder; or

    •
    the receipt by the interested stockholder of the benefit of any loans, advances, guarantees, pledges or other financial benefits by or through the corporation.

        In general, Section 203 defines an "interested stockholder" as an entity or person who, together with the person's affiliates and associates, beneficially owns, or within three years prior to the time of determination of interested stockholder status did own, 15% or more of the outstanding voting stock of the corporation.

155


Table of Contents

Amended and Restated Certificate of Incorporation and Amended and Restated Bylaws

        Our amended and restated certificate of incorporation, or our restated certificate, provides for our board of directors to be divided into three classes with staggered three-year terms. Only one class of directors will be elected at each annual meeting of our stockholders, with the other classes continuing for the remainder of their respective three-year terms. Because our stockholders do not have cumulative voting rights, stockholders holding a majority of the shares of common stock outstanding will be able to elect all of our directors. Our restated certificate and our amended and restated bylaws, or our restated bylaws, also provide that directors may be removed by the stockholders only for cause upon the vote of 662/3% or more of our outstanding common stock. Furthermore, the authorized number of directors may be changed only by resolution of the board of directors, and vacancies and newly created directorships on the board of directors may, except as otherwise required by law or determined by the board, only be filled by a majority vote of the directors then serving on the board, even though less than a quorum.

        Our restated certificate and restated bylaws also provide that all stockholder actions must be effected at a duly called meeting of stockholders and will eliminate the right of stockholders to act by written consent without a meeting. Our restated bylaws also provide that only our chairman of the board, chief executive officer or the board of directors pursuant to a resolution adopted by a majority of the total number of authorized directors may call a special meeting of stockholders.

        Our restated bylaws also provide that stockholders seeking to present proposals before a meeting of stockholders to nominate candidates for election as directors at a meeting of stockholders must provide timely advance notice in writing, and will specify requirements as to the form and content of a stockholder's notice.

        Our restated certificate and restated bylaws provide that the stockholders cannot amend many of the provisions described above except by a vote of 662/3% or more of our outstanding common stock.

        The combination of these provisions makes it more difficult for our existing stockholders to replace our board of directors as well as for another party to obtain control of us by replacing our board of directors. Since our board of directors has the power to retain and discharge our officers, these provisions could also make it more difficult for existing stockholders or another party to effect a change in management. In addition, the authorization of undesignated preferred stock makes it possible for our board of directors to issue preferred stock with voting or other rights or preferences that could impede the success of any attempt to effect a change of control of our company.

        These provisions are intended to enhance the likelihood of continued stability in the composition of our board of directors and its policies and to discourage coercive takeover practices and inadequate takeover bids. These provisions are also designed to reduce our vulnerability to hostile takeovers and to discourage certain tactics that may be used in proxy fights. However, such provisions could have the effect of discouraging others from making tender offers for our shares and may have the effect of delaying changes in our control or management. As a consequence, these provisions may also inhibit fluctuations in the market price of our stock that could result from actual or rumored takeover attempts. We believe that the benefits of these provisions, including increased protection of our potential ability to negotiate with the proponent of an unfriendly or unsolicited proposal to acquire or restructure our company, outweigh the disadvantages of discouraging takeover proposals, because negotiation of takeover proposals could result in an improvement of their terms.

Choice of Forum

        Our amended and restated certificate of incorporation provides that the Court of Chancery of the state of Delaware will be the exclusive forum for: any derivative action or proceeding brought on our behalf; any action asserting a breach of fiduciary duty; any action asserting a claim against us arising

156


Table of Contents

pursuant to the Delaware General Corporation Law, our amended and restated certificate of incorporation, or our amended and restated bylaws; or any action asserting a claim against us that is governed by the internal affairs doctrine. The enforceability of similar choice of forum provisions in certain other companies' certificates of incorporation has been challenged in legal proceedings, and it is possible that, in connection with any action, a court could find the choice of forum provisions contained in our amended and restated certificate of incorporation to be inapplicable or unenforceable in such action.

Transfer Agent and Registrar

        The transfer agent and registrar for our common stock is Continental Stock Transfer & Trust Company. The transfer agent's address is 17 Battery Place, 8th Floor, New York, NY 10004.

Stock Exchange Listing

        Our common stock is listed on the NASDAQ Global Select Market under the trading symbol "TRVN."

157


Table of Contents


SHARES ELIGIBLE FOR FUTURE SALE

        Prior to the completion of our IPO in January 2014, there was no public market for our common stock and a liquid trading market for our common stock may not develop or be sustained after this offering. Future sales of substantial amounts of our common stock in the public market, including shares issued upon exercise of outstanding options and warrants, or the anticipation of these sales, could adversely affect prevailing market prices from time to time and could impair our ability to raise equity capital in the future.

        Based on the number of shares outstanding on September 30, 2014 and an assumed public offering price of $            per share, which was the last reported sale price of our common stock on the NASDAQ Global Select Market on                        , 2014, upon completion of this offering and assuming no exercise of the underwriters' option to purchase additional shares,                         shares of common stock will be outstanding, assuming no outstanding options or warrants are exercised. Of those shares, all of the shares of common stock sold in this offering and all 9,250,000 shares sold in our IPO will be freely tradable without restrictions or further registration under the Securities Act, except for any shares sold to our "affiliates," as that term is defined under Rule 144 under the Securities Act. The remaining shares of common stock held by existing stockholders are "restricted securities," as that term is defined in Rule 144 under the Securities Act. Restricted securities may be sold in the public market only if registered or if their resale qualifies for exemption from registration described below under Rule 144 promulgated under the Securities Act.

        As a result of contractual restrictions described below and the provisions of Rules 144 and 701, the shares sold in this offering and the restricted securities will be available for sale in the public market as follows:

    •
    the shares sold in this offering and the 9,250,000 shares sold in our IPO, except for any shares of our common stock purchased by certain of our existing stockholders, which will be subject to lock-up agreements, and 1,459,092 of the existing restricted shares will be eligible for immediate sale upon the completion of this offering; and

    •
    17,810,388 restricted shares will be eligible for sale in the public market upon expiration of lock-up agreements 90 days after the date of this prospectus, subject in certain circumstances to the volume, manner of sale and other limitations under Rule 144 and Rule 701.

Rule 144

        In general, persons who have beneficially owned restricted shares of our common stock for at least six months, and any affiliate of the company who owns either restricted or unrestricted shares of our common stock, are entitled to sell their securities without registration with the SEC under an exemption from registration provided by Rule 144 under the Securities Act.

Non-Affiliates

        Any person who is not deemed to have been one of our affiliates at the time of, or at any time during the three months preceding, a sale may sell an unlimited number of restricted securities under Rule 144 if:

    •
    the restricted securities have been held for at least six months, including the holding period of any prior owner other than one of our affiliates;

    •
    we have been subject to the Exchange Act periodic reporting requirements for at least 90 days before the sale; and

    •
    we are current in our Exchange Act reporting at the time of sale.

        Any person who is not deemed to have been an affiliate of ours at the time of, or at any time during the three months preceding, a sale and has held the restricted securities for at least one year, including the holding period of any prior owner other than one of our affiliates, will be entitled to sell

158


Table of Contents

an unlimited number of restricted securities without regard to the length of time we have been subject to Exchange Act periodic reporting or whether we are current in our Exchange Act reporting.

Affiliates

        Persons seeking to sell restricted securities who are our affiliates at the time of, or any time during the three months preceding, a sale, would be subject to the restrictions described above. They are also subject to additional restrictions, by which such person would be required to comply with the manner of sale and notice provisions of Rule 144 and would be entitled to sell within any three-month period only that number of securities that does not exceed the greater of either of the following:

    •
    1% of the number of shares of our common stock then outstanding, which will equal approximately                        shares immediately after the completion of this offering based on the number of shares outstanding as of September 30, 2014; or

    •
    the average weekly trading volume of our common stock on the NASDAQ Global Select Market during the four calendar weeks preceding the filing of a notice on Form 144 with respect to the sale.

        Additionally, persons who are our affiliates at the time of, or any time during the three months preceding, a sale may sell unrestricted securities under the requirements of Rule 144 described above, without regard to the six month holding period of Rule 144, which does not apply to sales of unrestricted securities.

Rule 701

        In general, under Rule 701 of the Securities Act, any of our stockholders who purchased shares from us in connection with a qualified compensatory stock plan or other written agreement before we became subject to the reporting requirements of Section 13 or 15(d) of the Exchange Act is eligible to resell those shares in reliance on Rule 144. An affiliate of the issuer can resell shares in reliance on Rule 144 without having to comply with the holding period requirements of Rule 144, and a non-affiliate of the issuer can resell shares in reliance on Rule 144 without having to comply with the holding period requirements of Rule 144 and without regard to the volume of such sales or the availability of public information about the issuer.

Form S-8 Registration Statements

        We have filed with the SEC two registration statements on Form S-8 under the Securities Act to register approximately 4.8 million shares of our common stock that are issuable pursuant to our 2008 plan and 2013 plan. Shares covered by these registration statements are eligible for sale in the public markets, subject to vesting restrictions, any applicable lock-up agreements described below and Rule 144 limitations applicable to affiliates.

Lock-Up Agreements

        We and our executive officers, directors and stockholders associated with some of our affiliates have entered into lock-up agreements with the underwriters or otherwise agreed, subject to certain exceptions, that we and they will not, directly or indirectly, offer, sell, contract to sell, pledge, grant any option to purchase, make any short sale or otherwise dispose of or hedge any of our shares of common stock, any options or warrants to purchase shares of our common stock, or any securities convertible into, or exchangeable for or that represent the right to receive shares of our common stock, without the prior written consent of Barclays Capital Inc. for a period of 90 days from the date of this prospectus.

Registration Rights

        The holders of approximately 15.2 million shares of our common stock and 22,580 shares of our common stock issuable upon the exercise of outstanding warrants, or their transferees, will be entitled to specified rights with respect to the registration of their shares under the Securities Act. Registration of these shares under the Securities Act would result in the shares becoming freely tradable without restriction under the Securities Act immediately upon the effectiveness of the registration. See "Description of Capital Stock—Registration Rights" for additional information.

159


Table of Contents


MATERIAL U.S. FEDERAL INCOME TAX CONSEQUENCES TO NON-U.S. HOLDERS

        The following is a general discussion of the material U.S. federal income and estate tax considerations applicable to non-U.S. holders with respect to their ownership and disposition of shares of our common stock issued pursuant to this offering. All prospective non-U.S. holders of our common stock should consult their own tax advisors with respect to the U.S. federal, state, local and non-U.S. tax consequences of the purchase, ownership and disposition of our common stock. In general, a non-U.S. holder means a beneficial owner of our common stock (other than a partnership or an entity or arrangement treated as a partnership for U.S. federal income tax purposes) that is not, for U.S. federal income tax purposes:

    •
    an individual who is a citizen or resident of the United States;

    •
    a corporation, or an entity treated as a corporation for U.S. federal income tax purposes, created or organized in the United States or under the laws of the United States or of any state thereof or the District of Columbia;

    •
    an estate, the income of which is subject to U.S. federal income tax regardless of its source; or

    •
    a trust if (1) a U.S. court can exercise primary supervision over the trust's administration and one or more U.S. persons have the authority to control all of the trust's substantial decisions or (2) the trust has a valid election in effect under applicable U.S. Treasury Regulations to be treated as a U.S. person.

        This discussion is based on current provisions of the U.S. Internal Revenue Code of 1986, as amended, which we refer to as the Code, existing U.S. Treasury Regulations promulgated thereunder, published administrative rulings and judicial decisions, all as in effect as of the date of this prospectus. These laws are subject to change and to differing interpretation, possibly with retroactive effect. Any change or differing interpretation could alter the tax consequences to non-U.S. holders described in this prospectus.

        We assume in this discussion that a non-U.S. holder holds shares of our common stock as a capital asset within the meaning of Section 1221 of the Code (generally, for investment). This discussion does not address all aspects of U.S. federal income and estate taxation that may be relevant to a particular non-U.S. holder in light of that non-U.S. holder's individual circumstances, nor does it address any aspects of U.S. state, local or non-U.S. taxes. This discussion also does not consider any specific facts or circumstances that may apply to a non-U.S. holder and does not address the special tax rules applicable to particular non-U.S. holders, such as holders that own, or are deemed to own, more than 5% of our capital stock (except to the extent specifically set forth below), corporations that accumulate earnings to avoid U.S. federal income tax, tax-exempt organizations, banks, financial institutions, insurance companies, brokers, dealers or traders in securities, commodities or currencies, tax-qualified retirement plans, holders subject to the alternative minimum tax or Medicare contribution tax, holders who hold or receive our common stock pursuant to the exercise of employee stock options or otherwise as compensation, holders holding our common stock as part of a hedge, straddle or other risk reduction strategy, conversion transaction or other integrated investment, holders deemed to sell our common stock under the constructive sale provisions of the Code, controlled foreign corporations, passive foreign investment companies, entities that are treated as disregarded entities for U.S. federal income tax purposes (regardless of their places of organization or formation) and certain former U.S. citizens or long-term residents.

        In addition, this discussion does not address the tax treatment of partnerships (or entities or arrangements that are treated as partnerships for U.S. federal income tax purposes) or persons that hold their common stock through such partnerships. If a partnership, including any entity or arrangement treated as a partnership for U.S. federal income tax purposes, holds shares of our common stock, the U.S. federal income tax treatment of a partner in such partnership will generally

160


Table of Contents

depend upon the status of the partner and the activities of the partnership. Such partners and partnerships should consult their own tax advisors regarding the tax consequences of the purchase, ownership and disposition of our common stock.

        There can be no assurance that the Internal Revenue Service, which we refer to as the IRS, will not challenge one or more of the tax consequences described herein, and we have not obtained, nor do we intend to obtain, a ruling with respect to the U.S. federal income or estate tax consequences to a non-U.S. holder of the purchase, ownership or disposition of our common stock.

Distributions on Our Common Stock

        Distributions, if any, on our common stock generally will constitute dividends for U.S. federal income tax purposes to the extent paid from our current or accumulated earnings and profits, as determined under U.S. federal income tax principles. If a distribution exceeds our current and accumulated earnings and profits, the excess will be treated as a tax-free return of the non-U.S. holder's investment, up to such holder's adjusted tax basis in the common stock. Any remaining excess will be treated as capital gain from the sale or exchange of such common stock, subject to the tax treatment described below in "Gain on Sale, Exchange or Other Disposition of Our Common Stock."

        Subject to the discussion below regarding backup withholding and foreign accounts, dividends paid to a non-U.S. holder will generally be subject to withholding of U.S. federal income tax at a 30% rate or such lower rate as may be specified by an applicable income tax treaty between the United States and such holder's country of residence.

        Dividends that are treated as effectively connected with a trade or business conducted by a non-U.S. holder within the United States and, if an applicable income tax treaty so provides, that are attributable to a permanent establishment or a fixed base maintained by the non-U.S. holder within the United States, are generally exempt from the 30% withholding tax if the non-U.S. holder satisfies applicable certification and disclosure requirements. However, such U.S. effectively connected income, net of specified deductions and credits, is taxed at the same graduated U.S. federal income tax rates applicable to U.S. persons (as defined in the Code). Any U.S. effectively connected income received by a non-U.S. holder that is a corporation may also, under certain circumstances, be subject to an additional "branch profits tax" at a 30% rate or such lower rate as may be specified by an applicable income tax treaty between the United States and such holder's country of residence.

        A non-U.S. holder of our common stock who claims the benefit of an applicable income tax treaty between the United States and such holder's country of residence generally will be required to provide a properly executed IRS Form W-8BEN (or successor form) and satisfy applicable certification and other requirements. Non-U.S. holders are urged to consult their tax advisors regarding their entitlement to benefits under a relevant income tax treaty.

        A non-U.S. holder that is eligible for a reduced rate of U.S. withholding tax under an income tax treaty may obtain a refund or credit of any excess amounts withheld by timely filing an appropriate claim for refund with the IRS.

Gain on Sale, Exchange or Other Disposition of Our Common Stock

        Subject to the discussion below regarding backup withholding and foreign accounts, in general, a non-U.S. holder will not be subject to any U.S. federal income tax on any gain realized upon such holder's sale, exchange or other disposition of shares of our common stock unless:

    •
    the gain is effectively connected with a U.S. trade or business of the non-U.S. holder and, if an applicable income tax treaty so provides, is attributable to a permanent establishment or a fixed base maintained in the United States by such non-U.S. holder, in which case the non-U.S. holder generally will be taxed at the graduated U.S. federal income tax rates applicable to U.S.

161


Table of Contents

      persons (as defined in the Code) and, if the non-U.S. holder is a foreign corporation, the branch profits tax described above in "Distributions on Our Common Stock" also may apply;

    •
    the non-U.S. holder is a nonresident alien individual who is present in the United States for 183 days or more in the taxable year of the disposition and certain other conditions are met, in which case the non-U.S. holder will be subject to a 30% tax (or such lower rate as may be specified by an applicable income tax treaty) on the net gain derived from the disposition, which may be offset by U.S. source capital losses of the non-U.S. holder, if any (even though the individual is not considered a resident of the United States); or

    •
    our common stock constitutes a U.S. real property interest because we are, or have been, at any time during the five-year period preceding such disposition (or the non-U.S. holder's holding period, if shorter) a "U.S. real property holding corporation." Even if we are or become a U.S. real property holding corporation, provided that our common stock is regularly traded on an established securities market, our common stock will be treated as a U.S. real property interest only with respect to a non-U.S. holder that holds more than 5% of our outstanding common stock, directly or indirectly, actually or constructively, during the shorter of the 5-year period ending on the date of the disposition or the period that the non-U.S. holder held our common stock. In such case, such non-U.S. holder generally will be taxed on its net gain derived from the disposition at the graduated U.S. federal income tax rates applicable to U.S. persons (as defined in the Code). Generally, a corporation is a U.S. real property holding corporation only if the fair market value of its U.S. real property interests equals or exceeds 50% of the sum of the fair market value of its worldwide real property interests plus its other assets used or held for use in a trade or business. Although there can be no assurance, we do not believe that we are, or have been, a U.S. real property holding corporation, or that we are likely to become one in the future. No assurance can be provided that our common stock will be regularly traded on an established securities market for purposes of the rules described above.

U.S. Federal Estate Tax

        Shares of our common stock that are owned or treated as owned at the time of death by an individual who is not a citizen or resident of the United States, as specifically defined for U.S. federal estate tax purposes, are considered U.S. situs assets and will be included in the individual's gross estate for U.S. federal estate tax purposes. Such shares, therefore, may be subject to U.S. federal estate tax, unless an applicable estate tax or other treaty provides otherwise.

Backup Withholding and Information Reporting

        We must report annually to the IRS and to each non-U.S. holder the gross amount of the dividends on our common stock paid to such holder and the tax withheld, if any, with respect to such dividends. Non-U.S. holders will have to comply with specific certification procedures to establish that the holder is not a U.S. person (as defined in the Code) in order to avoid backup withholding at the applicable rate with respect to dividends on our common stock. Dividends paid to non-U.S. holders subject to the U.S. withholding tax, as described above in "Distributions on Our Common Stock," generally will be exempt from U.S. backup withholding.

        Information reporting and backup withholding will generally apply to the proceeds of a disposition of our common stock by a non-U.S. holder effected by or through the U.S. office of any broker, U.S. or foreign, unless the holder certifies its status as a non-U.S. holder and satisfies certain other requirements, or otherwise establishes an exemption. Generally, information reporting and backup withholding will not apply to a payment of disposition proceeds to a non-U.S. holder where the transaction is effected outside the United States through a non-U.S. office of a broker. However, for information reporting purposes, dispositions effected through a non-U.S. office of a broker with

162


Table of Contents

substantial U.S. ownership or operations generally will be treated in a manner similar to dispositions effected through a U.S. office of a broker. Non-U.S. holders should consult their own tax advisors regarding the application of the information reporting and backup withholding rules to them.

        Copies of information returns may be made available to the tax authorities of the country in which the non-U.S. holder resides or is incorporated under the provisions of a specific treaty or agreement.

        Backup withholding is not an additional tax. Any amounts withheld under the backup withholding rules from a payment to a non-U.S. holder may be allowed as a credit against the non-U.S. holder's U.S. federal income tax liability, if any, and may entitle such holder to a refund, provided that the required information is timely furnished to the IRS.

Foreign Accounts

        The Code generally imposes a U.S. federal withholding tax of 30% on dividends and the gross proceeds of a disposition of our common stock paid to a "foreign financial institution" (as specifically defined for this purpose), unless such institution enters into an agreement with the U.S. government to, among other things, withhold on certain payments and to collect and provide to the U.S. tax authorities substantial information regarding U.S. account holders of such institution (which includes certain equity and debt holders of such institution, as well as certain account holders that are foreign entities with U.S. owners). Foreign financial institutions located in jurisdictions that have an intergovernmental agreement with the United States governing their withholding and reporting requirements may be subject to different rules. A U.S. federal withholding tax of 30% also applies to dividends and the gross proceeds of a disposition of our common stock paid to a non-financial foreign entity, unless such entity provides the withholding agent with either a certification that it does not have any substantial direct or indirect U.S. owners or provides information regarding substantial direct and indirect U.S. owners of the entity. The withholding tax described above will not apply if the foreign financial institution or non-financial foreign entity otherwise qualifies for an exception from the rules. The withholding provisions described above will generally apply to dividends on our common stock paid on or after July 1, 2014 and with respect to gross proceeds of a sale or other disposition of our common stock on or after January 1, 2017. Under certain circumstances, a non-U.S. holder might be eligible for refunds or credits of such taxes.

        EACH PROSPECTIVE INVESTOR SHOULD CONSULT ITS OWN TAX ADVISOR REGARDING THE TAX CONSEQUENCES OF PURCHASING, HOLDING OR DISPOSING OF OUR COMMON STOCK, INCLUDING THE CONSEQUENCES OF ANY PROPOSED CHANGE IN APPLICABLE LAW, AS WELL AS TAX CONSEQUENCES ARISING UNDER ANY STATE, LOCAL, NON-U.S. OR U.S. FEDERAL NON-INCOME TAX LAWS.

163


Table of Contents


UNDERWRITING

        Barclays Capital Inc., Cowen and Company, LLC and Jefferies LLC are acting as the representatives of the underwriters and joint book-running managers of this offering. Under the terms of an underwriting agreement, which will be filed as an exhibit to the registration statement, each of the underwriters named below has severally agreed to purchase from us the respective number of common stock shown opposite its name below:

Underwriters
  Number of
Shares
 

Barclays Capital Inc. 

       

Cowen and Company, LLC

       

Jefferies LLC

       

JMP Securities LLC

       

Needham & Company, LLC

       
       

Total

       
       
       

        The underwriting agreement provides that the underwriters' obligation to purchase shares of common stock depends on the satisfaction of the conditions contained in the underwriting agreement including:

    •
    the obligation to purchase all of the shares of common stock offered hereby (other than those shares of common stock covered by their option to purchase additional shares as described below), if any of the shares are purchased;

    •
    the representations and warranties made by us to the underwriters are true;

    •
    there is no material change in our business or the financial markets; and

    •
    we deliver customary closing documents to the underwriters.

Commissions and Expenses

        The following table summarizes the underwriting discounts and commissions we will pay to the underwriters. These amounts are shown assuming both no exercise and full exercise of the underwriters' option to purchase additional shares. The underwriting fee is the difference between the price to the public and the amount the underwriters pay to us for the shares.

 
  No Exercise   Full Exercise  

Per Share

  $     $    

Total

  $     $    

        The representatives have advised us that the underwriters propose to offer the shares of common stock directly to the public at the public offering price on the cover of this prospectus and to selected dealers, which may include the underwriters, at such offering price less a selling concession not in excess of $            per share. After the offering, the representatives may change the offering price and other selling terms.

        The expenses of the offering that are payable by us are estimated to be approximately $             million (excluding underwriting discounts and commissions). We have also agreed to reimburse the underwriters for certain of their expenses in an amount up to $30,000 as set forth in the underwriting agreement.

Option to Purchase Additional Shares

        We have granted the underwriters an option exercisable for 30 days after the date of this prospectus, to purchase, from time to time, in whole or in part, up to an aggregate of $6,000,000 of additional shares of common stock from us at the public offering price less underwriting discounts and commissions. To the extent that this option is exercised, each underwriter will be obligated, subject to certain conditions, to purchase its pro rata portion of these additional shares based on the underwriter's percentage underwriting commitment in the offering as indicated in the table at the beginning of this "Underwriting" section.

164


Table of Contents

Lock-Up Agreements

        We, all of our directors and executive officers and stockholders associated with some of our affiliates have agreed that, subject to certain limited exceptions, without the prior written consent of Barclays Capital Inc., we and they will not directly or indirectly, (1) offer for sale, sell, pledge or otherwise dispose of (or enter into any transaction or device that is designed to, or could be expected to, result in the disposition by any person at any time in the future of) any shares of common stock (including, without limitation, shares of common stock that may be deemed to be beneficially owned by us or them in accordance with the rules and regulations of the SEC and shares of common stock that may be issued upon exercise of any options or warrants) or securities convertible into or exercisable or exchangeable for common stock, (2) enter into any swap or other derivatives transaction that transfers to another, in whole or in part, any of the economic benefits or risks of ownership of shares of common stock, whether any such transaction described in clause (1) or (2) above is to be settled by delivery of common stock or other securities, in cash or otherwise, (3) make any demand for or exercise any right or file or cause to be filed a registration statement, including any amendments thereto, with respect to the registration of any shares of common stock or securities convertible, exercisable or exchangeable into common stock or any of our other securities, or (4) publicly disclose the intention to do any of the foregoing for a period of 90 days after the date of this prospectus.

        Barclays Capital Inc., in its sole discretion, may release the common stock and other securities subject to the lock-up agreements described above in whole or in part at any time with or without notice. When determining whether or not to release common stock and other securities from lock-up agreements, Barclays Capital Inc. will consider, among other factors, the holder's reasons for requesting the release, the number of shares of common stock and other securities for which the release is being requested and market conditions at the time.

Indemnification

        We have agreed to indemnify the underwriters against certain liabilities, including liabilities under the Securities Act, and to contribute to payments that the underwriters may be required to make for these liabilities.

Stabilization, Short Positions and Penalty Bids

        The representatives may engage in stabilizing transactions, short sales and purchases to cover positions created by short sales, and penalty bids or purchases for the purpose of pegging, fixing or maintaining the price of the common stock, in accordance with Regulation M under the Exchange Act:

    •
    Stabilizing transactions permit bids to purchase the underlying security so long as the stabilizing bids do not exceed a specified maximum.

    •
    A short position involves a sale by the underwriters of shares in excess of the number of shares the underwriters are obligated to purchase in the offering, which creates the syndicate short position. This short position may be either a covered short position or a naked short position. In a covered short position, the number of shares involved in the sales made by the underwriters in excess of the number of shares they are obligated to purchase is not greater than the number of shares that they may purchase by exercising their option to purchase additional shares. In a naked short position, the number of shares involved is greater than the number of shares in their option to purchase additional shares. The underwriters may close out any short position by either exercising their option to purchase additional shares and/or purchasing shares in the open market. In determining the source of shares to close out the short position, the underwriters will consider, among other things, the price of shares available for purchase in the open market as compared to the price at which they may purchase shares through their option to purchase additional shares. A naked short position is more likely to be created if the underwriters are concerned that there could be downward pressure on the price of the shares in the open market after pricing that could adversely affect investors who purchase in the offering.

165


Table of Contents

    •
    Syndicate covering transactions involve purchases of the common stock in the open market after the distribution has been completed in order to cover syndicate short positions.

    •
    Penalty bids permit the representatives to reclaim a selling concession from a syndicate member when the common stock originally sold by the syndicate member is purchased in a stabilizing or syndicate covering transaction to cover syndicate short positions.

        These stabilizing transactions, syndicate covering transactions and penalty bids may have the effect of raising or maintaining the market price of our common stock or preventing or retarding a decline in the market price of the common stock. As a result, the price of the common stock may be higher than the price that might otherwise exist in the open market. These transactions may be effected on the NASDAQ Global Select Market or otherwise and, if commenced, may be discontinued at any time.

        Neither we nor any of the underwriters make any representation or prediction as to the direction or magnitude of any effect that the transactions described above may have on the price of the common stock. In addition, neither we nor any of the underwriters make representation that the representatives will engage in these stabilizing transactions or that any transaction, once commenced, will not be discontinued without notice.

Passive Market Making

        In connection with the offering, underwriters and selling group members may engage in passive market making transactions in the common stock on the NASDAQ Global Select Market in accordance with Rule 103 of Regulation M under the Securities Exchange Act of 1934 during the period before the commencement of offers or sales of common stock and extending through the completion of distribution. A passive market maker must display its bids at a price not in excess of the highest independent bid of the security. However, if all independent bids are lowered below the passive market maker's bid that bid must be lowered when specified purchase limits are exceeded.

Electronic Distribution

        A prospectus in electronic format may be made available on the Internet sites or through other online services maintained by one or more of the underwriters and/or selling group members participating in this offering, or by their affiliates. In those cases, prospective investors may view offering terms online and, depending upon the particular underwriter or selling group member, prospective investors may be allowed to place orders online. The underwriters may agree with us to allocate a specific number of shares for sale to online brokerage account holders. Any such allocation for online distributions will be made by the representatives on the same basis as other allocations.

        Other than the prospectus in electronic format, the information on any underwriter's or selling group member's web site and any information contained in any other web site maintained by an underwriter or selling group member is not part of the prospectus or the registration statement of which this prospectus forms a part, has not been approved and/or endorsed by us or any underwriter or selling group member in its capacity as underwriter or selling group member and should not be relied upon by investors.

The NASDAQ Global Select Market

        Our common stock is listed on the NASDAQ Global Select Market under the symbol "TRVN."

Relationships

        Certain of the underwriters and their related entities have engaged and may engage in commercial and investment banking transactions with us in the ordinary course of their business. They have received customary compensation and expenses for these commercial and investment banking transactions.

        In the ordinary course of their various business activities, the underwriters and certain of their affiliates may make or hold a broad array of investments and actively trade debt and equity securities (or related derivative securities) and financial instruments (including bank loans) for their own account

166


Table of Contents

and for the accounts of their customers, and such investment and securities activities may involve securities and/or instruments of the issuer or its affiliates. If the underwriters or their affiliates have a lending relationship with us, they routinely hedge their credit exposure to us consistent with their customary risk management policies. The underwriters and their affiliates may hedge such exposure by entering into transactions which consist of either the purchase of credit default swaps or the creation of short positions in our securities or the securities of our affiliates, including potentially the common stock offered hereby. Any such short positions could adversely affect future trading prices of the common stock offered hereby. The underwriters and certain of their affiliates may also communicate independent investment recommendations, market color or trading ideas and/or publish or express independent research views in respect of such securities or instruments and may at any time hold, or recommend to clients that they acquire, long and/or short positions in such securities and instruments.

Selling Restrictions

European Economic Area

        In relation to each Member State of the European Economic Area which has implemented the Prospectus Directive (each, a "Relevant Member State") an offer to the public of any common stock which are the subject of the offering contemplated herein may not be made in that Relevant Member State, except that an offer to the public in that Relevant Member State of any common stock may be made at any time under the following exemptions under the Prospectus Directive, if they have been implemented in that Relevant Member State:

    •
    to legal entities which are qualified investors as defined under the Prospectus Directive;

    •
    by the underwriters to fewer than 100, or, if the Relevant Member State has implemented the relevant provisions of the 2010 PD Amending Directive, 150, natural or legal persons (other than qualified investors as defined in the Prospectus Directive), as permitted under the Prospectus Directive, subject to obtaining the prior consent of the representatives of the underwriters for any such offer; or

    •
    in any other circumstances falling within Article 3(2) of the Prospectus Directive,

provided that no such offer of common stock shall result in a requirement for us or any underwriter to publish a prospectus pursuant to Article 3 of the Prospectus Directive or supplement a prospectus pursuant to Article 16 of the Prospectus Directive.

        Each person in a Relevant Member State who receives any communication in respect of, or who acquires any common stock under, the offers contemplated here in this prospectus will be deemed to have represented, warranted and agreed to and with each underwriter and us that:

    •
    it is a qualified investor as defined under the Prospectus Directive; and

    •
    in the case of any common stock acquired by it as a financial intermediary, as that term is used in Article 3(2) of the Prospectus Directive, (i) the common stock acquired by it in the offering have not been acquired on behalf of, nor have they been acquired with a view to their offer or resale to, persons in any Relevant Member State other than qualified investors, as that term is defined in the Prospectus Directive, or in the circumstances in which the prior consent of the representatives of the underwriters has been given to the offer or resale or (ii) where common stock have been acquired by it on behalf of persons in any Relevant Member State other than qualified investors, the offer of such common stock to it is not treated under the Prospectus Directive as having been made to such persons.

        For the purposes of this representation and the provision above, the expression an "offer of common stock to the public" in relation to any common stock in any Relevant Member State means the communication in any form and by any means of sufficient information on the terms of the offer and any common stock to be offered so as to enable an investor to decide to purchase or subscribe for the common stock, as the same may be varied in that Relevant Member State by any measure implementing the Prospectus Directive in that Relevant Member State, the expression "Prospectus Directive" means Directive 2003/71/EC (and amendments thereto, including the 2010 PD Amending

167


Table of Contents

Directive, to the extent implemented in the Relevant Member State), and includes any relevant implementing measure in each Relevant Member State and the expression "2010 PD Amending Directive" means Directive 2010/73/EU.

United Kingdom

        This prospectus has only been communicated or caused to have been communicated and will only be communicated or caused to be communicated as an invitation or inducement to engage in investment activity (within the meaning of Section 21 of the Financial Services and Markets Act of 2000 (as amended), or FSMA) as received in connection with the issue or sale of the shares in circumstances in which Section 21(1) of the FSMA does not apply to the Issuer. All applicable provisions of the FSMA will be complied with in respect to anything done in relation to the shares in, from or otherwise involving the United Kingdom.

168


Table of Contents


LEGAL MATTERS

        The validity of the shares of common stock being offered by this prospectus will be passed upon for us by Cooley LLP, Reston, Virginia. Certain legal matters in connection with this offering will be passed upon for the underwriters by Latham & Watkins LLP, Boston, Massachusetts.


EXPERTS

        The financial statements of Trevena, Inc. at December 31, 2012 and 2013, for each of the two years in the period ended December 31, 2013, appearing in this prospectus and registration statement have been audited by Ernst & Young, LLP, independent registered public accounting firm, as set forth in their report thereon appearing elsewhere herein, and are included in reliance upon such report given on the authority of such firm as experts in accounting and auditing.


WHERE YOU CAN FIND ADDITIONAL INFORMATION

        We have filed with the SEC a registration statement on Form S-1 under the Securities Act, with respect to the shares of common stock being offered by this prospectus. This prospectus does not contain all of the information in the registration statement and its exhibits. For further information with respect to our company and the common stock offered by this prospectus, we refer you to the registration statement and its exhibits. Statements contained in this prospectus as to the contents of any contract or any other document referred to are not necessarily complete, and in each instance, we refer you to the copy of the contract or other document filed as an exhibit to the registration statement. Each of these statements is qualified in all respects by this reference.

        You can read our SEC filings, including the registration statement, over the internet at the SEC's website at www.sec.gov. You may also read and copy any document we file with the SEC at its public reference facilities at 100 F Street, N.E., Washington, D.C. 20549. You may also obtain copies of these documents at prescribed rates by writing to the Public Reference Section of the SEC at 100 F Street, N.E., Washington, D.C. 20549. Please call the SEC at 1-800-SEC-0330 for further information on the operation of the public reference facilities.

        We are subject to the information reporting requirements of the Exchange Act, and we file reports, proxy statements and other information with the SEC. These reports, proxy statements and other information are available for inspection and copying at the public reference room and the SEC's website referred to above. We also maintain a website at www.trevenainc.com, at which you may access these materials free of charge as soon as reasonably practicable after they are electronically filed with, or furnished to, the SEC. The information contained in, or that can be accessed through, our website is not part of, and is not incorporated into, this prospectus.

169


Table of Contents


INDEX TO FINANCIAL STATEMENTS

Report of Independent Registered Public Accounting Firm

  F-2

Balance Sheets as of December 31, 2012 and 2013

  F-3

Statements of Operations and Comprehensive Loss for the Years Ended December 31, 2012 and 2013

  F-4

Statements of Redeemable Convertible Preferred Stock and Stockholders' Deficit for the Years Ended December 31, 2012 and 2013

  F-5

Statements of Cash Flows for the Years Ended December 31, 2012 and 2013

  F-6

Notes to Financial Statements for the Years Ended December 31, 2012 and 2013

  F-7

Balance Sheets as of December 31, 2013 and September 30, 2014 (unaudited)

 
F-31

Unaudited Statements of Operations and Comprehensive Loss for the Nine Months Ended September 30, 2013 and 2014

  F-32

Unaudited Statements of Redeemable Convertible Preferred Stock and Stockholders' (Deficit) Equity for the Period January 1, 2014 to September 30, 2014

  F-33

Unaudited Statements of Cash Flows for the Nine Months Ended September 30, 2013 and 2014

  F-34

Notes to Unaudited Financial Statements

  F-35

F-1


Table of Contents

REPORT OF INDEPENDENT REGISTERED PUBLIC ACCOUNTING FIRM

The Board of Directors and Stockholders of
Trevena, Inc.

        We have audited the accompanying balance sheets of Trevena, Inc. (the Company) as of December 31, 2012 and 2013, and the related statements of operations and comprehensive loss, redeemable convertible preferred stock and stockholders' deficit, and cash flows for the years then ended. These financial statements are the responsibility of the Company's management. Our responsibility is to express an opinion on these financial statements based on our audits.

        We conducted our audits in accordance with the standards of the Public Company Accounting Oversight Board (United States). Those standards require that we plan and perform the audit to obtain reasonable assurance about whether the financial statements are free of material misstatement. We were not engaged to perform an audit of the Company's internal control over financial reporting. Our audits included consideration of internal control over financial reporting as a basis for designing audit procedures that are appropriate in the circumstances, but not for the purpose of expressing an opinion on the effectiveness of the Company's internal control over financial reporting. Accordingly, we express no such opinion. An audit also includes examining, on a test basis, evidence supporting the amounts and disclosures in the financial statements, assessing the accounting principles used and significant estimates made by management, and evaluating the overall financial statement presentation. We believe that our audits provide a reasonable basis for our opinion.

        In our opinion, the financial statements referred to above present fairly, in all material respects, the financial position of Trevena, Inc. as of December 31, 2012 and 2013, and the results of its operations and its cash flows for the years then ended, in conformity with U.S. generally accepted accounting principles.

/s/ Ernst & Young LLP

Philadelphia, Pennsylvania
March 20, 2014,
except Note 13, as to which the date is
November 19, 2014

F-2


Table of Contents


TREVENA, INC.

BALANCE SHEETS

 
  December 31,  
 
  2012   2013  

Assets

             

Current assets:

             

Cash and cash equivalents

  $ 6,738,659   $ 37,965,198  

Grants receivable

    11,875     —  

Prepaid expenses and other current assets

    155,679     3,957,044  

Restricted cash

    102,000     —  
           

Total current assets

    7,008,213     41,922,242  

Property and equipment, net

    909,801     343,059  

Restricted cash

    112,000     112,000  

Other assets

    57,672     15,625  
           

Total assets

  $ 8,087,686   $ 42,392,926  
           
           

Liabilities, redeemable convertible preferred stock and stockholders' deficit

             

Current liabilities:

             

Accounts payable

  $ 459,035   $ 545,053  

Accrued expenses and other current liabilities

    1,281,660     2,158,792  

Loans payable

    2,085,129     —  

Deferred rent

    105,776     33,114  
           

Total current liabilities

    3,931,600     2,736,959  

Loans payable, net of current portion

    2,783,078     —  

Deferred rent, net of current portion

    18,515     313,919  

Preferred stock warrant liability

    1,393,674     350,519  
           

Total liabilities

    8,126,867     3,401,397  

Commitments and contingencies (Note 8)

             

Redeemable convertible preferred stock:

             

Series A—$0.001 par value; 25,074,999 shares authorized, issued and outstanding at December 31, 2012 and 2013 (liquidation preference of $25,074,999 at December 31, 2013)

    25,004,123     25,024,373  

Series B—$0.001 par value; 35,500,000 shares authorized, 30,800,000 shares issued and outstanding at December 31, 2012 and 2013 (liquidation preference of $30,800,000 at December 31, 2013)

    30,770,194     30,778,700  

Series B-1—$0.001 par value; 6,000,000 shares authorized, 4,200,000 and 4,750,000 shares issued and outstanding at December 31, 2012 and 2013, respectively (liquidation preference of $4,200,000 at December 31, 2013)

    3,183,517     4,823,079  

Series C—$0.001 par value; 37,000,000 shares authorized, none and 36,764,704 shares issued and outstanding at December 31, 2012 and 2013, respectively (liquidation preference of $59,999,997 at December 31, 2013)

    —     59,935,986  
           

Total redeemable convertible preferred stock

    58,957,834     120,562,138  

Stockholders' deficit:

             

Common stock—$0.001 par value; 85,000,000 and 132,000,000 shares authorized, 682,494 and 957,756 shares issued and outstanding at December 31, 2012 and 2013, respectively

    682     958  

Additional paid-in capital

    19,718     697,283  

Accumulated deficit

    (59,017,415 )   (82,268,850 )
           

Total stockholders' deficit

    (58,997,015 )   (81,570,609 )
           

Total liabilities, redeemable convertible preferred stock and stockholders' deficit

  $ 8,087,686   $ 42,392,926  
           
           

   

See accompanying notes to financial statements.

F-3


Table of Contents


TREVENA, INC.

STATEMENTS OF OPERATIONS AND COMPREHENSIVE LOSS

 
  Year Ended December 31,  
 
  2012   2013  

Revenue:

             

Grant revenue

  $ 407,595   $ 84,980  

Collaboration revenue

    400,000     50,000  
           

Total revenue

    807,595     134,980  
           

Operating expenses:

             

General and administrative

    3,122,718     4,718,047  

Research and development

    13,294,917     18,762,219  
           

Total operating expenses

    16,417,635     23,480,266  
           

Loss from operations

    (15,610,040 )   (23,345,286 )

Other income (expense):

             

Change in fair value of warrant liability

    44,576     241,478  

Miscellaneous income

    122,792     1,245  

Interest income

    754     884  

Interest expense

    (193,740 )   (149,756 )
           

Total other income (expense)

    (25,618 )   93,851  
           

Net loss and comprehensive loss

    (15,635,658 )   (23,251,435 )

Accretion of redeemable convertible preferred stock

    (316,642 )   (333,710 )
           

Net loss attributable to common stockholders

  $ (15,952,300 ) $ (23,585,145 )
           
           

Per share information:

             

Net loss per share of common stock, basic and diluted

  $ (23.70 ) $ (29.71 )
           
           

Weighted average shares outstanding, basic and diluted

    673,191     793,806  
           
           

   

See accompanying notes to financial statements.

F-4


Table of Contents

TREVENA, INC.
STATEMENTS OF REDEEMABLE CONVERTIBLE PREFERRED STOCK AND STOCKHOLDERS' DEFICIT
For the Years Ended December 31, 2012 and December 31, 2013

 
   
   
   
   
   
   
   
   
   
  Stockholders' Deficit  
 
  Redeemable Convertible Preferred Stock   Common Stock    
   
   
 
 
  Series A   Series B   Series B-1   Series C    
   
   
   
   
   
 
 
  Number
of Shares
  Amount   Number
of Shares
  Amount   Number
of Shares
  Amount   Number
of Shares
  Amount   Total   Number
of Shares
  $0.001
Par
Value
  Additional
Paid-in
Capital
  Accumulated
deficit
  Total
Stockholders'
Deficit
 

Balance, January 1, 2012

    25,074,999   $ 24,983,873     30,800,000   $ 30,761,688     4,200,000   $ 2,895,631     —     —   $ 58,641,192     654,035   $ 654   $ 157,008   $ (43,381,757 ) $ (43,224,095 )

Vesting of restricted stock

    —     —     —     —     —     —     —     —     —     —     —     162     —     162  

Stock-based compensation expense

    —     —     —     —     —     —     —     —     —     —     —     176,308     —     176,308  

Exercise of stock options

    —     —     —     —     —     —     —     —     —     28,459     28     2,882     —     2,910  

Accretion of preferred stock to its redemption value

    —     20,250     —     8,506     —     287,886     —     —     316,642     —     —     (316,642 )   —     (316,642 )

Net loss and comprehensive loss

    —     —     —     —     —     —     —     —     —     —     —     —     (15,635,658 )   (15,635,658 )
                                                           

Balance, December 31, 2012

    25,074,999     25,004,123     30,800,000     30,770,194     4,200,000     3,183,517     —     —     58,957,834     682,494     682     19,718     (59,017,415 )   (58,997,015 )

Issuance of Series C convertible preferred stock, net of issuance costs of $81,080—May 2013

    —     —     —     —     —     —     36,764,704     59,918,917     59,918,917     —     —     —     —     —  

Stock-based compensation expense

    —     —     —     —     —     —     —     —     —     —     —     927,996     —     927,996  

Exercise of stock options

    —     —     —     —     —     —     —     —     —     275,262     276     83,279     —     83,555  

Exercise of Series B-1 preferred stock warrants

    —     —     —     —     550,000     1,351,677     —     —     1,351,677     —     —     —     —     —  

Accretion of preferred stock to its redemption value

    —     20,250     —     8,506     —     287,885     —     17,069     333,710     —     —     (333,710 )   —     (333,710 )

Net loss and comprehensive loss

    —     —     —     —     —     —     —     —     —     —     —     —     (23,251,435 )   (23,251,435 )
                                                           

Balance, December 31, 2013

    25,074,999   $ 25,024,373     30,800,000   $ 30,778,700     4,750,000   $ 4,823,079     36,764,704   $ 59,935,986   $ 120,562,138     957,756   $ 958   $ 697,283   $ (82,268,850 ) $ (81,570,609 )
                                                           
                                                           

See accompanying notes to financial statements

F-5


Table of Contents


TREVENA, INC.

STATEMENTS OF CASH FLOWS

 
  Year Ended December 31,  
 
  2012   2013  

Operating activities:

             

Net loss

  $ (15,635,658 ) $ (23,251,435 )

Adjustments to reconcile net loss to net cash used in operating activities:

             

Depreciation and amortization

    787,522     706,779  

Stock-based compensation

    176,308     927,996  

Noncash interest expense on loans

    48,848     121,160  

Revaluation of preferred stock warrant liability

    (44,576 )   (241,478 )

Changes in operating assets and liabilities:

             

Prepaid expenses and other assets

    114,302     (3,769,605 )

Restricted cash

    92,000     102,000  

Accounts payable and accrued expenses

    (343,899 )   1,165,353  
           

Net cash used in operating activities

    (14,805,153 )   (24,239,230 )
           

Investing activities:

             

Purchase of property and equipment

    (21,344 )   (140,036 )
           

Net cash used in investing activities

    (21,344 )   (140,036 )
           

Financing activities:

             

Proceeds from issuance of redeemable convertible preferred stock and warrants, net

    —     59,918,917  

Proceeds from exercise of common stock options

    2,910     83,555  

Proceeds from exercise of preferred stock warrants

    —     550,000  

Proceeds from loans payable

    5,300,000     —  

Repayment of loans payable

    (797,863 )   (4,946,667 )
           

Net cash provided by financing activities

    4,505,047     55,605,805  
           

Net increase (decrease) in cash and cash equivalents

    (10,321,450 )   31,226,539  

Cash and cash equivalents—beginning of period

    17,060,109     6,738,659  
           

Cash and cash equivalents—end of period

  $ 6,738,659   $ 37,965,198  
           
           

Supplemental disclosure of cash flow information:

             

Cash paid for interest

  $ 148,351   $ 84,535  
           
           

Fair value of preferred stock warrants issued

  $ 101,707   $ —  
           
           

   

See accompanying notes to financial statements.

F-6


Table of Contents


TREVENA, INC.

NOTES TO FINANCIAL STATEMENTS

DECEMBER 31, 2013

1. ORGANIZATION AND DESCRIPTION OF THE BUSINESS

        Trevena, Inc. (the Company) was incorporated in Delaware as Parallax Therapeutics, Inc. on November 9, 2007. The Company began operations in December 2007, and its name was changed to Trevena, Inc. on January 3, 2008. The Company is a drug discovery company focused on discovering and developing pharmaceutical products targeting G protein coupled receptors. The Company operates in one segment and has its principal office in King of Prussia, Pennsylvania. The Company's revenue is derived from research grants and a research collaboration with a pharmaceutical company.

Initial Public Offering

        On February 5, 2014, 9,250,000 shares of common stock were sold on the Company's behalf at an initial public offering price of $7.00 per share, for aggregate gross proceeds of $64.8 million. On March 6, 2014, in connection with the partial exercise by the underwriters of the Company's initial public offering of the over-allotment option granted to them in connection with the initial public offering, 270,449 additional shares of common stock were sold on the Company's behalf at the initial public offering price of $7.00 per share, for aggregate gross proceeds of approximately $1.9 million. In addition, as part of the initial public offering, all of the Company's outstanding convertible preferred stock, and a portion of its warrants were net exercised, into aggregate total of 15,649,686 shares of common stock.

        The Company paid to the underwriters underwriting discounts and commissions of approximately $4.6 million in connection with the offering. In addition, the Company incurred expenses of approximately $2.5 million in connection with the offering. Thus, the net offering proceeds to the Company, after deducting underwriting discounts and commissions and offering expenses, were approximately $59.6 million.

        Following the completion of the IPO, there is a common stock warrant exercisable into 20,161 shares of our common stock at an exercise price of $6.20 per share, which warrant expires in December 2021. There is also an immediately exercisable warrant to purchase an aggregate of 2,419 shares of our common stock at an exercise price of $0.06 per share, which warrant expires in June 2018.

Liquidity

        The Company has incurred recurring operating losses since inception. As of December 31, 2013, the Company had an accumulated deficit of $82,268,850 and will require substantial additional capital to fund its research and development. The Company anticipates that the net proceeds from its initial public offering, together with its existing cash and cash equivalents as of December 31, 2013, will enable it to fund its operating expenses and capital expenditure requirements through the end of 2015, without giving effect to a potential option payment and, if the option is exercised, potential milestone payments the Company may receive under its option and license agreements with Actavis plc (formerly Forest Laboratories Holding Limited). The Company anticipates operating losses to continue for the foreseeable future due to, among other things, costs related to research funding, development of its product candidates and its preclinical programs, and the development of its administrative organization. As the Company continues to incur losses, a transition to profitability is dependent upon the successful development, approval and commercialization of its product candidates and the achievement of a level of revenue adequate to support the Company's cost structure. The Company may never achieve profitability, and unless and until it does, the Company will continue to need to raise additional capital.

F-7


Table of Contents


TREVENA, INC.

NOTES TO FINANCIAL STATEMENTS (Continued)

DECEMBER 31, 2013

1. ORGANIZATION AND DESCRIPTION OF THE BUSINESS (Continued)

Management intends to fund future operations through the sale of equity, debt financings or other sources, including potential additional collaborations. There can be no assurances, however, that additional funding will be available on terms acceptable to the Company, or at all.

2. SUMMARY OF SIGNIFICANT ACCOUNTING POLICIES

Basis of Presentation

        The accompanying financial statements have been prepared in conformity with accounting principles generally accepted in the United States of America (GAAP). Any reference in these notes to applicable guidance is meant to refer to the authoritative United States generally accepted accounting principles as found in the Accounting Standards Codification (ASC) and Accounting Standards Update (ASU) of the Financial Accounting Standards Board (FASB). The Company considers the U.S. dollar to be its functional currency.

Reverse Stock Split

        The Company's Board of Directors and stockholders approved a 1-for-6.2 reverse stock split of the Company's Common Stock. The reverse stock split became effective on October 30, 2013. All share and per share amounts in the financial statements and notes thereto have been retroactively adjusted for all periods presented to give effect to this reverse stock split, including reclassifying an amount equal to the reduction in par value of common stock to additional paid-in capital.

Use of Estimates

        Management considers many factors in selecting appropriate financial accounting policies and controls, and in developing the estimates and assumptions that are used in the preparation of these financial statements. Management must apply significant judgment in this process. In addition, other factors may affect estimates, including expected business and operational changes, sensitivity and volatility associated with the assumptions used in developing estimates, and whether historical trends are expected to be representative of future trends. The estimation process often may yield a range of potentially reasonable estimates of the ultimate future outcomes and management must select an amount that falls within that range of reasonable estimates. This process may result in actual results differing materially from those estimated amounts used in the preparation of the financial statements if these results differ from historical experience, or other assumptions do not turn out to be substantially accurate, even if such assumptions are reasonable when made. In preparing these financial statements, management used significant estimates in the following areas, among others: stock-based compensation expense, the determination of the fair value of stock-based awards, the fair value of liability-classified preferred stock warrants, the accounting for research and development costs, accrued expenses and the recoverability of the Company's net deferred tax assets and related valuation allowance.

Cash and Cash Equivalents

        The Company considers all highly liquid investments that have maturities of three months or less when acquired to be cash equivalents. Cash and cash equivalents subject the Company to concentrations of credit risk. However, the Company has invested in money market mutual funds that

F-8


Table of Contents


TREVENA, INC.

NOTES TO FINANCIAL STATEMENTS (Continued)

DECEMBER 31, 2013

2. SUMMARY OF SIGNIFICANT ACCOUNTING POLICIES (Continued)

invest substantially all of their assets in U.S. government securities. Cash equivalents are valued at cost, which approximates their fair market value.

Restricted Cash

        At December 31, 2012 and 2013, the Company maintained letters of credit totaling $214,000 and $112,000, respectively, as collateral for the Company's facility and laboratory equipment lease obligations in Pennsylvania.

Concentration of Credit Risk and Off-Balance Sheet Risk

        Financial instruments that potentially subject the Company to concentrations of credit risk are primarily cash, cash equivalents, restricted cash and grants receivable. The Company maintains its cash and cash equivalent balances in the form of money market mutual funds that invest substantially all of their assets in U.S. government securities with financial institutions that management believes are creditworthy. The Company's investment policy includes guidelines on the quality of the institutions and financial instruments and defines allowable investments that the Company believes minimizes the exposure to concentration of credit risk.

        The Company routinely assesses the creditworthiness of its collaborators. The Company has not experienced any material losses related to receivables from collaborators. The Company does not require collateral from its collaborators.

        The Company has not recognized any losses from credit risks on such accounts. The Company believes it is not exposed to significant credit risk on cash.

Property and Equipment

        Property and equipment consists of computer and laboratory equipment, software, office equipment, furniture and leasehold improvements and is recorded at cost. Maintenance and repairs that do not improve or extend the lives of the respective assets are expensed to operations as incurred. Upon disposal, retirement or sale the related cost and accumulated depreciation is removed from the accounts and any resulting gain or loss is included in the results of operations. Property and equipment are depreciated on a straight-line basis over their estimated useful lives. The Company uses a life of three years for computer equipment, and five years for laboratory equipment, office equipment, furniture and software. Leasehold improvements are amortized over the shorter of the lease term or the estimated useful life of the asset.

        The Company reviews long-lived assets when events or changes in circumstances indicate the carrying value of the assets may not be recoverable. Recoverability is measured by comparison of the book values of the assets to future net undiscounted cash flows that the assets are expected to generate. If such assets are considered to be impaired, the impairment to be recognized is measured by the amount by which the book value of the assets exceed their fair value, which is measured based on the projected discounted future net cash flows arising from the assets. No impairment losses were recorded in 2012 or 2013.

F-9


Table of Contents


TREVENA, INC.

NOTES TO FINANCIAL STATEMENTS (Continued)

DECEMBER 31, 2013

2. SUMMARY OF SIGNIFICANT ACCOUNTING POLICIES (Continued)

Grant Revenue Recognition

        The Company recognizes grant revenue when persuasive evidence of an arrangement exists, delivery has occurred or services have been rendered, the price is fixed and determinable, and collectibility is reasonably assured. In 2009, the Company received a research grant from the National Institutes of Health (NIH) to assist in the funding of certain research activities from September 2009 through August 2011. The amount of the award was approximately $7.6 million and as of December 31, 2011, the Company had completed all activities and recognized all revenue related to this grant. In August 2011, the Company received a second research grant from the NIH to assist in the funding of its d-opioid program. The award contemplated funding up to $496,000 during the period from August 15, 2011 through July 31, 2016, subject to availability of funds and successful progression of the program. Through June 6, 2013, the Company had received $338,162 and on June 6, 2013, the Company was informed that no additional funds would be made available. In November 2011, the Company received a research grant for approximately $205,000 from the Michael J. Fox Foundation for the funding of certain research activities from December 2011 through November 2012. As of December 31, 2012, the Company had completed all activities and recognized all revenue related to this grant. The Company recognizes revenue under all three grants in earnings in the period in which the related expenditures are incurred. During the years ended December 31, 2012 and 2013, the Company recognized revenue related to these grants of $407,595 and $84,980, respectively.

Collaboration Revenue Recognition

        The Company recognizes collaboration revenue when persuasive evidence of an arrangement exists, delivery has occurred or services have been rendered, the price is fixed and determinable, and collectibility is reasonably assured. In May 2012, the Company entered into a research collaboration with Merck Sharp & Dohme Corporation (Merck), requiring the Company to conduct certain research activities. The Company was paid $400,000 for this work and this revenue was recognized in 2012 when all of the recognition criteria were achieved. The research collaboration agreement was amended in April 2013 for an additional $50,000 for research activities that were completed and thus recognized as revenue in 2013.

Research and Development

        Research and development costs are charged to expense as incurred. These costs include, but are not limited to, employee-related expenses, including salaries, benefits and travel and stock-based compensation of our research and development personnel; expenses incurred under agreements with contract research organizations and investigative sites that conduct clinical trials and preclinical studies; the cost of acquiring, developing and manufacturing clinical trial materials; facilities; other supplies; allocated facilities, depreciation and other expenses, which include rent and utilities; insurance; and costs associated with preclinical activities and regulatory operations.

        Costs for certain development activities, such as clinical trials, are recognized based on an evaluation of the progress to completion of specific tasks using data such as subject enrollment, clinical site activations or information provided to the Company by its vendors with respect to their actual costs incurred. Payments for these activities are based on the terms of the individual arrangements, which

F-10


Table of Contents


TREVENA, INC.

NOTES TO FINANCIAL STATEMENTS (Continued)

DECEMBER 31, 2013

2. SUMMARY OF SIGNIFICANT ACCOUNTING POLICIES (Continued)

may differ from the pattern of costs incurred, and are reflected in the financial statements as prepaid or accrued research and development expense, as the case may be.

Comprehensive Loss

        Comprehensive loss is defined as the change in equity of a business enterprise during a period from transactions and other events and circumstances from non-owner sources. Comprehensive loss was equal to net loss for all periods presented.

Income Taxes

        Income taxes are recorded in accordance with ASC Topic 740, Income Taxes (ASC 740), which provides for deferred taxes using an asset and liability approach. The Company recognizes deferred tax assets and liabilities for the expected future tax consequences of events that have been included in the financial statements or tax returns. Deferred tax assets and liabilities are determined based on the difference between the financial statement and tax bases of assets and liabilities using enacted tax rates in effect for the year in which the differences are expected to reverse. Valuation allowances are provided, if based upon the weight of available evidence, it is more likely than not that some or all of the deferred tax assets will not be realized.

        The Company accounts for uncertain tax positions in accordance with the provisions of ASC 740. When uncertain tax positions exist, the Company recognizes the tax benefit of tax positions to the extent that the benefit will more likely than not be realized. The determination as to whether the tax benefit will more likely than not be realized is based upon the technical merits of the tax position as well as consideration of the available facts and circumstances. As of December 31, 2012 and 2013, the Company does not have any significant uncertain tax positions.

Preferred Stock Warrants

        Freestanding warrants that are related to the purchase of preferred stock are classified as liabilities and recorded at fair value regardless of the timing of the redemption feature or the redemption price or the likelihood of redemption. The warrants are subject to re-measurement at each balance sheet date and any change in fair value is recognized as a component of change in fair value of warrant liability in the Statements of Operations and Comprehensive Loss. Pursuant to the terms of these warrants, upon the conversion to common stock of the series of preferred stock underlying the warrant, the warrants automatically become exercisable for shares of common stock based upon the conversion ratio of the underlying preferred stock. The Company will continue to adjust the liability for changes in fair value until the earlier of the exercise or expiration of the warrants or the conversion of the underlying preferred stock. The preferred stock warrants are classified as Level 3 liabilities (see Fair Value Measurements). In November 2013, one of the Company's warrant holders exercised its warrants to purchase 550,000 shares of the Company's Series B preferred stock. Of the remaining 1,225,000 outstanding warrants to purchase preferred stock at December 31, 2013, 1,100,000 were net exercised immediately prior to the consummation of the Company's initial public offering in February 2014. Upon consummation of the Company's initial public offering, the remaining warrant to purchase up to 125,000 shares of the Company's Series B preferred stock was converted into a warrant to purchase up to 20,161 shares the Company's common stock.

F-11


Table of Contents


TREVENA, INC.

NOTES TO FINANCIAL STATEMENTS (Continued)

DECEMBER 31, 2013

2. SUMMARY OF SIGNIFICANT ACCOUNTING POLICIES (Continued)

Fair Value of Financial Instruments

        The carrying amount of the Company's financial instruments, which include cash and cash equivalents, grants receivable, restricted cash, accounts payable and accrued expenses approximate their fair values, given their short-term nature. The carrying amount of the Company's loans payable at December 31, 2012 approximates fair value because the interest rate is reflective of the rate the Company could obtain on debt with similar terms and conditions. The preferred stock warrants are carried at fair value as disclosed above. The Company has evaluated the estimated fair value of financial instruments using available market information and management's estimates. The use of different market assumptions and/or estimation methodologies could have a significant effect on the estimated fair value amounts.

Fair Value Measurements

        ASC Topic 820, Fair Value Measurement (ASC 820), establishes a fair value hierarchy for instruments measured at fair value that distinguishes between assumptions based on market data (observable inputs) and the Company's own assumptions (unobservable inputs). Observable inputs are inputs that market participants would use in pricing the asset or liability based on market data obtained from sources independent of the Company. Unobservable inputs are inputs that reflect the Company's assumptions about the inputs that market participants would use in pricing the asset or liability, and are developed based on the best information available in the circumstances.

        ASC 820 identifies fair value as the exchange price, or exit price, representing the amount that would be received to sell an asset or paid to transfer a liability in an orderly transaction between market participants. As a basis for considering market participant assumptions in fair value measurements, ASC Topic 820 establishes a three-tier fair value hierarchy that distinguishes among the following:

    •
    Level 1—Valuations based on unadjusted quoted prices in active markets for identical assets or liabilities that the Company has the ability to access.

    •
    Level 2—Valuations based on quoted prices for similar assets or liabilities in active markets, quoted prices for identical or similar assets or liabilities in markets that are not active and models for which all significant inputs are observable, either directly or indirectly.

    •
    Level 3—Valuations based on inputs that are unobservable and significant to the overall fair value measurement.

        To the extent that the valuation is based on models or inputs that are less observable or unobservable in the market, the determination of fair value requires more judgment. Accordingly, the degree of judgment exercised by the Company in determining fair value is greatest for instruments categorized in Level 3. A financial instrument's level within the fair value hierarchy is based on the lowest level of any input that is significant to the fair value measurement.

        Items measured at fair value on a recurring basis include money market mutual funds, restricted cash and warrants to purchase redeemable convertible preferred stock. During the periods presented, the Company has not changed the manner in which it values assets and liabilities that are measured at fair value using Level 3 inputs. The following fair value hierarchy table presents information about each

F-12


Table of Contents


TREVENA, INC.

NOTES TO FINANCIAL STATEMENTS (Continued)

DECEMBER 31, 2013

2. SUMMARY OF SIGNIFICANT ACCOUNTING POLICIES (Continued)

major category of the Company's financial assets and liabilities measured at fair value on a recurring basis:

 
  Quoted Prices
in Active
Markets for
Identical Items
(Level 1)
  Significant
Other
Observable
Inputs
(Level 2)
  Significant
Unobservable
Inputs
(Level 3)
  Total  

December 31, 2012

                         

Assets

                         

Money market mutual funds

  $ 3,050,003   $ —   $ —   $ 3,050,003  

Restricted cash

    214,000     —     —     214,000  
                   

Total assets

  $ 3,264,003   $ —   $ —   $ 3,264,003  
                   
                   

Liabilities

                         

Warrants to purchase redeemable preferred stock

  $ —   $ —   $ 1,393,674   $ 1,393,674  
                   

Total liabilities

  $ —   $ —   $ 1,393,674   $ 1,393,674  
                   
                   

December 31, 2013

                         

Assets

                         

Money market mutual funds

  $ 35,551,000   $ —   $ —   $ 35,551,000  

Restricted cash

    112,000     —     —     112,000  
                   

Total assets

  $ 35,663,000   $ —   $ —   $ 35,663,000  
                   
                   

Liabilities

                         

Warrants to purchase redeemable preferred stock

  $ —   $ —   $ 350,519   $ 350,519  
                   

Total liabilities

  $ —   $ —   $ 350,519   $ 350,519  
                   
                   

        The following table sets forth a summary of changes in the fair value of the Company's preferred warrant liability, which represents a recurring measurement that is classified within Level 3 of the fair value hierarchy, wherein fair value is estimated using significant unobservable inputs:

 
  Redeemable
Convertible
Preferred
Stock Warrant
Liability
 

Balance as of December 31, 2011

    1,336,543  

Amounts acquired or issued

    101,707  

Changes in estimated fair value

    (44,576 )
       

Balance as of December 31, 2012

    1,393,674  

Amounts acquired or issued

    (801,677 )

Changes in estimated fair value

    (241,478 )
       

Balance as of December 31, 2013

  $ 350,519  
       
       

        The money market mutual funds noted above are included in cash and cash equivalents in the accompanying balance sheets. The Company recognizes transfers between levels of the fair value hierarchy as of the end of the reporting period. There were no transfers within the hierarchy during the years ended December 31, 2012 or 2013.

F-13


Table of Contents


TREVENA, INC.

NOTES TO FINANCIAL STATEMENTS (Continued)

DECEMBER 31, 2013

2. SUMMARY OF SIGNIFICANT ACCOUNTING POLICIES (Continued)

        The fair value of the warrants on the date of issuance and on each re-measurement date of those warrants classified as liabilities is estimated using the Black-Scholes option pricing model using the following assumptions: contractual life according to the remaining terms of the warrants at December 31, 2012 and 1.1 years at December 31, 2013, no dividend yield, weighted average risk-free interest rate of 1.92% and 0.62% at December 31, 2012 and 2013, respectively, fair value of underlying instrument of $1.00 share and $1.13 per share at December 31, 2012 and 2013, respectively, and weighted average volatility of 80% and 71% at December 31, 2012 and 2013, respectively. For this liability, the Company developed its own assumptions that do not have observable inputs or available market data to support the fair value. This method of valuation involves using inputs such as the fair value of the Company's various classes of preferred stock, stock price volatility, the contractual term of the warrants, risk free interest rates and dividend yields. Due to the nature of these inputs, the valuation of the warrants is considered a Level 3 measurement. The Company accounts for its redeemable convertible preferred stock warrants as liabilities in accordance with the guidance for accounting for certain financial instruments with characteristics of both liabilities and equity as the warrants entitle the holder to purchase preferred stock that is considered contingently redeemable. The warrant liability is recorded on its own line item on the Company's Balance Sheets. The warrant liability is marked-to-market each reporting period with the change in fair value recorded on its own line in the Statement of Operations and Comprehensive Loss until the warrants are exercised, expire or other facts and circumstances lead the warrant liability to be reclassified as an equity instrument.

Stock-Based Compensation

        At December 31, 2013, the Company had one stock-based compensation plan, which is more fully described in Note 7. The Company accounts for stock-based compensation in accordance with the provisions of ASC Topic 718, Compensation—Stock Compensation (ASC 718), which requires the recognition of expense related to the fair value of stock-based compensation awards in the Statements of Operations and Comprehensive Loss.

        For stock options issued to employees and members of the board of directors for their services on the board, the Company estimates the grant date fair value of each option using the Black-Scholes option-pricing model. The use of the Black-Scholes option pricing model requires management to make assumptions with respect to the expected term of the option, the expected volatility of the common stock consistent with the expected life of the option, risk-free interest rates, the value of the common stock and expected dividend yields of the common stock. For awards subject to service-based vesting conditions, the Company recognizes stock-based compensation expense, net of estimated forfeitures, equal to the grant date fair value of stock options on a straight-line basis over the requisite service period, which is generally the vesting term. For awards subject to both performance and service-based vesting conditions, the Company recognizes stock-based compensation expense using the accelerated attribution method when it is probable that the performance condition will be achieved. Forfeitures are required to be estimated at the time of grant and revised, if necessary, in subsequent periods if actual forfeitures differ from those estimates.

        Share-based payments issued to non-employees are recorded at their fair values, and are periodically revalued as the equity instruments vest and are recognized as expense over the related service period in accordance with the provisions of ASC 718 and ASC Topic 505, Equity. See Note 7 for

F-14


Table of Contents


TREVENA, INC.

NOTES TO FINANCIAL STATEMENTS (Continued)

DECEMBER 31, 2013

2. SUMMARY OF SIGNIFICANT ACCOUNTING POLICIES (Continued)

a discussion of the assumptions used by the Company in determining the grant date fair value of options granted under the Black-Scholes option pricing model, as well as a summary of the stock option activity under the Company's stock-based compensation plan for the years ended December 31, 2012 and 2013.

Clinical Trial Expense Accruals

        As part of the process of preparing its financial statements, the Company is required to estimate its expenses resulting from its obligations under contracts with vendors, clinical research organizations and consultants and under clinical site agreements in connection with conducting clinical trials. The financial terms of these contracts are subject to negotiations, which vary from contract to contract and may result in payment flows that do not match the periods over which materials or services are provided under such contracts. The Company's objective is to reflect the appropriate trial expenses in its financial statements by matching those expenses with the period in which services are performed and efforts are expended. The Company accounts for these expenses according to the progress of the trial as measured by subject progression and the timing of various aspects of the trial. The Company determines accrual estimates through financial models taking into account discussion with applicable personnel and outside service providers as to the progress or state of consummation of trials, or the services completed. During the course of a clinical trial, the Company adjusts its clinical expense recognition if actual results differ from its estimates. The Company makes estimates of its accrued expenses as of each balance sheet date based on the facts and circumstances known to it at that time. The Company's clinical trial accruals are dependent upon the timely and accurate reporting of contract research organizations and other third-party vendors. Although the Company does not expect its estimates to be materially different from amounts actually incurred, its understanding of the status and timing of services performed relative to the actual status and timing of services performed may vary and may result in it reporting amounts that are too high or too low for any particular period. For the years ended December 31, 201 and 2013, there were no material adjustments to the Company's prior period estimates of accrued expenses for clinical trials.

Segment Information

        Operating segments are identified as components of an enterprise about which separate discrete financial information is available for evaluation by the chief operating decision maker, or decision-making group, in making decisions on how to allocate resources and assess performance. The Company's chief operating decision maker is the chief executive officer. The Company and the chief executive officer view the Company's operations and manage its business as one operating segment. All long-lived assets of the Company reside in the United States.

Basic and Diluted Net Loss Per Share of Common Stock

        Basic net loss per share of common stock is computed by dividing net loss attributable to common stockholders by the weighted-average number of shares of common stock outstanding during the period, excluding the dilutive effects of preferred stock, warrants to purchase preferred stock and stock options. Diluted net loss per share of common stock is computed by dividing the net loss attributable to common stockholders by the sum of the weighted-average number of shares of common stock

F-15


Table of Contents


TREVENA, INC.

NOTES TO FINANCIAL STATEMENTS (Continued)

DECEMBER 31, 2013

2. SUMMARY OF SIGNIFICANT ACCOUNTING POLICIES (Continued)

outstanding during the period plus the potential dilutive effects of preferred stock and warrants to purchase preferred stock, and stock options outstanding during the period calculated in accordance with the treasury stock method, although these shares, options and warrants are excluded if their effect is anti-dilutive. Because the impact of these items is anti-dilutive during periods of net loss, there was no difference between basic and diluted net loss per share of Common Stock for the years ended December 31, 2012 and 2013.

Recent Accounting Pronouncements

        On April 5, 2012, the Jump-Start Our Business Startups Act (the JOBS Act) was signed into law. The JOBS Act contains provisions that, among other things, reduce certain reporting requirements for an "emerging growth company." The Company is considered an emerging growth company, but has elected to not take advantage of the extended transition period afforded by the JOBS Act for the implementation of new or revised accounting standards. As a result, the Company will comply with new or revised accounting standards on the relevant dates on which adoption of such standards is required for non-emerging growth companies.

        In February 2013, FASB issued ASU No. 2013-02, "Comprehensive Income (Topic 220): Reporting of Amounts Reclassified Out of Accumulated Other Comprehensive Income" ('ASU 2013-02). ASU 2013-02 requires companies to present either in a single note or parenthetically on the face of the financial statements, the effect of significant amounts reclassified from each component of accumulated other comprehensive income based on its source and the income statement line items affected by the reclassification. The adoption of this standard did not have a significant impact on its financial position, results of operations or cash flows.

3. NET LOSS PER COMMON SHARE

        The following table sets forth the computation of basic and diluted net loss per share for the periods indicated:

 
  Year Ended December 31,  
 
  2012   2013  

Basic and diluted net loss per common share calculation:

             

Net loss

  $ (15,635,658 )   (23,251,435 )

Accretion of redeemable convertible preferred stock

    (316,642 )   (333,710 )
           

Net loss attributable to common stockholders

  $ (15,952,300 ) $ (23,585,145 )
           
           

Weighted average common shares outstanding

    673,191     793,806  
           
           

Net loss per share of common stock—basic and diluted

  $ (23.70 ) $ (29.71 )
           
           

F-16


Table of Contents


TREVENA, INC.

NOTES TO FINANCIAL STATEMENTS (Continued)

DECEMBER 31, 2013

3. NET LOSS PER COMMON SHARE (Continued)

        The following outstanding securities at December, 31, 2012 and 2013 have been excluded from the computation of diluted weighted shares outstanding, as they would have been anti-dilutive:

 
  December 31,  
 
  2012   2013  

Redeemable convertible preferred stock

    9,689,486     15,707,986  

Options outstanding

    1,523,156     2,795,746  

Warrants

    288,705     199,996  
           

Total

    11,501,347     18,703,728  
           
           

4. PROPERTY AND EQUIPMENT

        Property and equipment consisted of the following:

 
  December 31,  
 
  2012   2013  

Laboratory equipment

  $ 1,853,685     1,853,685  

Computers and software

    416,606     509,109  

Office equipment and furniture

    185,044     193,781  

Leasehold improvements

    1,680,125     1,718,922  
           

Total property and equipment

    4,135,460     4,275,497  

Less accumulated depreciation and amortization

    (3,225,659 )   (3,932,438 )
           

Property and equipment, net

  $ 909,801   $ 343,059  
           
           

        Depreciation and amortization expense was $787,522 and $706,779 for the years ended December 31, 2012 and 2013, respectively.

5. ACCRUED EXPENSES AND OTHER CURRENT LIABILITIES

        Accrued expenses and other current liabilities consisted of the following:

 
  December 31,  
 
  2012   2013  

Compensation and benefits

  $ 745,820   $ 859,444  

Clinical trial fees

    269,367     762,687  

Other research and development expenses

    164,777     507,845  

Professional services

    60,855     24,005  

Other accrued expenses and other current liabilities

    40,841     4,811  
           

Total accrued expenses and other current liabilities

  $ 1,281,660   $ 2,158,792  
           
           

F-17


Table of Contents


TREVENA, INC.

NOTES TO FINANCIAL STATEMENTS (Continued)

DECEMBER 31, 2013

6. LOANS PAYABLE

        In September 2008, the Company entered into an equipment loan facility with a bank (the Bank Facility) that provided for borrowings up to $1,500,000, subject to certain conditions, through February 2009. Borrowings under the Bank Facility were used to finance laboratory equipment, office equipment, furnishings and, up to specified maximum percentages, software and leasehold improvements. In November 2011, the Company repaid the outstanding balance of the loan, plus a final payment equal to 2% of the amount borrowed. In connection with the borrowings under the Bank Facility, the Company issued a ten-year warrant to purchase 15,000 shares of common stock at $0.01 per share, exercisable through June 2018.

        In November 2009, the Company entered into an equipment loan facility with the Commonwealth of Pennsylvania (the PA Facility) that provided for borrowings of up to $815,278 subject to certain conditions. Borrowings under the PA Facility were used to finance laboratory equipment and computer equipment. Borrowings were secured by the related assets. In December 2012, the Company repaid the outstanding balance of the loan. Interest expense related to the PA Facility was $9,970 for the year ended December 31, 2012. In connection with the PA Facility, the Company incurred financing costs of $13,745, which were included in other assets and amortized to interest expense over the term of the PA Facility. Amortization expense of these deferred financing costs was $7,137 for the year ended December 31, 2012.

        In December 2011, the Company entered into a loan facility with Comerica Bank (the Comerica Facility) that provided for borrowings of up to $5,300,000 subject to certain conditions. Borrowings under the Comerica Facility were used to fund working capital for general business requirements and were secured by the assets of the Company, excluding intellectual property. The facility bore interest at the prime rate plus a 1% margin. The Company drew down the entire amount available under the Comerica Facility during 2012. The borrowings were being repaid in 30 equal monthly installments, plus interest, beginning November 1, 2012. As of December 31, 2012, $4,946,667 of borrowings were outstanding under the Comerica Facility. Interest expense related to the Comerica Facility was $150,751 and $64,292 for the years ended December 31, 2012 and 2013, respectively. On May 3, 2013, the Company used a portion of the proceeds from the Series C Preferred Stock (Note 6) to repay the remaining Comerica Facility outstanding balance of $4,073,485, including unpaid interest and fees.

        In connection with the Comerica Facility, the Company incurred financing costs of $62,034, which were included in other assets at December 31, 2012 and were being amortized to interest expense over the term of the Comerica Facility until May 3, 2013 when the financing costs were fully expensed. Amortization expense of these deferred financing costs was $18,464 and $42,047 for the years ended December 31, 2012 and 2013, respectively. In connection with the borrowings under the Comerica Facility, the Company issued a ten-year warrant to purchase 125,000 shares of Series B preferred stock at $1.00 per share, exercisable through December 2021. The Company recorded a total of $101,707 as debt discount related to the estimated fair value of the preferred stock warrants issued, with a corresponding credit to the preferred stock warrant liability. The debt discount was being amortized to interest expense over the term of the Comerica Facility. Interest expense related to the amortization of the debt discount was $23,247 and $78,460 for the years ended December 31, 2012 and 2013, respectively.

F-18


Table of Contents


TREVENA, INC.

NOTES TO FINANCIAL STATEMENTS (Continued)

DECEMBER 31, 2013

7. REDEEMABLE CONVERTIBLE PREFERRED STOCK AND STOCKHOLDERS' EQUITY

        On January 4, 2008, the Company authorized the sale and issuance of up to 25,000,000 shares of Series A Convertible Preferred Stock (the Series A). On January 7, 2008, the Company completed the first closing of its sale of the Series A and issued 501,562 shares at $1.00 per share generating gross proceeds of $501,562. On January 31, 2008, the Company completed a second closing of its sale of the Series A and issued an additional 4,514,062 shares at $1.00 per share generating gross proceeds of $4,514,062. Costs associated with these offerings were $200,137. In September 2008, the Company completed a third closing of its sale of the Series A and issued an additional 8,025,000 shares at $1.00 per share generating gross proceeds of $8,025,000. Costs associated with this offering were $2,154. On June 30, 2009, the Company completed a fourth closing of its sale of the Series A and issued 11,034,375 shares at $1.00 per share generating gross proceeds of $11,034,375. Costs associated with this offering were $561. On November 16, 2009, the Company amended the stock purchase agreement associated with the Series A financing and issued an additional 1,000,000 shares at $1.00 per share generating gross proceeds of $1,000,000. Costs associated with this offering were $3,398. All offering costs associated with the Series A are being accreted into the carrying value of the Series A until its redemption date, adjusted on July 8, 2010 from January 2014 to July 2016.

        On July 8, 2010, the Company authorized the sale and issuance of up to 35,000,000 shares of Series B Preferred Stock (the Series B) and up to 4,300,000 of Series B-1 Preferred Stock (the Series B-1). In connection with the authorization of the Series B and the Series B-1, the Company also authorized the sale and issuance of warrants to purchase up to 1,700,000 shares of the Series B-1 (the Series B-1 Warrants). On July 8, 2010, the Company completed the first closing of its sale of the Series B and issued 17,500,000 shares at $1.00 per share generating gross proceeds of $17,500,000. Costs associated with this offering were $38,568. On July 8, 2011, the Company completed its second closing, issuing 5,700,000 shares of its Series B at $1.00 per share and 1,800,000 shares of its Series B-1 at $1.00 per share. Costs associated with this offering were $8,229. On December 15, 2011, the Company completed its third closing issuing 7,600,000 shares of its Series B at $1.00 per share and 2,400,000 shares of its Series B-1 at $1.00 per share. Costs associated with this offering were $4,989. All offering costs associated with the Series B and Series B-1 are being accreted into the carrying value of the preferred stock until its redemption date in July 2016.

        In connection with the issuance of the Series B-1 shares in the second and third closings, the Series B-1 shareholders received ten-year warrants to purchase a total of 1,650,000 shares of the Company's Series B-1 Preferred Stock at an exercise price of $1.00 per share. The estimated fair value of the preferred stock warrants on the dates of issuance of $1,347,428 was recorded as a reduction to the carrying value of the Series B-1 Preferred stock and is being accreted into the carrying value of the Series B-1 until its redemption date in July 2016. The preferred stock warrants were recorded as a liability pursuant to the guidance for accounting for certain financial instruments with characteristics of both liabilities and equity and are revalued at each reporting period to reflect any changes in fair value. In November 2013, one of the Company's warrant holders exercised its warrants to purchase 550,000 shares of the Company's Series B preferred stock. Of the remaining 1,225,000 outstanding warrants to purchase preferred stock at December 31, 2013, 1,100,000 were net exercised immediately prior to the consummation of the Company's initial public offering in February 2014. Upon consummation of the Company's initial public offering, the remaining warrant to purchase up to 125,000 shares of the Company's Series B preferred stock was converted into a warrant to purchase up to 20,161 shares the

F-19


Table of Contents


TREVENA, INC.

NOTES TO FINANCIAL STATEMENTS (Continued)

DECEMBER 31, 2013

7. REDEEMABLE CONVERTIBLE PREFERRED STOCK AND STOCKHOLDERS' EQUITY (Continued)

Company's common stock, and the fair value of the warrant liability at that time was reclassified to additional paid-in capital.

        In May, 2013, the Company authorized the sale and issuance of up to 37,000,000 shares of Series C Preferred Stock (the Series C). On May 3, 2013, the Company completed the closing of its sale of the Series C and issued 36,764,704 shares at $1.632 per share generating gross proceeds of $59,999,997. Costs associated with this offering were $81,080. All offering costs associated with the Series C were recorded as a discount and are being accreted into the carrying value of the Series C until its redemption date in July 2016.

        Each share of the Series A, the Series B, the Series B-1 and the Series C preferred stock is convertible into approximately 0.1613 shares of common stock at any time at the option of the holder. The preferred stock is automatically convertible in the event of (i) an initial public offering at a price of at least $4.00 per share of common stock (subject to adjustment to reflect stock splits, stock dividends, stock combinations, recapitalizations and like occurrences) and net proceeds to the Company of at least $40 million; or (ii) the affirmative vote or written consent of the holders of at least 60% of shares of the preferred stock then outstanding. Each share of Series A, B or B-1 preferred stock is also subject to a special mandatory conversion feature. In the event that any holder of shares of Series A, B or B-1 preferred stock does not participate in a Qualified Financing (as defined in the Company's Certificate of Incorporation) by purchasing, in the aggregate, in such Qualified Financing and within the time period specified by the Company, such holder's pro rata amount, then such holder's shares of preferred stock will automatically convert into common stock at the respective Conversion Price (as defined). The Company evaluated each series of its Preferred Stock and determined that each individual series is considered an equity host under ASC 815. As a result of the Company's conclusion that the Preferred Stock represents an equity host, the conversion feature of all series of Preferred Stock is considered to be clearly and closely related to the associated Preferred Stock host instrument. Accordingly, the conversion feature of all series of Preferred Stock is not considered an embedded derivative that requires bifurcation. The Company accounts for potential beneficial conversion features under FASB ASC Topic 470-20, Debt with Conversion and Other Options. At the time of each of the issuances of Preferred Stock, the Company's common stock into which each series of the Company's Preferred Stock is convertible had an estimated fair value less than the effective conversion prices of the Preferred Stock. Therefore, there was no intrinsic value on the respective commitment dates.

        Holders of the preferred stock are entitled to receive non-cumulative dividends at the rate of 8% of the applicable purchase price per share per annum if and when declared by the board of directors. No dividends have been declared through December 31, 2013.

        Holders of the preferred stock, voting as a class, are entitled to elect five members of the board of directors.

        Holders of the Series A, the Series B, and the Series B-1 are entitled to a liquidation preference in an amount equal to $1.00 per share plus all declared and unpaid dividends in the event of a liquidation, dissolution, or winding-up of the Company, or in the event the Company merges with or is acquired by another entity. Holders of the Series C are entitled to a liquidation preference in an amount equal to $1.632 per share plus all declared and unpaid dividends in the event of a liquidation,

F-20


Table of Contents


TREVENA, INC.

NOTES TO FINANCIAL STATEMENTS (Continued)

DECEMBER 31, 2013

7. REDEEMABLE CONVERTIBLE PREFERRED STOCK AND STOCKHOLDERS' EQUITY (Continued)

dissolution, or winding-up of the Company, or in the event the Company merges with or is acquired by another entity.

        At any time on or after July 8, 2016, the holders of at least 60% of the outstanding shares of the preferred stock may require the Company to redeem, in three annual installments beginning on the date of the initial redemption, all of the outstanding shares of the preferred stock for an amount equal to the original issue price per share plus any declared and unpaid dividends.

Common Stock

        The Company was authorized to issue 85,000,000 and 132,000,000 shares of common stock as of December 31, 2012 and 2013, respectively. The Company is required, at all times, to reserve and keep available out of its authorized but unissued shares of common stock sufficient shares to effect the conversion of the shares of the preferred stock and all stock options and warrants.

        Holders of the common stock, voting as a class, are entitled to elect one member of the board of directors.

Restricted Stock Agreements

        In connection with the formation of the Company, 373,548 shares of restricted common stock were sold to the Company's initial shareholders at a price of $0.0062 per share. The restricted stock agreements imposed transfer restrictions on the unvested shares of common stock and provided the Company with certain repurchase rights. The restricted shares vested ratably over four years from the time of grant.

        In March 2008, the Company sold 256,451 shares of restricted common stock to four individuals in consideration for the performance of certain services. The Company received proceeds of $9,420 and recorded expense of $6,480 in 2008 related to the issuance of these shares. The restricted stock agreements imposed transfer restrictions on the unvested shares of common stock and provided the Company with certain repurchase rights. The restricted shares vested over periods ranging from two to four years from time of grant. Of these shares, 140,322 were sold under the 2008 Equity Incentive Plan discussed below.

        In August 2009, the Company sold 81,290 shares of restricted common stock to one individual which were subsequently adjusted in November 2009 to 16,129 shares of fully vested common stock in consideration for the performance of certain services. The Company received proceeds of $100 and recorded expense of $900 in 2009 related to the issuance of these shares.

        In May 2010, the Company repurchased 21,169 shares of restricted common stock in association with the voluntary termination of one individual for a price of $1,312.

        There were no unvested shares of common stock that remain subject to repurchase rights as of December 31, 2013.

F-21


Table of Contents


TREVENA, INC.

NOTES TO FINANCIAL STATEMENTS (Continued)

December 31, 2013

7. REDEEMABLE CONVERTIBLE PREFERRED STOCK AND STOCKHOLDERS' EQUITY (Continued)

2008 Equity Incentive Plan

        In January 2008, the Company adopted the 2008 Equity Incentive Plan (the Plan), amended on February 29, 2008, January 7, 2010, July 8, 2010, December 10, 2010, June 23, 2011 and June 17, 2013 that authorizes the Company to grant up to 3,310,990 shares of common stock to eligible employees, directors and consultants to the Company, in the form of restricted stock and stock options. The amount, terms of grants and exercisability provisions are determined by the board of directors. The term of the options may be up to ten years, and options are exercisable in cash or as otherwise determined by the board of directors. Vesting generally occurs over a period of not greater than four years.

        The estimated grant-date fair value of the Company's share-based awards is amortized ratably over the awards' service periods. Share-based compensation expense recognized was as follows:

 
  Year Ended December 31,  
 
  2012   2013  

Research and development

  $ 124,879   $ 609,483  

General and administrative

    51,429     318,513  
           

Total stock-based compensation

  $ 176,308   $ 927,996  
           
           

 

 
   
  Options Outstanding  
 
  Shares Available for Grant   Number of Shares   Weighted-Average Exercise Price   Weighted Average Remaining Contractual Term (in years)  

Balance, December 31, 2011

    159,523     1,563,895     0.56     8.55  

Granted

    (221,770 )   221,770     0.68        

Exercised

    —     (28,459 )   0.12        

Forfeitures

    234,050     (234,050 )   0.68        
                       

Balance, December 31, 2012

    171,803     1,523,156     0.56     7.89  

Authorized

    1,459,514     —              

Granted

    (1,730,156 )   1,730,156     3.73        

Exercised

          (275,262 )   0.30        

Forfeitures

    182,304     (182,304 )   0.95        
                       

Balance, December 31, 2013

    83,465     2,795,746     2.52     8.45  
                       
                       

Vested or expected to vest at December 31, 2013

          2,795,746     2.52     8.45  
                         
                         

Exercisable at December 31, 2013

          996,263     0.90     7.09  
                         
                         

        The intrinsic value of our 996,263 options exercisable as of December 31, 2013 was $6.1 million, based on a per share price of $7.00, the Company's initial public offering price, and a weighted average

F-22


Table of Contents


TREVENA, INC.

NOTES TO FINANCIAL STATEMENTS (Continued)

December 31, 2013

7. REDEEMABLE CONVERTIBLE PREFERRED STOCK AND STOCKHOLDERS' EQUITY (Continued)

exercise price of $0.90 per share. The intrinsic value of our 1,799,483 unvested options as of December 31, 2013 was $6.4 million, based on a per share price of $7.00, the Company's initial public offering price, and a weighted average exercise price of $3.45 per share.

        The Company uses the Black-Scholes option-pricing model to estimate the fair value of stock options at the grant date. The Black-Scholes model requires the Company to make certain estimates and assumptions, including estimating the fair value of the Company's common stock, assumptions related to the expected price volatility of the Company's stock, the period during which the options will be outstanding, the rate of return on risk-free investments and the expected dividend yield for the Company's stock.

        The per-share weighted-average grant date fair value of the options granted to employees during 2012 and 2013 was estimated at $0.56 and $2.52, respectively, per share on the date of grant using the Black-Scholes option-pricing model with the following weighted-average assumptions:

 
  Year Ended December 31,  
 
  2012   2013  

Risk-free interest rate

    1.92 %   1.52 %

Expected term of options (in years)

    6.1     6.1  

Expected volatility

    80.0 %   80.5 %

Dividend yield

    0.00 %   0.00 %

        The weighted-average valuation assumptions were determined as follows:

    •
    Risk-free interest rate: The Company based the risk-free interest rate on the interest rate payable on U.S. Treasury securities in effect at the time of grant for a period that is commensurate with the assumed expected option term.

    •
    Expected term of options: The Company estimated the expected life of its employee stock options using the "simplified" method, as prescribed in Staff Accounting Bulletin (SAB) No. 107, whereby the expected life equals the arithmetic average of the vesting term and the original contractual term of the option due to its lack of sufficient historical data.

    •
    Expected stock price volatility: The Company estimated the expected volatility based on actual historical volatility of the stock price of similar companies with publicly-traded equity securities. The Company calculated the historical volatility of the selected companies by using daily closing prices over a period of the expected term of the associated award. The companies were selected based on their enterprise value, risk profiles, position within the industry and with historical share price information sufficient to meet the expected term of the associated award. A decrease in the selected volatility would have decreased the fair value of the underlying instrument.

    •
    Expected annual dividend yield: The Company estimated the expected dividend yield based on consideration of its historical dividend experience and future dividend expectations. The Company has not historically declared or paid dividends to stockholders. Moreover, it does not intend to pay dividends in the future, but instead expects to retain any earnings to invest in the

F-23


Table of Contents


TREVENA, INC.

NOTES TO FINANCIAL STATEMENTS (Continued)

December 31, 2013

7. REDEEMABLE CONVERTIBLE PREFERRED STOCK AND STOCKHOLDERS' EQUITY (Continued)

      continued growth of the business. Accordingly, the Company assumed an expected dividend yield of 0.0%.

    •
    Estimated forfeiture rate: The Company's estimated annual forfeiture rate on 2013 stock option grants was 5%, based on the historical forfeiture experience.

        The fair value of the Company's common stock, prior to the Company's initial public offering, was determined by its board of directors with assistance of its management. The board of directors and management considered numerous objective and subjective factors in the assessment of fair value, including the price for the Company's preferred stock that was sold to investors and the rights, preferences and privileges of the preferred stock and common stock, the Company's financial condition and results of operations during the relevant periods and the status of strategic initiatives. These estimates involve a significant level of judgment.

        As of December 31, 2013, there was $4.1 million of total unrecognized compensation expense, related to unvested options granted under the Plan, which will be recognized over the weighted average remaining period of 2.02 years.

Shares Reserved for Future Issuance

        At December 31, 2013, the Company has reserved the following shares of common stock for issuance:

Common stock options outstanding

    2,795,746  

Common stock options and restricted stock available for future grant

    83,465  

Series A Preferred Stock

    4,044,340  

Series B Preferred Stock

    4,967,732  

Series B-1 Preferred Stock

    766,129  

Series C Preferred Stock

    5,929,785  

Preferred and Common Stock warrants outstanding

    199,996  
       

    18,787,193  
       
       

2013 Equity Incentive Plan

        The Company has adopted a 2013 Equity Incentive Plan, or the 2013 plan. The 2013 plan became effective upon the initial public offering in February 2014. As of the time the 2013 plan became effective, no further grants may be made under the 2008 Equity Incentive Plan, or 2008 plan. The 2013 plan provides for the grant of incentive stock options, or ISOs, nonstatutory stock options, or NSOs, stock appreciation rights, restricted stock awards, restricted stock unit awards, performance-based stock awards and other forms of equity compensation (collectively, stock awards), all of which may be granted to employees, including officers, non-employee directors and consultants of the Company. Additionally, the 2013 plan provides for the grant of performance cash awards. ISOs may be granted only to employees. All other awards may be granted to employees, including officers, and to non-employee directors and consultants.

F-24


Table of Contents


TREVENA, INC.

NOTES TO FINANCIAL STATEMENTS (Continued)

December 31, 2013

8. COMMITMENTS AND CONTINGENCIES

Licenses

        On May 3, 2013, the Company entered into an option agreement and a license agreement with Actavis plc (formerly Forest Laboratories Holdings Limited), under which the Company granted to Actavis an exclusive option to license its product candidate, TRV027. If Actavis exercises this option, the license agreement between the Company and Actavis will become effective and Actavis will have an exclusive worldwide license to develop and commercialize TRV027 and specified related compounds. Under the option agreement, the Company will conduct, at its expense, a Phase 2b trial of TRV027 in acute heart failure. Actavis may exercise its option during the pendency of the Phase 2b clinical trial or during a specified time period after the Company delivers the data from the Phase 2b clinical trial to Actavis. During the option period, the Company is not permitted to negotiate for or enter into any agreement with a third party for the development and commercialization of TRV027 and its related compounds. Under specified circumstances linked to adverse changes in the market or with respect to TRV027, Actavis has the right to renegotiate the terms of the license agreement. If Actavis exercises such right, its option will expire and the Company will be obligated to negotiate in good faith with Actavis for a period of time the terms of any new arrangement. If the Company and Actavis are unable to agree on the terms of any new arrangement during such period of time, then the option agreement will terminate and for a specified period of time thereafter the Company may not offer a license to any third party on terms better than those last proposed by either the Company or Actavis during the negotiations.

        If Actavis does not exercise the option during the specified period, its option will expire and the license agreement will not become effective. In that event, the Company would be free to enter into a collaboration arrangement with another party for the development and commercialization of TRV027 or to pursue development and commercialization on its own.

        If Actavis exercises the option, Actavis will have the sole and exclusive right under the license agreement, at its sole cost and expense, to develop and commercialize TRV027 and specified related compounds throughout the world. At the Company's request, Actavis will consider in good faith whether to grant the Company the right to co-promote the licensed products in the United States under terms to be agreed upon by the parties.

        The Company received no consideration upon the grant of the option to Actavis. If Actavis exercises the option, the Company could potentially receive up to $430 million in the aggregate, including an upfront option exercise fee of $65 million and milestone payments depending upon the achievement of future development and commercial milestones. The Company could also receive tiered royalties between 10% and 20% on worldwide net sales of licensed products worldwide, with the royalty rates on net sales of licensed products in the United States being somewhat higher than the royalty rates on net sales of licensed products outside the United States.

        If Actavis exercises the option and the license agreement becomes effective, both Actavis and the Company would have the right to terminate the license agreement in the event of an uncured material breach or insolvency of the other party. In addition, Actavis would be permitted to terminate the license agreement without cause at any time upon prior written notice or immediately for product safety reasons. Following a termination of the license agreement, all licenses granted to Actavis would terminate, and Actavis would grant the Company an exclusive royalty bearing license under specified

F-25


Table of Contents


TREVENA, INC.

NOTES TO FINANCIAL STATEMENTS (Continued)

December 31, 2013

8. COMMITMENTS AND CONTINGENCIES (Continued)

patents and know-how to develop and commercialize reverted licensed products. If not terminated, the license agreement would remain in effect until the expiration of the last royalty term for the last licensed product.

        If Actavis elects to exercise its option, the term of the royalty on sales of TRV027 for a given country would extend until the first to occur of (i) 10 years from first commercial sale of TRV027 in that country, (ii) the expiration of the last to expire patent claiming TRV027 that is sufficient to block the entrance of a generic version of the product, or (iii) the expiration of any period of exclusivity granted by applicable law or any regulatory authority in such country that confers exclusive marketing rights on the product.

        Actavis has the right to grant sublicenses under the license agreement to affiliates and third parties. Any sublicensing does not act to relieve Actavis of any of its obligations under the license agreement, including Actavis's obligation to make milestone payments to the Company with respect to TRV027 or pay royalties to the Company on sales of TRV027 by such sublicensee. Actavis participated in the Series C Preferred Stock financing (Note 7) and purchased $30 million of Series C Preferred Stock. Because the Series C Preferred Stock was acquired at the same time as the option agreement, management considered whether the Preferred Stock was issued at fair value and if not, whether the consideration received for the Preferred Stock should be allocated in the financial statements in a manner differently than the price stated in the agreement. The Series C Preferred Stock acquired by Actavis was acquired at the same time and at the same price per share as all of the other investors in the Series C Preferred Stock financing and therefore the preferred stock sold to Actavis was deemed to be issued at fair value and no value was allocated to the option agreement.

Operating Leases

        The Company leases office and laboratory space in Pennsylvania. In addition, the Company leases vivarium space in Pennsylvania. The vivarium lease can be terminated at any time upon 90 days' written notice by the Company. The Company's leases contain escalating rent clauses, which require higher rent payments in future years. The Company expenses rent on a straight-line basis over the term of the lease, including any rent-free periods. In July 2013, the Company extended the lease for the Company's office and laboratory lease in Pennsylvania until September 2020, with a Company option to terminate the lease in December 2017 with a required termination payment of $131,902.

        Rent expense under operating leases was $438,173 and $459,288 in 2012 and 2013, respectively.

        Future minimum lease payments, including termination fees, under noncancelable lease agreements as of December 31, 2013, are as follows:

 
  Operating Lease  

2014

  $ 226,313  

2015

    232,688  

2016

    239,064  

2017

    356,622  
       

Total minimum lease payments

  $ 1,054,687  
       
       

F-26


Table of Contents


TREVENA, INC.

NOTES TO FINANCIAL STATEMENTS (Continued)

December 31, 2013

8. COMMITMENTS AND CONTINGENCIES (Continued)

        The Company had deferred rent of $347,033 at December 31, 2013. This balance related entirely to the Pennsylvania office and laboratory lease.

Legal Proceedings

        The Company is not involved in any legal proceeding that it expects to have a material effect on its business, financial condition, results of operations and cash flows.

9. INCOME TAXES

        The Company provides for income taxes under ASC 740. Under ASC 740, the liability method is used in accounting for income taxes. Under this method, deferred tax assets and liabilities are determined based on differences between financial reporting and tax bases of assets and liabilities, and are measured using the enacted tax rates and laws that will be in effect when the differences are expected to reverse.

        The Company did not record a current or deferred income tax expense or benefit in 2012 or 2013.

        The Company's loss before income taxes was $15,635,658 and $23,251,435 for the years ended December 31, 2012 and 2013, respectively, and was generated entirely in the United States.

        Deferred taxes are recognized for temporary differences between the basis of assets and liabilities for financial statement and income tax purposes. The significant components of the Company's deferred tax assets are comprised of the following:

 
  December 31,  
 
  2012   2013  

Deferred tax assets:

             

Net operating losses

  $ 3,116,214   $ 5,159,176  

Research and development credits

    1,653,174     2,801,924  

Research and development expenses capitalized for tax purposes

    20,042,703     26,936,217  

Deferred rent

    40,350     140,873  

Depreciation

    487,224     652,104  

Other temporary differences

    497,268     628,296  
           

Total deferred tax assets

    25,836,933     36,318,590  

Deferred tax liabilities:

             

Prepaid expenses

    (44,561 )   (80,311 )
           

Total deferred tax liabilities

    (44,561 )   (80,311 )
           

Net deferred tax assets

    25,792,372     36,238,279  

Less valuation allowance

    (25,792,372 )   (36,238,279 )
           

Net deferred tax asset

  $ —   $ —  
           
           

        The Company has evaluated the positive and negative evidence bearing upon the realizability of its deferred tax assets. Based on the Company's history of operating losses since inception, the Company

F-27


Table of Contents


TREVENA, INC.

NOTES TO FINANCIAL STATEMENTS (Continued)

December 31, 2013

9. INCOME TAXES (Continued)

has concluded that it is more likely than not that the benefit of its deferred tax assets will not be realized. Accordingly, the Company has provided a full valuation allowance for deferred tax assets as of December 31, 2012 and 2013. The valuation allowance increased by $6,432,425 and $10,445,907 during the years ended December 31, 2012 and 2013, respectively, due primarily to the generation of net operating losses during the periods.

        A reconciliation of income tax expense computed at the statutory federal income tax rate to income taxes as reflected in the financial statements is as follows:

 
  December 31,  
 
  2012   2013  

Percent of pre-tax income:

             

U.S. federal statutory income tax rate

    34.0 %   34.0 %

Permanent Differences

    0.0 %   (0.5 )%

State taxes, net of federal benefit

    6.6 %   6.5 %

Research and development credit

    0.0 %   1.9 %

Change in valuation allowance

    (40.6 )%   (41.9 )%
           

Effective income tax rate

    0.0 %   0.0 %
           
           

        As of December 31, 2012 and 2013, the Company had U.S. federal net operating loss carryforwards of $7,674,369 and $12,707,112, respectively, which may be available to offset future income tax liabilities and will begin to expire at various dates starting in 2027. As of December 31, 2012 and 2013, the Company also had U.S. state net operating loss carryforwards of $7,688,430 and $12,721,173, respectively, which may be available to offset future income tax liabilities and will begin to expire at various dates starting in 2027.

        As of December 31, 2012 and 2013, the Company had federal research and development tax credit carryforwards of $1,499,073 and $2,524,082, respectively, available to reduce future tax liabilities which will begin to expire at various dates starting in 2027. As of December 31, 2012 and 2013, the Company had state research and development tax credit carryforwards of approximately $233,487 and $420,974, respectively, available to reduce future tax liabilities which will begin to expire at various dates starting in 2022.

        Under the provisions of the Internal Revenue Code, the net operating loss and tax credit carryforwards are subject to review and possible adjustment by the Internal Revenue Service and state tax authorities. Net operating loss and tax credit carryforwards may become subject to an annual limitation in the event of certain cumulative changes in the ownership interest of significant shareholders over a three-year period in excess of 50 percent, as defined under Sections 382 and 383 of the Internal Revenue Code, respectively, as well as similar state provisions. This could limit the amount of tax attributes that can be utilized annually to offset future taxable income or tax liabilities. The amount of the annual limitation is determined based on the value of the Company immediately prior to the ownership change. Subsequent ownership changes may further affect the limitation in future years. The Company has completed several financings since its inception which may have resulted in a change in control as defined by Sections 382 and 383 of the Internal Revenue Code, or could result in a change in control in the future.

F-28


Table of Contents


TREVENA, INC.

NOTES TO FINANCIAL STATEMENTS (Continued)

December 31, 2013

9. INCOME TAXES (Continued)

        The Company will recognize interest and penalties related to uncertain tax positions in income tax expense. As of December 31, 2012 and 2013, the Company had no accrued interest or penalties related to uncertain tax positions and no amounts have been recognized in the Company's Statements of Operations and Comprehensive Loss.

        For all years through December 31, 2013, the Company generated research credits but has not conducted a study to document the qualified activities. This study may result in an adjustment to the Company's research and development credit carryforwards; however, until a study is completed and any adjustment is known, no amounts are being presented as an uncertain tax position for these years. A full valuation allowance has been provided against the Company's research and development credits and, if an adjustment is required, this adjustment would be offset by an adjustment to the deferred tax asset established for the research and development credit carryforwards and the valuation allowance.

        The American Tax Relief Act of 2012, enacted January 2, 2013, retroactively reinstated the research and development credit for 2012 and 2013. Accordingly, in 2013 we recorded credits of approximately $586 thousand related to 2012 as a result of the retroactive reinstatement.

        The Company files income tax returns in the United States, and various state jurisdictions. The federal and state income tax returns are generally subject to tax examinations for the tax years ended December 31, 2010 through December 31, 2012. To the extent the Company has tax attribute carryforwards, the tax years in which the attribute was generated may still be adjusted upon examination by the Internal Revenue Service or state tax authorities to the extent utilized in a future period.

10. RELATED-PARTY TRANSACTIONS

        The Company has consulting agreements with two founding scientists and shareholders, under which $90,000 and $65,750 was paid in 2012 and 2013, respectively. The consulting agreements are currently ongoing and can be terminated with 30 days' notice.

11. EMPLOYEE BENEFIT PLAN

        The Company sponsors a 401(k) defined contribution plan for its employees. Employee contributions are voluntary. The Company matches employee contributions in an amount equal to 100% of the first 3% of eligible contributions and 50% of the next 2% of eligible contributions. During 2012 and 2013, the Company provided matching contributions of $213,866 and $175,943, respectively.

12. SUBSEQUENT EVENTS

        As disclosed in Note 1, on February 5, 2014, 9,250,000 shares of common stock were sold on the Company's behalf at an initial public offering price of $7.00 per share, for aggregate gross proceeds of $64.8 million. On March 6, 2014, in connection with the partial exercise by the underwriters of the Company's initial public offering of the over-allotment option granted to them in connection with the initial public offering, 270,449 additional shares of common stock were sold on the Company's behalf at the initial public offering price of $7.00 per share, for aggregate gross proceeds of approximately $1.9 million. In addition, as part of the initial public offering, all of the Company's outstanding convertible preferred stock converted, and a portion of its warrants were net exercised, into aggregate

F-29


Table of Contents


TREVENA, INC.

NOTES TO FINANCIAL STATEMENTS (Continued)

December 31, 2013

12. SUBSEQUENT EVENTS (Continued)

total of 15,649,686 shares of common stock. Upon consummation of the initial public offering in February 2014, the remaining warrant to purchase up to 125,000 shares of the Company's Series B preferred stock was converted into a warrant to purchase up to 20,161 shares of common stock, and the fair value of the warrant liability at that time was reclassified to additional paid-in capital.

13. DEVELOPMENT STAGE REPORTING

        On June 10, 2014, the FASB issued ASU No. 2014-10, "Development Stage Entities (Topic 915): Elimination of Certain Financial Reporting Requirements, Including an Amendment to Variable Interest Entities Guidance in Topic 810, Consolidation" ("ASU 2014-10"). ASU 2014-10 eliminates the accounting and reporting differences in U.S. GAAP between development stage entities and other operating entities, including the presentation of inception-to-date financial statement information and the development stage entity financial statement label. FASB guidance related to Risks and Uncertainties and FASB guidance utilized to determine if an entity is a variable interest entity now apply to entities that have not commenced planned principal operations. These changes will provide more consistent consolidation analysis and decisions among reporting entities. While these amendments are effective for annual reporting periods beginning after December 15, 2014, early adoption is permitted for any annual reporting period or interim period for which the entity's financial statements have not yet been issued. The Company retroactively adopted ASU 2014-10 in 2014. In connection with the adoption, the Company has eliminated inception to date financial information from its historical financial statements and related footnotes, including eliminating an inception to date Statement of Operations and Comprehensive Loss, Statement of Redeemable Convertible Preferred Stock and Stockholders' Deficit and Statement of Cash Flows.

        The Company's adoption of this standard did not have a significant impact on its financial position, results of operations or cash flows.

F-30


Table of Contents


TREVENA, INC.

BALANCE SHEETS

 
  September 30,
2014
  December 31,
2013
 
 
  (unaudited)
   
 

Assets

             

Current assets:

             

Cash and cash equivalents

  $ 72,224,557   $ 37,965,198  

Prepaid expenses and other current assets

    924,338     3,957,044  
           

Total current assets

    73,148,895     41,922,242  

Property and equipment, net

    593,967     343,059  

Restricted cash

    112,000     112,000  

Other assets

    101,501     15,625  
           

Total assets

  $ 73,956,363   $ 42,392,926  
           
           

Liabilities, redeemable convertible preferred stock and stockholders' (deficit) equity

             

Current liabilities:

             

Accounts payable

  $ 3,890,901   $ 545,053  

Accrued expenses and other current liabilities

    3,595,717     2,158,792  

Deferred rent

    36,615     33,114  
           

Total current liabilities

    7,523,233     2,736,959  

Long term debt, net of debt discount

    1,774,012     —  

Capital lease, net of current portion

    11,333     —  

Deferred rent, net of current portion

    292,253     313,919  

Warrant liability

    95,741     350,519  
           

Total liabilities

    9,696,572     3,401,397  

Commitments and contingencies (Note 6)

             

Redeemable convertible preferred stock:

             

Series A convertible preferred stock, $0.001 par value; 0 and 25,074,999 shares authorized, 0 and 25,074,999 shares issued and outstanding at September 30, 2014 and December 31, 2013, respectively (liquidation preference of $25,074,999 at December 31, 2013)

    —     25,024,373  

Series B convertible preferred stock, $0.001 par value; 0 and 35,500,000 shares authorized, 0 and 30,800,000 shares issued and outstanding at September 30, 2014 and December 31, 2013, respectively (liquidation preference of $30,800,000 at December 31, 2013)

    —     30,778,700  

Series B-1 convertible preferred stock, $0.001 par value; 0 shares and 6,000,000 shares authorized, 0 shares and 4,750,000 shares issued and outstanding at September 30, 2014 and December 31, 2013, respectively (liquidation preference of $4,200,000 at December 31, 2013)

    —     4,823,079  

Series C convertible preferred stock, $0.001 par value; 0 and 37,000,000 shares authorized, 0 and 36,764,704 shares issued and outstanding at September 30, 2014 and December 31, 2013, respectively (liquidation preference of $59,999,997 at December 31, 2013)

    —     59,935,986  
           

Total redeemable convertible preferred stock

    —     120,562,138  

Stockholders' (deficit) equity:

             

Preferred stock, $0.001 par value, 5,000,000 and 0 shares authorized, 0 shares issued and outstanding at September 30, 2014 and December 31, 2013, respectively

    —     —  

Common stock, $0.001 par value; 100,000,000 and 132,000,000 shares authorized, 26,376,626 and 957,756 shares issued and outstanding at September 30, 2014 and December 31, 2013, respectively

    26,377     958  

Additional paid-in capital

    182,906,231     697,283  

Accumulated deficit

    (118,672,817 )   (82,268,850 )
           

Total stockholders' (deficit) equity

    64,259,791     (81,570,609 )
           

Total liabilities, redeemable convertible preferred stock and stockholders' (deficit) equity

  $ 73,956,363   $ 42,392,926  
           
           

   

See accompanying notes to financial statements.

F-31


Table of Contents


TREVENA, INC.

STATEMENTS OF OPERATIONS AND COMPREHENSIVE LOSS (UNAUDITED)

 
  Three Months Ended
September 30,
  Nine Months Ended
September 30,
 
 
  2014   2013   2014   2013  

Revenue:

                         

Grant revenue

  $ —   $ —   $ —   $ 84,980  

Collaboration revenue

    —     —     —     50,000  
                   

Total revenue

    —     —     —     134,980  
                   

Operating expenses:

                         

General and administrative

    2,536,807     1,210,875     7,033,492     2,843,587  

Research and development

    13,006,568     6,629,932     29,671,114     12,239,679  
                   

Total operating expenses

    15,543,375     7,840,807     36,704,606     15,083,266  
                   

Loss from operations

    (15,543,375 )   (7,840,807 )   (36,704,606 )   (14,948,286 )

Other income (expense):

                         

Change in fair value of warrant liability

    11,181     (941,356 )   109,522     (1,249,849 )

Miscellaneous income

    —     1,093     184,015     1,245  

Interest income

    1,809     —     11,589     —  

Interest expense

    (4,487 )   (908 )   (4,487 )   (148,850 )
                   

Total other income (expense)

    8,503     (941,171 )   300,639     (1,397,454 )
                   

Net loss and comprehensive loss

    (15,534,872 )   (8,781,978 )   (36,403,967 )   (16,345,740 )

Accretion of redeemable convertible preferred stock

    —     (85,562 )   (28,521 )   (248,149 )
                   

Net loss attributable to common stockholders

  $ (15,534,872 ) $ (8,867,540 ) $ (36,432,488 ) $ (16,593,889 )
                   
                   

Per share information:

                         

Net loss per share of common stock, basic and diluted

  $ (0.59 ) $ (11.18 ) $ (1.58 ) $ (22.23 )
                   
                   

Weighted average shares outstanding, basic and diluted

    26,366,300     793,268     23,036,366     746,587  
                   
                   

   

See accompanying notes to financial statements.

F-32


Table of Contents

TREVENA, INC.
STATEMENTS OF REDEEMABLE CONVERTIBLE PREFERRED STOCK AND STOCKHOLDERS' (DEFICIT) EQUITY (UNAUDITED)
FOR THE PERIOD FROM JANUARY 1, 2014 TO SEPTEMBER 30, 2014

 
   
   
   
   
   
   
   
   
   
  Stockholders' (Deficit) Equity  
 
  Redeemable Convertible Preferred Stock    
   
   
   
   
 
 
  Common Stock    
   
   
 
 
   
   
   
   
   
   
  Series C    
   
   
   
 
 
  Series A   Series B   Series B-1    
   
   
   
   
  Total
Stockholders'
(Deficit)
Equity
 
 
  Number of
Shares
   
   
  Number of
Shares
  $0.001
Par
Value
  Additional
Paid-in
Capital
  Accumulated
Deficit
 
 
  Number of Shares   Amount   Number of Shares   Amount   Number of Shares   Amount   Amount   Total  

Balance, January 1, 2014

    25,074,999   $ 25,024,373     30,800,000   $ 30,778,700     4,750,000   $ 4,823,079     36,764,704   $ 59,935,986   $ 120,562,138     957,756   $ 958   $ 697,283   $ (82,268,850 ) $ (81,570,609 )

Stock-based compensation expense

    —     —     —     —     —     —     —     —     —     —     —     1,889,931     —     1,889,931  

Exercise of stock options

    —     —     —     —     —     —     —     —     —     170,135     170     100,888     —     101,058  

Accretion of Series A, Series B/B-1 and Series C convertible preferred stock to its redemption value

    —     1,688     —     709     —     23,990     —     2,134     28,521     —     —     (28,521 )   —     (28,521 )

Conversion of Series A convertible preferred stock to common stock upon initial public offering

    (25,074,999 )   (25,026,061 )   —     —     —     —     —     —     (25,026,061 )   4,044,354     4,044     25,022,017     —     25,026,061  

Conversion of Series B convertible preferred stock to common stock upon initial public offering

    —     —     (30,800,000 )   (30,779,409 )   —     —     —     —     (30,779,409 )   4,967,741     4,968     30,774,441     —     30,779,409  

Conversion of Series B-1 convertible preferred stock to common stock upon initial public offering

    —     —     —     —     (4,750,000 )   (4,847,069 )   —     —     (4,847,069 )   766,129     766     4,846,303     —     4,847,069  

Conversion of Series C convertible preferred stock to common stock upon initial public offering

    —     —     —     —     —     —     (36,764,704 )   (59,938,120 )   (59,938,120 )   5,929,789     5,930     59,932,190     —     59,938,120  

Net conversion of preferred stock warrants common stock upon initial public offering

    —     —     —     —     —     —     —     —     —     20,273     20     (20 )   —     —  

Reclassification of convertible preferred stock warrant liability

    —     —     —     —     —     —     —     —     —     —     —     145,256     —     145,256  

Issuance of common stock warrants

    —     —     —     —     —     —     —     —     —     —     —     1,000     —     1,000  

Issuance of common stock, net of issuance costs

    —     —     —     —     —     —     —     —     —     9,520,449     9,521     59,525,463     —     59,534,984  

Net loss

    —     —     —     —     —     —     —     —     —     —     —     —     (36,403,967 )   (36,403,967 )
                                                           

Balance, September 30, 2014

    —   $ —     —   $ —     —   $ —     —   $ —   $ —     26,376,626   $ 26,377   $ 182,906,231   $ (118,672,817 ) $ 64,259,791  
                                                           
                                                           

See accompanying notes to financial statements

F-33


Table of Contents


TREVENA, INC.

STATEMENTS OF CASH FLOWS (UNAUDITED)

 
  Nine Months Ended
September 30,
 
 
  2014   2013  

Operating activities:

             

Net loss

  $ (36,403,967 ) $ (16,345,740 )

Adjustments to reconcile net loss to net cash used in operating activities:

             

Depreciation and amortization

    184,868     546,763  

Stock-based compensation

    1,889,932     499,742  

Noncash interest expense on loans

    —     121,160  

Revaluation of warrant liability

    (109,522 )   1,249,849  

Changes in operating assets and liabilities:

             

Restricted cash

    —     102,000  

Receivables

    —     (178,411 )

Prepaid expenses and other assets

    2,946,831     (1,550,639 )

Accounts payable, accrued expenses and other liabilities

    4,762,085     1,868,032  
           

Net cash used in operating activities

    (26,729,773 )   (13,687,244 )
           

Investing activities:

             

Purchase of property and equipment

    (421,517 )   (78,232 )
           

Net cash used in investing activities

    (421,517 )   (78,232 )
           

Financing activities:

             

Proceeds from issuance of redeemable convertible preferred stock and warrants, net

    —     59,918,917  

Proceeds from exercise of common stock options

    101,058     38,523  

Proceeds from issuance of common stock, net

    59,534,984     —  

Net proceeds from debt issuance

    1,775,012     —  

Repayment of loans payable

    —     (4,946,667 )

Capital lease payments

    (405 )      
           

Net cash provided by financing activities

    61,410,649     55,010,773  
           

Net increase in cash and cash equivalents

    34,259,359     41,245,297  

Cash and cash equivalents—beginning of period

    37,965,198     6,738,659  
           

Cash and cash equivalents—end of period

  $ 72,224,557   $ 47,983,956  
           
           

   

See accompanying notes to financial statements.

F-34


Table of Contents


TREVENA, INC.

NOTES TO FINANCIAL STATEMENTS

SEPTEMBER 30, 2014

1. ORGANIZATION AND DESCRIPTION OF THE BUSINESS

        Trevena, Inc. (the Company) was incorporated in Delaware as Parallax Therapeutics, Inc. on November 9, 2007, began operations in December 2007, and changed its name to Trevena, Inc. on January 3, 2008. The Company is a clinical stage biopharmaceutical company that discovers, develops and intends to commercialize therapeutics that use a novel approach to target G protein coupled receptors, or GPCRs. The Company operates in one segment and has its principal office in King of Prussia, Pennsylvania.

        At September 30, 2014, the Company had an accumulated deficit of $118.7 million and its net loss was $36.4 million and $16.3 million for the nine months ended September 30, 2014 and 2013, respectively. The Company expects its cash and cash equivalents of $72.2 million as of September 30, 2014, to be sufficient to fund its operating expenses and capital expenditure requirements through the end of 2015.

Reverse Stock Split

        During 2013, the Company's Board of Directors and stockholders approved a one-for-6.2 reverse stock split of the company's common stock that became effective on October 30, 2013. All share and per share amounts in the financial statements and notes thereto have been retroactively adjusted for all periods presented to give effect to this reverse stock split.

Initial Public Offering

        On February 5, 2014, the Company issued and sold 9,250,000 shares of common stock in an initial public offering (IPO) at a price of $7.00 per share, for aggregate gross proceeds of $64.8 million. On March 6, 2014, in connection with the partial exercise of the IPO underwriters' over-allotment option, the Company sold an additional 270,449 shares of common stock at a price of $7.00 per share, for aggregate gross proceeds of approximately $1.9 million. The net offering proceeds to the Company from both sales were approximately $59.5 million, after deducting underwriting discounts and commissions of approximately $4.6 million and offering costs of approximately $2.5 million. In addition, as part of the IPO, all of the Company's outstanding convertible preferred stock was converted and all but 22,580 of its outstanding warrants were net exercised into an aggregate of 15,728,286 shares of common stock.

2. SUMMARY OF SIGNIFICANT ACCOUNTING POLICIES

Basis of Presentation

        The accompanying financial statements have been prepared in conformity with accounting principles generally accepted in the United States of America (GAAP). Any reference in these notes to applicable guidance is meant to refer to the authoritative United States generally accepted accounting principles as found in the Accounting Standards Codification (ASC) and Accounting Standards Update (ASU) of the Financial Accounting Standards Board (FASB). The Company considers the U.S. dollar to be its functional currency.

F-35


Table of Contents


TREVENA, INC.

NOTES TO FINANCIAL STATEMENTS (Continued)

SEPTEMBER 30, 2014

2. SUMMARY OF SIGNIFICANT ACCOUNTING POLICIES (Continued)

Unaudited Interim Financial Information

        The accompanying financial statements are unaudited. The interim unaudited financial statements have been prepared on the same basis as the annual audited financial statements and, in the opinion of management, reflect all adjustments, which include only normal recurring adjustments, necessary for the fair statement of the Company's financial position as of September 30, 2014 and the results of its operations, its comprehensive loss and its cash flows for the three and nine months ended September 30, 2014 and 2013. The financial data and other information disclosed in these notes related to the nine months ended September 30, 2014 and 2013 are not necessarily indicative of the results to be expected for the year ending December 31, 2014, any other interim periods or any future year or period.

Significant Accounting Policies

        The Company's significant accounting policies are described in Note 2 of the Notes to the Consolidated Financial Statements included in the Company's Annual Report on Form 10-K for the year ended December 31, 2013. Since the date of those financial statements, there have been no material changes to the Company's significant accounting policies.

Use of Estimates

        Management considers many factors in selecting appropriate financial accounting policies and controls, and in developing the estimates and assumptions that are used in the preparation of these financial statements. Management must apply significant judgment in this process. In addition, other factors may affect estimates, including expected business and operational changes, sensitivity and volatility associated with the assumptions used in developing estimates, and whether historical trends are expected to be representative of future trends. The estimation process often may yield a range of potentially reasonable estimates of the ultimate future outcomes and management must select an amount that falls within that range of reasonable estimates. This process may result in actual results differing materially from those estimated amounts used in the preparation of the financial statements if these results differ from historical experience, or other assumptions do not turn out to be substantially accurate, even if such assumptions are reasonable when made. In preparing these financial statements, management used significant estimates in the following areas, among others: stock-based compensation expense, the determination of the fair value of stock-based awards, the fair value of liability-classified preferred and common stock warrants, and the accounting for research and development costs, accrued expenses and the recoverability of the Company's net deferred tax assets and related valuation allowance.

Cash and Cash Equivalents

        The Company considers all highly liquid investments that have maturities of three months or less when acquired to be cash equivalents. Cash and cash equivalents subject the Company to concentrations of credit risk. However, the Company has invested in U.S. Treasury Bills and money market mutual funds that invest substantially all of their assets in U.S. government securities. Cash equivalents are valued at cost, which approximates their fair market value.

F-36


Table of Contents


TREVENA, INC.

NOTES TO FINANCIAL STATEMENTS (Continued)

SEPTEMBER 30, 2014

2. SUMMARY OF SIGNIFICANT ACCOUNTING POLICIES (Continued)

Fair Value Measurements

        ASC Topic 820, Fair Value Measurement (ASC 820), establishes a fair value hierarchy for instruments measured at fair value that distinguishes between assumptions based on market data (observable inputs) and the Company's own assumptions (unobservable inputs). Observable inputs are inputs that market participants would use in pricing the asset or liability based on market data obtained from sources independent of the Company. Unobservable inputs are inputs that reflect the Company's assumptions about the inputs that market participants would use in pricing the asset or liability, and are developed based on the best information available in the circumstances.

        ASC 820 identifies fair value as the exchange price, or exit price, representing the amount that would be received to sell an asset or paid to transfer a liability in an orderly transaction between market participants. As a basis for considering market participant assumptions in fair value measurements, ASC Topic 820 establishes a three-tier fair value hierarchy that distinguishes among the following:

    •
    Level 1—Valuations based on unadjusted quoted prices in active markets for identical assets or liabilities that the Company has the ability to access.

    •
    Level 2—Valuations based on quoted prices for similar assets or liabilities in active markets, quoted prices for identical or similar assets or liabilities in markets that are not active and models for which all significant inputs are observable, either directly or indirectly.

    •
    Level 3—Valuations based on inputs that are unobservable and significant to the overall fair value measurement.

        To the extent that the valuation is based on models or inputs that are less observable or unobservable in the market, the determination of fair value requires more judgment. Accordingly, the degree of judgment exercised by the Company in determining fair value is greatest for instruments categorized in Level 3. A financial instrument's level within the fair value hierarchy is based on the lowest level of any input that is significant to the fair value measurement.

        Items measured at fair value on a recurring basis include money market mutual funds, restricted cash and warrants to purchase redeemable convertible preferred stock and common stock. During the periods presented, the Company has not changed the manner in which it values assets and liabilities that are measured at fair value using Level 3 inputs. The following fair value hierarchy table presents

F-37


Table of Contents


TREVENA, INC.

NOTES TO FINANCIAL STATEMENTS (Continued)

SEPTEMBER 30, 2014

2. SUMMARY OF SIGNIFICANT ACCOUNTING POLICIES (Continued)

information about each major category of the Company's financial assets and liabilities measured at fair value on a recurring basis:

 
  Quoted Prices
in Active
Markets for
Identical Items
(Level 1)
  Significant
Other
Observable
Inputs
(Level 2)
  Significant
Unobservable
Inputs
(Level 3)
  Total  

December 31, 2013

                         

Assets

                         

Money market mutual funds

  $ 35,551,000   $ —   $ —   $ 35,551,000  

Restricted cash

    112,000     —     —     112,000  
                   

Total assets

  $ 35,663,000   $ —   $ —   $ 35,663,000  
                   
                   

Liabilities

                         

Warrants to purchase redeemable preferred stock

  $ —   $ —   $ 350,519   $ 350,519  
                   

Total liabilities

  $ —   $ —   $ 350,519   $ 350,519  
                   
                   

September 30, 2014

                         

Assets

                         

Money market mutual funds

  $ —   $ —   $ —   $ —  

U.S. Treasury Bills

    —     —     —     —  

Restricted cash

    112,000     —     —     112,000  
                   

Total assets

  $ 112,000   $ —   $ —   $ 112,000  
                   
                   

Liabilities

                         

Warrants to purchase common stock

  $ —   $ —   $ 95,741   $ 95,741  
                   

Total liabilities

  $ —   $ —   $ 95,741   $ 95,741  
                   
                   

        The U.S. Treasury Bills and money market mutual funds noted above are included in cash and cash equivalents in the accompanying balance sheets. The Company recognizes transfers between levels of the fair value hierarchy as of the end of the reporting period. There were no transfers within the hierarchy during the three or nine months ended September 30, 2013 or 2014. However, as of September 30, 2014, all existing funds previously held in money market mutual funds had been recently transferred to the Company's operating bank account pending transition to a new banking provider. As of the date of this report, these amounts have been transferred back from the operating bank account to money market mutual funds.

F-38


Table of Contents


TREVENA, INC.

NOTES TO FINANCIAL STATEMENTS (Continued)

SEPTEMBER 30, 2014

2. SUMMARY OF SIGNIFICANT ACCOUNTING POLICIES (Continued)

        The following table sets forth a summary of changes in the fair value of the Company's warrant liability, which represents a recurring measurement that is classified within Level 3 of the fair value hierarchy, wherein fair value is estimated using significant unobservable inputs:

 
  Warrant
Liability
 

Balance as of December 31, 2013

  $ 350,519  

Amounts acquired or issued

    —  

Changes in estimated fair value

    (109,522 )

Amounts reclassified to additional paid-in capital

    (145,256 )
       

Balance as of September 30, 2014

  $ 95,741  
       
       

        In connection with the issuance of debt, on September 19, 2014, the Company issued to the lenders and the placement agent in the transaction warrants to purchase an aggregate of 7,678 shares of the Company's common stock. These detachable warrant instruments have qualified for equity classification and have been allocated upon the relative fair value of the base instrument and the warrants, according to the guidance of ASC 470-20-25-2. See Note 4 for additional information.

        In connection with the issuance and sale of the Company's Series B-1 preferred shares in 2011, the Company issued to the purchasers warrants to purchase 1,650,000 shares of the Company's Series B-1 Preferred Stock. Additionally, in connection with a banking facility entered into in 2011, the Company issued a warrant to purchase 125,000 shares of Series B preferred stock. As of December 31, 2013, the fair value of the warrants outstanding of $350,519 was recognized as a liability in the Company's balance sheet in accordance with the guidance for accounting for certain financial instruments with characteristics of both liabilities and equity as the warrants entitle the holder to purchase preferred stock that is considered contingently redeemable. Upon the Company's IPO, 1,100,000 of the outstanding Series B-1 warrants were net exercised into 20,273 shares of common stock and the remaining fair value of $145,256 associated with these particular warrants was reclassified to additional paid-in capital. The warrant to purchase 125,000 shares of Series B preferred stock was converted into a warrant to purchase up to 20,161 shares of the Company's common stock and remains outstanding with a fair value recorded as a liability of $95,741 at September 30, 2014 as it contains a cash settlement feature upon certain strategic transactions.

        The fair value of the warrants classified as liabilities on each re-measurement date is estimated using the Black-Scholes option pricing model. For this liability, the Company develops its own assumptions that do not have observable inputs or available market data to support the fair value. This method of valuation involves using inputs such as the fair value of the Company's various classes of preferred stock, stock price volatility, the contractual term of the warrants, risk free interest rates and

F-39


Table of Contents


TREVENA, INC.

NOTES TO FINANCIAL STATEMENTS (Continued)

SEPTEMBER 30, 2014

2. SUMMARY OF SIGNIFICANT ACCOUNTING POLICIES (Continued)

dividend yields. Due to the nature of these inputs, the valuation of the warrants is considered a Level 3 measurement. The following assumptions were used at September 30, 2014 and December 31, 2013:

 
  September 30, 2014   December 31, 2013  
 
  Common stock
warrant liability
  Series B-1
preferred stock
warrant liability
  Series B
preferred stock
warrant liability
 

Estimated remaining term

    7.59 years     0.25 years     8.4 years  

Dividend yield

    0.00%     0.00%     0.00%  

Risk-free interest rate

    2.27%     0.38%     2.75%  

Fair value of underlying instrument

    $6.42     $7.00     $7.00  

Volatility

    77%     71%     70%  

        The warrant liability is recorded on its own line item on the Company's Balance Sheet and is marked-to-market at each reporting period with the change in fair value recorded on its own line in the Statement of Operations and Comprehensive Loss.

Recent Accounting Pronouncements

        On June 10, 2014, FASB issued ASU No. 2014-10, "Development Stage Entities (Topic 915): Elimination of Certain Financial Reporting Requirements, Including an Amendment to Variable Interest Entities Guidance in Topic 810, Consolidation" ("ASU 2014-10"). ASU 2014-10 eliminates the accounting and reporting differences in U.S. GAAP between development stage entities and other operating entities, including the presentation of inception-to-date financial statement information and the development stage entity financial statement label. FASB guidance related to Risks and Uncertainties and FASB guidance utilized to determine if an entity is a variable interest entity now applies to entities that have not commenced planned principal operations. These changes will provide more consistent consolidation analysis and decisions among reporting entities. While these amendments are retrospectively effective for annual reporting periods beginning after December 15, 2014, early adoption is permitted for any annual reporting period or interim period for which the entity's financial statements have not yet been issued. The Company has elected early adoption in the current period. The Company's adoption of this standard did not have a significant impact on its financial position, results of operations or cash flows.

        In August 2014, the FASB issued ASU No. 2014-15, "Presentation of Financial Statements-Going Concern (Subtopic 205-40): Disclosure of Uncertainties about an Entity's Ability to Continue as a Going Concern," which defines management's responsibility to assess an entity's ability to continue as a going concern, and to provide related footnote disclosures if there is substantial doubt about its ability to continue as a going concern. The pronouncement is effective for annual reporting periods ending after December 15, 2016 with early adoption permitted. The adoption of this guidance is not expected to have a material impact on the Company's financial statements.

F-40


Table of Contents


TREVENA, INC.

NOTES TO FINANCIAL STATEMENTS (Continued)

SEPTEMBER 30, 2014

3. NET LOSS PER COMMON SHARE

        The following table sets forth the computation of basic and diluted net loss per share for the periods indicated:

 
  Three Months Ended
September 30,
  Nine Months Ended
September 30,
 
 
  2014   2013   2014   2013  

Basic and diluted net loss per common share calculation:

                         

Net loss and comprehensive loss

  $ (15,534,872 ) $ (8,781,978 ) $ (36,403,967 ) $ (16,345,740 )

Accretion of redeemable convertible preferred stock

    —     (85,562 )   (28,521 )   (248,149 )
                   

Net loss attributable to common stockholders

  $ (15,534,872 ) $ (8,867,540 ) $ (36,432,488 ) $ (16,593,889 )
                   
                   

Weighted average common shares outstanding

    26,366,300     793,268     23,036,366     746,587  
                   
                   

Net loss per share of common stock—basic and diluted

  $ (0.59 ) $ (11.18 ) $ (1.58 ) $ (22.23 )
                   
                   

        The following outstanding securities at September 30, 2014 and 2013 have been excluded from the computation of diluted weighted shares outstanding, as they would have been anti-dilutive:

 
  September 30,  
 
  2014   2013  

Redeemable convertible preferred stock

    —     15,619,271  

Options outstanding

    3,552,124     2,804,264  

Warrants

    30,258     288,705  
           

Total

    3,582,382     18,712,240  
           
           

4. LONG TERM DEBT

        On September 19, 2014, the Company entered into a loan and security agreement with Oxford Finance LLC, as collateral agent and lender and Square 1 Bank, as lender pursuant to which the lenders have agreed to lend the Company up to $35.0 million in a series of term loans. Upon entering into the agreement, the Company borrowed $2.0 million from the lenders ("Term Loan A"). The Company may, at its sole discretion, borrow from the lenders:

    •
    up to an additional $16.5 million, at any time on or before June 30, 2015 ("Term Loan B",) subject to the Company's satisfaction of specified conditions precedent related to the results of the Company's ongoing Phase 2 studies of TRV130; and

    •
    an additional $16.5 million, at any time on or before March 31, 2016 ("Term Loan C" and together with Term Loan A and Term Loan B, the "Term Loans"), subject to the Company's

F-41


Table of Contents


TREVENA, INC.

NOTES TO FINANCIAL STATEMENTS (Continued)

SEPTEMBER 30, 2014

4. LONG TERM DEBT (Continued)

      satisfaction of specified conditions precedent related to the results of the Company's ongoing Phase 2 studies of TRV027.

        The proceeds from Term Loan A and future proceeds, if any, from Term Loan B and/or Term Loan C may be used to satisfy the Company's future working capital needs, potentially including the development of its clinical and preclinical product candidates.

        The Company's obligations under the loan and security agreement are secured by a first priority security interest in substantially all of the assets of the Company, other than intellectual property. The Company has agreed not to pledge or otherwise encumber its intellectual property, other than through grants of certain permitted non-exclusive or exclusive licenses or other conveyances of its intellectual property.

        The term loans will accrue interest at a fixed rate of 6.50% per annum. The Company is required to make payments of interest only on Term Loan A on a monthly basis through and including October 1, 2015, after which consecutive equal monthly payments of principal, plus accrued interest, will be due until December 1, 2018. Both of these dates may be modified with respect to the term loans, as applicable, as follows:

    •
    If the Company meets the conditions to draw Term Loan B on or before June 30, 2015, then the date until which the Company is required to make payments of interest only will be extended to April 1, 2016.

    •
    If the Company meets the conditions to draw Term Loan C on or before March 31, 2016, then the date until which the Company is required to make payments of interest only will be extended to October 1, 2016.

    •
    If the Company meets the condition to draw Term Loan B on or before June 30, 2015, the condition to draw Term Loan C on or before March 31, 2016, and the Company has received net cash proceeds of at least $50,000,000 from its existing strategic partnership and collaborative license option agreement with Actavis or another strategic partnership in form and substance satisfactory to the lenders, then the date until which consecutive equal monthly payments of principal, plus accrued interest, will be due will be extended to September 1, 2019.

        The Company has paid the lenders a facility fee of $175,000 in connection with the execution of the loan and security agreement. Upon the last payment date of the amounts borrowed under the agreement, the Company will be required to pay the lenders a final payment fee equal to 5.25% of the term loans borrowed and subject to adjustment as follows:

    •
    If either the Company meets the conditions to draw Term Loan B on or before June 30, 2015 or the conditions to draw Term Loan C on or before March 31, 2016, then the Company will be required to pay the lenders a final payment fee equal to 6.1%;

    •
    If the Company meets both the conditions to draw Term Loan B on or before June 30, 2015 and the conditions to draw Term Loan C on or before March 31, 2016, then the Company will be required to pay the lenders a final payment fee equal to 6.6%; and

F-42


Table of Contents


TREVENA, INC.

NOTES TO FINANCIAL STATEMENTS (Continued)

SEPTEMBER 30, 2014

4. LONG TERM DEBT (Continued)

    •
    If the Company meets the condition to draw Term Loan B on or before June 30, 2015, the condition to draw Term Loan C on or before March 31, 2016, and the Company has received net cash proceeds of at least $50,000,000 from its existing strategic partnership and collaborative license option agreement with Actavis or another strategic partnership in form and substance satisfactory to the lenders, then the Company will be required to pay the lenders a final payment fee equal to 7.0%.

        In addition, if the Company repays the term loans before the applicable maturity date, it will pay the lender a prepayment fee of 3.00% of the total amount prepaid if the prepayment occurs prior to the first anniversary of the funding of the applicable term loan, 2.00% percent of the total amount prepaid if the prepayment occurs between the first and second anniversary of the funding of the applicable term loan, and 1.00% percent of the total amount prepaid if the prepayment occurs on or after the second anniversary of the funding of the applicable term loan.

        The loan and security agreement includes affirmative and restrictive covenants, including: (a) financial reporting requirements; (b) limitations on the incurrence of indebtedness; (c) limitations on liens; (d) limitations on certain merger and acquisition transactions; (e) limitations on dispositions of certain assets; (f) limitations on fundamental corporate changes (including changes in control); (g) limitations on investments; (h) limitations on payments and distributions and (i) other covenants. The agreement also contains certain events of default, including for payment defaults, breaches of covenants, a material adverse change in the collateral, the Company's business, operations or condition (financial or otherwise), certain levies, attachments and other restraints on the Company's business, insolvency, defaults under other agreements and misrepresentations.

        Three Point Capital, LLC served as a placement agent in connection with the term loans. The Company paid Three Point $65,000 upon execution of the loan and security agreement and will be obligated to pay up to an additional $175,000 if the Company draws on Term Loan B and Term Loan C.

        In connection with entering into the loan and security agreement, the Company issued to each of Oxford, Square 1 and Three Point warrants to purchase shares of the Company's common stock. The warrants are exercisable, in whole or in part, immediately, and have a per share exercise price of $5.8610, which is the average closing price of the Company's common stock on the NASDAQ Global Market for the ten trading days prior to the effective date of the agreement. The warrants may be exercised on a cashless basis. The warrants will terminate on the earlier of September 19, 2024 or the closing of a merger or consolidation transaction in which the Company is not the surviving entity. If the Company borrows Term Loan B and/or Term Loan C, upon the funding of such Term Loan, the Company will issue additional warrants to purchase shares of the Company's common stock, each with

F-43


Table of Contents


TREVENA, INC.

NOTES TO FINANCIAL STATEMENTS (Continued)

SEPTEMBER 30, 2014

4. LONG TERM DEBT (Continued)

a per share exercise price of $5.8610 and on substantially the same terms as those contained in the warrants. The number of warrants issued or issuable by the Company is as follows:

Entity
  Shares Underlying Warrants
Issued on the Effective Date
  Maximum Number of Shares
Underlying Warrants Issuable
Assuming Full Draw of Term
Loan B
  Maximum Number of Shares
Underlying Warrants Issuable
Assuming Full Draw of Term
Loan C
 

Oxford

    4,875     40,217     40,217  

Square 1

    1,950     16,087     16,087  

Three Point

    853     7,038     7,038  

        The maximum aggregate number of shares underlying additional warrants that can be issued by the Company to the lenders under the loan and security agreement and to Three Point under the placement agent arrangement is 126,685.

        As of September 30, 2014, only Term Loan A has been issued, all of which remains outstanding as of such date. The initial maturity date is December 1, 2018 and the loan bears interest at an annual rate of 6.5%. The loan is not convertible and is secured by substantially all of the Company's assets. Interest expense of $4,333 was recorded in September.

        The Company incurred lender and third party costs of $0.2 million and $0.1 million, respectively, related to the issuance of Term Loan A. The lender costs are classified as a debt discount, a contra-liability on our balance sheet. The third party costs will be classified as deferred financing fees, an asset on our balance sheet. Both the debt discount and deferred financing fees will be amortized over the life of the Term Loan using the effective interest method.

        The following table summarizes how the issuance of Term Loan A is reflected on our balance sheet at September 30, 2014:

 
  September 30,
2014
 

Gross proceeds

  $ 2,000,000  

Amortization of debt discount

    (225,988 )
       

Carrying value

  $ 1,774,012  
       
       

        In connection with the issuance of debt, on September 19, 2014, the Company issued to the lenders and the placement agent in the transaction warrants to purchase an aggregate of 7,678 shares of the Company's common stock. These detachable warrant instruments have qualified for equity classification and have been allocated upon the relative fair value of the base instrument and the warrants, according to the guidance of ASC 470-20-25-2.

5. STOCKHOLDERS' (DEFICIT) EQUITY

        On February 5, 2014, the Company issued and sold 9,250,000 shares of common stock in an IPO at a price of $7.00 per share, for aggregate gross proceeds of $64.8 million. On March 6, 2014, in connection with the partial exercise of the IPO underwriters' over-allotment option, the Company sold an additional 270,449 shares of common stock at a price of $7.00 per share, for aggregate gross proceeds of approximately $1.9 million.

F-44


Table of Contents


TREVENA, INC.

NOTES TO FINANCIAL STATEMENTS (Continued)

SEPTEMBER 30, 2014

5. STOCKHOLDERS' (DEFICIT) EQUITY (Continued)

        As of December 31, 2013, the Company had outstanding the following redeemable convertible preferred stock that converted into common shares on a one-for-6.2 basis upon consummation of the Company's IPO:

 
  Preferred
Shares
Outstanding
  Conversion
into Common
Shares upon
IPO
 

Series A

    25,074,999     4,044,354  

Series B

    30,800,000     4,967,741  

Series B-1

    4,750,000     766,129  

Series C

    36,764,704     5,929,789  
           

Total

    97,389,703     15,708,013  
           
           

        In connection with the issuance of the Company's Series B-1 preferred shares in 2011, the Company issued warrants to purchase 1,650,000 shares of the Company's Series B-1 Preferred Stock. Additionally, in connection with a banking facility entered into in 2011, the Company issued a warrant to purchase 125,000 shares of Series B preferred stock. As of December 31, 2013, the fair value of the warrants outstanding of $350,519 was recognized as a liability in the Company's balance sheet. Upon the Company's IPO, 1,100,000 of the outstanding Series B-1 warrants were net exercised into 20,273 shares of common stock and the remaining fair value of $145,256 associated with these particular warrants was reclassified to additional paid-in capital. The warrant to purchase 125,000 shares of Series B preferred stock was converted into a warrant to purchase up to 20,161 shares of the Company's common stock and remains outstanding with a fair value recorded as a liability of $95,741 at September 30, 2014 as it contains a cash settlement feature upon certain strategic transactions.

        Under its certificate of incorporation, the Company was authorized to issue up to 100,000,000 and 132,000,000 shares of common stock as of September 30, 2014 and December 31, 2013, respectively. The Company also was authorized to issue up to 5,000,000 shares of preferred stock as of September 30, 2014. The Company is required, at all times, to reserve and keep available out of its authorized but unissued shares of common stock sufficient shares to effect the conversion of the shares of the preferred stock and all outstanding stock options and warrants.

6. 2008 AND 2013 EQUITY INCENTIVE PLANS

        In January 2008, the Company adopted the 2008 Equity Incentive Plan, as amended on February 29, 2008, January 7, 2010, July 8, 2010, December 10, 2010, June 23, 2011 and June 17, 2013 (collectively, the 2008 Plan) that authorized the Company to grant up to 3,310,990 shares of common stock to eligible employees, directors and consultants to the Company, in the form of restricted stock and stock options.

        In 2013, the Company adopted the 2013 Equity Incentive Plan, as amended on May 14, 2014 (collectively, the 2013 Plan), that reserves for issuance under the plan up to 1,711,290 shares of common stock. The 2013 Plan contains an "evergreen" provision, pursuant to which the number of shares of common stock available for issuance under the plan will automatically increase on January 1 of each year beginning in 2015. The 2013 plan became effective upon the January 2014 IPO and, as of

F-45


Table of Contents


TREVENA, INC.

NOTES TO FINANCIAL STATEMENTS (Continued)

SEPTEMBER 30, 2014

6. 2008 AND 2013 EQUITY INCENTIVE PLANS (Continued)

such date, the Company may not make further grants under the 2008 plan. The 2013 plan provides for the grant of incentive stock options, or ISOs, nonstatutory stock options, or NSOs, stock appreciation rights, restricted stock awards, restricted stock unit awards, performance-based stock awards and other forms of equity compensation (collectively, stock awards), all of which may be granted to employees, including officers, non-employee directors and consultants of the Company. Additionally, the 2013 plan provides for the grant of cash and stock based performance awards.

        Under both the 2008 and 2013 Plans, the amount, terms of grants and exercisability provisions are determined by the board of directors or its designee. The term of the options may be up to 10 years, and options are exercisable in cash or as otherwise determined by the board of directors. Vesting generally occurs over a period of not greater than four years.

        The estimated grant-date fair value of the Company's share-based awards is amortized ratably over the awards' service periods. Share-based compensation expense recognized was as follows:

 
  Three Months Ended
September 30,
  Nine Months Ended
September 30,
 
 
  2014   2013   2014   2013  

Research and development

  $ 304,885   $ 235,366   $ 921,069   $ 355,030  

General and administrative

    389,481     89,963     968,863     144,712  
                   

Total stock-based compensation

  $ 694,366   $ 325,329   $ 1,889,932   $ 499,742  
                   
                   

 

 
   
  Options Outstanding  
 
  Shares
Available
for Grant
  Number
of Shares
  Weighted-Average
Exercise Price
  Weighted Average
Remaining
Contractual
Term (in years)
 

Balance, December 31, 2013

    83,465     2,795,746   $ 2.52     8.45  

Authorized

    1,711,290     —              

Granted

    (1,044,301 )   1,044,301     6.83        

Exercised

    —     (170,142 )   0.59        

Forfeitures

    117,781     (117,781 )   7.40        
                       

Balance, September 30, 2014

    868,235     3,552,124   $ 3.72     8.28  
                       
                       

Vested or expected to vest at September 30, 2014

          3,501,979   $ 3.68        
                         
                         

Exercisable at September 30, 2014

          1,458,087   $ 1.98        
                         
                         

        The intrinsic value of the options exercisable as of September 30, 2014 was $6.7 million, based on the Company's closing stock price of $6.42 per share and a weighted average exercise price of $1.98 per share.

        The Company uses the Black-Scholes option-pricing model to estimate the fair value of stock options at the grant date. The Black-Scholes model requires the Company to make certain estimates and assumptions, including estimating the fair value of the Company's common stock, assumptions related to the expected price volatility of the Company's stock, the period during which the options will

F-46


Table of Contents


TREVENA, INC.

NOTES TO FINANCIAL STATEMENTS (Continued)

SEPTEMBER 30, 2014

6. 2008 AND 2013 EQUITY INCENTIVE PLANS (Continued)

be outstanding, the rate of return on risk-free investments and the expected dividend yield for the Company's stock.

        The per-share weighted-average grant date fair value of the options granted to employees and directors during the nine months ended September 30, 2014 and 2013 was estimated at $4.50 and $2.40 per share, respectively, on the date of grant using the Black-Scholes option-pricing model with the following weighted-average assumptions:

 
  Nine
Months Ended
September 30,
2014
  Nine
Months Ended
September 30,
2013
 

Risk-free interest rate

    1.82 %   1.94 %

Expected term of options (in years)

    5.87     6.1  

Expected volatility

    75.9 %   80.0 %

Dividend yield

    0 %   0 %

        The weighted-average valuation assumptions were determined as follows:

    •
    Risk-free interest rate: The Company based the risk-free interest rate on the interest rate payable on U.S. Treasury securities in effect at the time of grant for a period that is commensurate with the assumed expected option term.

    •
    Expected term of options: Due to its lack of sufficient historical data, the Company estimates the expected life of its employee stock options using the "simplified" method, as prescribed in Staff Accounting Bulletin (SAB) No. 107, whereby the expected life equals the arithmetic average of the vesting term and the original contractual term of the option.

    •
    Expected stock price volatility: The Company estimated the expected volatility based on actual historical volatility of the stock price of similar companies with publicly-traded equity securities. The Company calculated the historical volatility of the selected companies by using daily closing prices over a period of the expected term of the associated award. The companies were selected based on their enterprise value, risk profiles, position within the industry and with historical share price information sufficient to meet the expected term of the associated award. A decrease in the selected volatility would have decreased the fair value of the underlying instrument.

    •
    Expected annual dividend yield: The Company estimated the expected dividend yield based on consideration of its historical dividend experience and future dividend expectations. The Company has not historically declared or paid dividends to stockholders. Moreover, it does not intend to pay dividends in the future, but instead expects to retain any earnings to invest in the continued growth of the business. Accordingly, the Company assumed an expected dividend yield of 0.0%.

    •
    Estimated forfeiture rate: The Company's estimated annual forfeiture rate on 2014 and 2013 stock option grants was 7% and 5%, respectively, based on the historical forfeiture experience.

        The fair value of the Company's common stock, prior to the Company's initial public offering, was determined by its board of directors with assistance of its management. The board of directors and management considered numerous objective and subjective factors in the assessment of fair value,

F-47


Table of Contents


TREVENA, INC.

NOTES TO FINANCIAL STATEMENTS (Continued)

SEPTEMBER 30, 2014

6. 2008 AND 2013 EQUITY INCENTIVE PLANS (Continued)

including the price for the Company's preferred stock that was sold to investors and the rights, preferences and privileges of the preferred stock and common stock, the Company's financial condition and results of operations during the relevant periods and the status of strategic initiatives. These estimates involved a significant level of judgment.

        As of September 30, 2014, there was $6.7 million of total unrecognized compensation expense related to unvested options that will be recognized over the weighted average remaining period of 3.09 years.

Shares Reserved for Future Issuance

        At September 30, 2014, the Company has reserved the following shares of common stock for issuance:

Common stock options outstanding

    3,552,124  

Common stock options and restricted stock available for future grant (2013 Plan)

    868,235  

Common stock warrants outstanding

    30,258  
       

    4,450,617  
       
       

7. COMMITMENTS AND CONTINGENCIES

Licenses

        On May 3, 2013, the Company entered into an option agreement and a license agreement with Actavis plc (formerly Forest Laboratories Holdings Limited), under which the Company granted to Actavis an exclusive option to license its product candidate, TRV027. If Actavis exercises this option, the license agreement between the Company and Actavis will become effective and Actavis will have an exclusive worldwide license to develop and commercialize TRV027 and specified related compounds. At the Company's request, Actavis will consider in good faith whether to grant the Company the right to co-promote the licensed products in the United States under terms to be agreed upon by the parties. Actavis will be responsible for subsequent development, regulatory approval and commercialization of TRV027 at Actavis' sole cost and expense.

        Under the option agreement, the Company is conducting, at its expense, a Phase 2b trial of TRV027 in acute heart failure. Actavis may exercise its option during the pendency of the Phase 2b clinical trial or during a specified time period after the Company delivers the data from the Phase 2b clinical trial to Actavis. During the option period, the Company is not permitted to negotiate for or enter into any agreement with a third party for the development and commercialization of TRV027 and its related compounds. Under specified circumstances linked to adverse changes in the market or related to the results from the Phase 2b trial of TRV027, Actavis has the right to renegotiate the terms of the license agreement. If Actavis exercises such right, the Company will be obligated to negotiate in good faith with Actavis for a period of time the terms of any new arrangement. If the Company and Actavis are unable to agree on the terms of any new arrangement, then the option agreement will terminate and for a specified period of time thereafter the Company may not offer a license to any third party on terms better than those last proposed by either the Company or Actavis during the

F-48


Table of Contents


TREVENA, INC.

NOTES TO FINANCIAL STATEMENTS (Continued)

SEPTEMBER 30, 2014

7. COMMITMENTS AND CONTINGENCIES (Continued)

negotiations. If Actavis does not exercise the option during the specified period, its option will expire and the license agreement will not become effective. In that case, the Company would be free to enter into a collaboration arrangement with another party for the development and commercialization of TRV027 or to pursue development and commercialization on its own.

        The Company received no consideration upon the grant of the option to Actavis. If Actavis exercises the option, the Company would receive a $65 million option exercise fee and could potentially receive up to $365 million depending upon the achievement of future development and commercial milestones. The Company also could receive tiered royalties between 10% and 20% on net sales of licensed products worldwide, with the royalty rates on net sales of licensed products in the United States being somewhat higher than the royalty rates on net sales of licensed products outside the United States. The term of the royalty on sales of TRV027 for a given country would extend until the latest to occur of (i) 10 years from first commercial sale of TRV027 in that country, (ii) the expiration of the last to expire patent claiming TRV027 that is sufficient to block the entrance of a generic version of the product, or (iii) the expiration of any period of exclusivity granted by applicable law or any regulatory authority in such country that confers exclusive marketing rights on the product.

        If the license agreement becomes effective, Actavis has the right to grant sublicenses under the license agreement to affiliates and third parties. Any sublicensing does not act to relieve Actavis of any of its obligations under the license agreement, including Actavis' obligation to make milestone payments to the Company with respect to TRV027 or pay royalties to the Company on sales of TRV027 by such sublicensee. Under the license, both Actavis and the Company have the right to terminate the agreement in the event of an uncured material breach or insolvency of the other party. In addition, Actavis is permitted to terminate the license agreement without cause at any time upon prior written notice or immediately for product safety reasons. Following a termination of the license agreement, all licenses granted to Actavis would terminate, and Actavis would grant the Company an exclusive royalty bearing license under specified patents and know-how to develop and commercialize reverted licensed products. If not terminated, the license agreement would remain in effect until the expiration of the last royalty term for the last licensed product.

        Actavis participated in the Series C Preferred Stock financing and purchased $30 million of Series C Preferred Stock. Because the Series C Preferred Stock was acquired at the same time as the option agreement, management considered whether the Preferred Stock was issued at fair value and if not, whether the consideration received for the Preferred Stock should be allocated in the financial statements in a manner differently than the price stated in the agreement. The Series C Preferred Stock acquired by Actavis was acquired at the same time and at the same price per share as all of the other investors in the Series C Preferred Stock financing and therefore the preferred stock sold to Actavis was deemed to be issued at fair value and no value was allocated to the option agreement. The Series C Preferred Stock held by Actavis was converted into common shares on a one-for-6.2 basis upon consummation of the Company's initial public offering.

Legal Proceedings

        The Company is not involved in any legal proceeding that it expects to have a material adverse effect on its business, financial condition, results of operations and cash flows.

F-49


Table of Contents

$40,000,000

GRAPHIC

Trevena, Inc.

Common Stock



Prospectus

                           , 2014



Barclays

Cowen and Company

Jefferies



JMP Securities

Needham & Company


Table of Contents


PART II
INFORMATION NOT REQUIRED IN PROSPECTUS

Item 13.    Other Expenses of Issuance and Distribution.

        The following table sets forth all costs and expenses, other than underwriting discounts and commissions, payable by us in connection with the sale of the common stock being registered. All amounts shown are estimates except for the SEC registration fee and the Financial Industry Regulatory Authority, or FINRA, filing fee.

 
  Amount to
be Paid
 

SEC registration fee

  $ 5,346  

FINRA filing fee

    7,400  

Printing and engraving

    *  

Legal fees and expenses

    *  

Accounting fees and expenses

    *  

Transfer agent and registrar fees

    *  

Miscellaneous fees and expenses

    *  
       

Total

  $ *  
       
       

*
To be filed by amendment.

Item 14.    Indemnification of Directors and Officers.

        We are incorporated under the laws of the State of Delaware. Section 102 of the Delaware General Corporation Law permits a corporation to eliminate the personal liability of directors of a corporation to the corporation or its stockholders for monetary damages for a breach of fiduciary duty as a director, except where the director breached his duty of loyalty, failed to act in good faith, engaged in intentional misconduct or knowingly violated a law, authorized the payment of a dividend or approved a stock repurchase in violation of Delaware corporate law or obtained an improper personal benefit.

        Section 145 of the Delaware General Corporation Law provides that a corporation has the power to indemnify a director, officer, employee or agent of the corporation and certain other persons serving at the request of the corporation in related capacities against expenses (including attorneys' fees), judgments, fines and amounts paid in settlements actually and reasonably incurred by the person in connection with an action, suit or proceeding to which he is or is threatened to be made a party by reason of such position, if such person acted in good faith and in a manner he reasonably believed to be in or not opposed to the best interests of the corporation, and, in any criminal action or proceeding, had no reasonable cause to believe his conduct was unlawful, except that, in the case of actions brought by or in the right of the corporation, no indemnification shall be made with respect to any claim, issue or matter as to which such person shall have been adjudged to be liable to the corporation unless and only to the extent that the Court of Chancery or other adjudicating court determines that, despite the adjudication of liability but in view of all of the circumstances of the case, such person is fairly and reasonably entitled to indemnity for such expenses which the Court of Chancery or such other court shall deem proper.

        As permitted by the Delaware General Corporation Law, our amended and restated certificate of incorporation and bylaws provide that: (i) we are required to indemnify our directors to the fullest extent permitted by the Delaware General Corporation Law; (ii) we may, in our discretion, indemnify our officers, employees and agents as set forth in the Delaware General Corporation Law; (iii) we are required, upon satisfaction of certain conditions, to advance all expenses incurred by our directors in connection with certain legal proceedings; (iv) the rights conferred in the bylaws are not exclusive; and

II-1


Table of Contents

(v) we are authorized to enter into indemnification agreements with our directors, officers, employees and agents.

        We have entered into agreements with our directors that require us to indemnify them against expenses, judgments, fines, settlements and other amounts that any such person becomes legally obligated to pay (including with respect to a derivative action) in connection with any proceeding, whether actual or threatened, to which such person may be made a party by reason of the fact that such person is or was a director or officer of us or any of our affiliates, provided such person acted in good faith and in a manner such person reasonably believed to be in, or not opposed to, our best interests. The indemnification agreements also set forth certain procedures that will apply in the event of a claim for indemnification thereunder. At present, no litigation or proceeding is pending that involves any of our directors or officers regarding which indemnification is sought, nor are we aware of any threatened litigation that may result in claims for indemnification.

        We maintain a directors' and officers' liability insurance policy. The policy insures directors and officers against unindemnified losses arising from certain wrongful acts in their capacities as directors and officers and reimburses us for those losses for which we have lawfully indemnified the directors and officers. The policy contains various exclusions.

        In addition, the underwriting agreement filed as Exhibit 1.1 to this Registration Statement provides for indemnification by the underwriters of us and our officers and directors for certain liabilities arising under the Securities Act, or otherwise. Our investor rights agreement with certain investors also provides for cross-indemnification in connection with the registration of the our common stock on behalf of such investors.

Item 15.    Recent Sales of Unregistered Securities.

        The following list sets forth information regarding all unregistered securities sold by us within the past three years.

    1)
    From November 1, 2011 through the date of the Prospectus, we have granted options under our 2008 Equity Incentive Plan to purchase an aggregate of 3,691,567 shares of our common stock to employees, consultants and directors, having exercise prices ranging from $0.06 to $7.44 per share. Of these, options to purchase an aggregate of 503,118 shares have been cancelled without being exercised. During the period from November 1, 2011 through the date of the Prospectus, an aggregate of 489,512 shares were issued upon the exercise of stock options, at exercise prices between $0.06 and $2.23 per share, for aggregate proceeds of approximately $192,476.

    2)
    In December 2011, we issued and sold to investors an aggregate of 7,600,000 shares of Series B preferred stock, at a purchase price of $1.00 per share, for aggregate consideration of $7.6 million.

    3)
    In December 2011, we issued and sold to investors an aggregate of 2,400,000 shares of Series B-1 preferred stock, along with warrants to purchase up to 1,200,000 shares of Series B-1 preferred stock, for an aggregate purchase price of $1.00 per share and related warrant, for aggregate consideration of $2.4 million. The warrants had an exercise price of $1.00 per share of Series B-1 preferred stock.

    4)
    In May 2013, we issued and sold to investors an aggregate of 36,764,704 shares of Series C preferred stock, at a purchase price of $1.632 per share, for aggregate consideration of $60.0 million.

    5)
    In November 2013, upon the exercise of then-outstanding warrants, we issued and sold to investors an aggregate of 550,000 shares of Series B-1 preferred stock, at a purchase price of $1.00 per share, for aggregate consideration of $550,000.

II-2


Table of Contents

        The offers, sales and issuances of the securities described in paragraph (1) were exempt from registration under Rule 701 promulgated under the Securities Act in that the transactions were under compensatory benefit plans and contracts relating to compensation as provided under Rule 701. The recipients of such securities were our employees, directors or consultants and received the securities under our 2008 Equity Incentive Plan. Appropriate legends were affixed to the securities issued in these transactions.

        The offers, sales and issuances of the securities described in paragraphs (2), (3), (4) and (5) were exempt from registration under Section 4(a)(2) of the Securities Act and Regulation D promulgated under the Securities Act. The recipients represented to us that they acquired the securities for investment only and not with a view to or for sale in connection with any distribution thereof and appropriate legends were affixed to the securities issued in these transactions. The recipients represented to us that they were accredited investors as defined in Rule 501 promulgated under the Securities Act.

Item 16.    Exhibits and Financial Statement Schedules.

    (a)
    Exhibits

Exhibit
Number
  Description of Document
  1.1 † Form of Underwriting Agreement.

 

3.1

 

Amended and Restated Certificate of Incorporation (incorporated by reference to Exhibit 3.1 to the Registrant's Current Report on Form 8-K, filed with the SEC on February 5, 2014).

 

3.2

 

Amended and Restated Bylaws (incorporated by reference to Exhibit 3.2 to the Registrant's Current Report on Form 8-K, filed with the SEC on February 5, 2014).

 

4.1

 

Reference is made to exhibits 3.1 through 3.2.

 

4.2

 

Specimen stock certificate evidencing shares of Common Stock (incorporated by reference to Exhibit 4.2 to the Registrant's Registration Statement on Form S-1, as amended (File No. 333-191643), originally filed with the SEC on October 9, 2013).

 

4.3

 

Form of Warrant dated September 19, 2014 issued by Trevena, Inc. to Oxford Finance LLC, Square 1 Bank and Three Point Capital, LLC (incorporated by reference to Exhibit 4.1 to the Registrant's Current Report on Form 8-K, filed with the SEC on September 22, 2014).

 

5.1

†

Opinion of Cooley LLP as to legality.

 

10.1

*

License Agreement, dated as of May 3, 2013, by and between the Registrant and Forest Laboratories Holdings Limited (now Actavis plc) (incorporated by reference to Exhibit 10.1 to the Registrant's Registration Statement on Form S-1, as amended (File No. 333-191643), originally filed with the SEC on October 9, 2013).

 

10.2

*

Option Agreement, dated as of May 3, 2013, by and between the Registrant and Forest Laboratories Holdings Limited (now Actavis plc) (incorporated by reference to Exhibit 10.2 to the Registrant's Registration Statement on Form S-1, as amended (File No. 333-191643), originally filed with the SEC on October 9, 2013).

 

10.3

 

Warrant to purchase shares of Series B preferred stock issued to Comerica Bank, dated December 9, 2011 (incorporated by reference to Exhibit 10.3 to the Registrant's Registration Statement on Form S-1, as amended (File No. 333-191643), originally filed with the SEC on October 9, 2013).

II-3


Table of Contents

Exhibit
Number
  Description of Document
  10.4   Warrant to purchase shares of Common Stock issued to Silicon Valley Bank, dated June 24, 2008 (incorporated by reference to Exhibit 10.4 to the Registrant's Registration Statement on Form S-1, as amended (File No. 333-191643), originally filed with the SEC on October 9, 2013).

 

10.5

 

Amended and Restated Investor Rights Agreement, dated as of May 3, 2013, by and among the Registrant and certain of its stockholders (incorporated by reference to Exhibit 10.5 to the Registrant's Registration Statement on Form S-1, as amended (File No. 333-191643), originally filed with the SEC on October 9, 2013).

 

10.6

 

Commercial Lease Agreement, dated as of August 4, 2008, by and between the Registrant and Pios Grande KOP Business Center, L.P. (successor-in-interest to KOPBC, Inc.) (incorporated by reference to Exhibit 10.6 to the Registrant's Registration Statement on Form S-1, as amended (File No. 333-191643), originally filed with the SEC on October 9, 2013).

 

10.7

 

Amendment No. 1 to Commercial Lease Agreement, dated as of December 8, 2008, by and between the Registrant and Pios Grande KOP Business Center, L.P. (successor-in-interest to KOPBC, Inc.) (incorporated by reference to Exhibit 10.7 to the Registrant's Registration Statement on Form S-1, as amended (File No. 333-191643), originally filed with the SEC on October 9, 2013).

 

10.8

 

Amendment No. 2 to Commercial Lease Agreement, dated as of July 3, 2013, by and between the Registrant and Pios Grande KOP Business Center, L.P. (successor-in-interest to KOPBC, Inc.) (incorporated by reference to Exhibit 10.8 to the Registrant's Registration Statement on Form S-1, as amended (File No. 333-191643), originally filed with the SEC on October 9, 2013).

 

10.9

#

Third Amendment to Commercial Lease Agreement, dated as of February 21, 2014, by and between the Registrant and Pios Grande KOP Business Center, L.P. (successor-in-interest to KOPBC, Inc.).

 

10.10

+

2008 Equity Incentive Plan, as amended to date (incorporated by reference to Exhibit 10.9 to the Registrant's Registration Statement on Form S-1, as amended (File No. 333-191643), originally filed with the SEC on October 9, 2013).

 

10.11

+

Form of Stock Option Agreement under 2008 Equity Incentive Plan (incorporated by reference to Exhibit 10.10 to the Registrant's Registration Statement on Form S-1, as amended (File No. 333-191643), originally filed with the SEC on October 9, 2013).

 

10.12

+

2013 Equity Incentive Plan (incorporated by reference to Exhibit 99.1 to the Registrant's Registration Statement on Form S-8 (File No. 333-195957), filed with the SEC on May 14, 2014).

 

10.13

+

Form of Stock Option Grant Notice and Stock Option Agreement under 2013 Equity Incentive Plan (incorporated by reference to Exhibit 10.12 to the Registrant's Registration Statement on Form S-1, as amended (File No. 333-191643), originally filed with the SEC on October 9, 2013).

 

10.14

+

Form of Restricted Stock Grant Notice and Restricted Stock Unit Award Agreement under 2013 Equity Incentive Plan (incorporated by reference to Exhibit 10.13 to the Registrant's Registration Statement on Form S-1, as amended (File No. 333-191643), originally filed with the SEC on October 9, 2013).

 

10.15

+

Non-Employee Director Compensation Plan (incorporated by reference to Exhibit 10.1 to the Registrant's Form 8-K filed with the SEC on July 1, 2014).

II-4


Table of Contents

Exhibit
Number
  Description of Document
  10.16 + 2013 Employee Stock Purchase Plan (incorporated by reference to Exhibit 10.15 to the Registrant's Registration Statement on Form S-1, as amended (File No. 333-191643), originally filed with the SEC on October 9, 2013).

 

10.17

+

Form of Indemnity Agreement with executives and directors (incorporated by reference to Exhibit 10.16 to the Registrant's Registration Statement on Form S-1, as amended (File No. 333-191643), originally filed with the SEC on October 9, 2013).

 

10.18

+

Employment Agreement dated as of January 31, 2014, by and between the Registrant and Maxine Gowen (incorporated by reference to Exhibit 10.17 to the Registrant's Form 10-K filed with the SEC on March 20, 2014).

 

10.19

+

Employment Agreement dated as of January 31, 2014, by and between the Registrant and Michael Lark (incorporated by reference to Exhibit 10.18 to the Registrant's Form 10-K filed with the SEC on March 20, 2014).

 

10.20

+

Employment Agreement dated as of January 31, 2014, by and between the Registrant and Roberto Cuca (incorporated by reference to Exhibit 10.19 to the Registrant's Form 10-K filed with the SEC on March 20, 2014).

 

10.21

+

Employment Agreement dated as of January 31, 2014, by and between the Registrant and David Soergel (incorporated by reference to Exhibit 10.20 to the Registrant's Form 10-K filed with the SEC on March 20, 2014).

 

10.22

+

Employment Agreement dated as of January 31, 2014, by and between the Registrant and Rosamond Deegan (incorporated by reference to Exhibit 10.21 to the Registrant's Form 10-K filed with the SEC on March 20, 2014).

 

10.23

+

Employment Agreement dated as of May 12, 2014, by and between the Registrant and John M. Limongelli (incorporated by reference to Exhibit 10.1 to the Registrant's Form 8-K filed with the SEC on May 15, 2014).

 

10.24

 

Loan and Security Agreement, dated September 19, 2014, by and among Trevena, Inc., as borrower, Oxford Finance LLC, as collateral agent and lender, and Square 1 Bank, as lender (incorporated by reference to Exhibit 10.1 to the Registrant's Current Report on Form 8-K, filed with the SEC on September 22, 2014).

 

23.1

#

Consent of Ernst & Young LLP, independent registered public accounting firm.

 

23.2

†

Consent of Cooley LLP (included in Exhibit 5.1).

 

101

#

The following financial information from this Registration Statement on Form S-1 for the periods ended December 31, 2013 and September 30, 2014, formatted in XBRL (eXtensible Business Reporting Language): (i) Balance Sheets as of December 31, 2013, September 30, 2013 and September 30, 2014, (ii) Statements of Operations and Comprehensive Loss for the three and nine months ended September 30, 2014 and 2013, (iii) Statement of Redeemable Convertible Preferred Stock and Stockholders' (Deficit) Equity as of September 30, 2014, (iv) Statements of Cash Flows for the nine months ended September 30, 2014 and 2013 and (v) Notes to Financial Statements, tagged as blocks of text.

#
Filed herewith.

†
To be filed by amendment.

+
Indicates management contract or compensatory plan.

II-5


Table of Contents

*
Portions of this exhibit, indicated by asterisks, have been omitted pursuant to a request for confidential treatment and have been separately filed with the Securities and Exchange Commission.
    (b)
    Financial Statement Schedules

        No financial statement schedules are provided because the information called for is not required or is shown either in the financial statements or the notes thereto.

Item 17.    Undertakings.

        Insofar as indemnification for liabilities arising under the Securities Act may be permitted to directors, officers and controlling persons of the Registrant pursuant to the foregoing provisions, or otherwise, the Registrant has been advised that in the opinion of the Securities and Exchange Commission such indemnification is against public policy as expressed in the Securities Act and is, therefore, unenforceable. In the event that a claim for indemnification against such liabilities (other than the payment by the Registrant of expenses incurred or paid by a director, officer or controlling person of the Registrant in the successful defense of any action, suit or proceeding) is asserted by such director, officer or controlling person in connection with the securities being registered, the Registrant will, unless in the opinion of its counsel the matter has been settled by controlling precedent, submit to a court of appropriate jurisdiction the question whether such indemnification by it is against public policy as expressed in the Securities Act and will be governed by the final adjudication of such issue.

        The undersigned Registrant hereby undertakes that:

    (1)
    For purposes of determining any liability under the Securities Act, the information omitted from the form of prospectus filed as part of this Registration Statement in reliance upon Rule 430A and contained in a form of prospectus filed by the Registrant pursuant to Rule 424(b)(1) or (4) or 497(h) under the Securities Act shall be deemed to be part of this Registration Statement as of the time it was declared effective.

    (2)
    For the purpose of determining any liability under the Securities Act, each post-effective amendment that contains a form of prospectus shall be deemed to be a new registration statement relating to the securities offered therein, and the offering of such securities at that time shall be deemed to be the initial bona fide offering thereof.

II-6


Table of Contents


SIGNATURES

        Pursuant to the requirements of the Securities Act, the Registrant has duly caused this Registration Statement to be signed on its behalf by the undersigned, thereunto duly authorized, in the City of King of Prussia, State of Pennsylvania, on the 19th day of November 2014.

  TREVENA, INC.

 

By:

 

/s/ ROBERTO CUCA


      Roberto Cuca

      Chief Financial Officer

        KNOW ALL BY THESE PRESENTS, that each person whose signature appears below hereby constitutes and appoints Maxine Gowen, Ph.D., Roberto Cuca and John M. Limongelli, and each of them, his or her true and lawful agent, proxy and attorney-in-fact, with full power of substitution and resubstitution, for him or her and in his or her name, place and stead, in any and all capacities, to (i) act on, sign and file with the Securities and Exchange Commission any and all amendments (including post-effective amendments) to this registration statement together with all schedules and exhibits thereto and any subsequent registration statement filed pursuant to Rule 462(b) under the Securities Act of 1933, as amended, together with all schedules and exhibits thereto, (ii) act on, sign and file such certificates, instruments, agreements and other documents as may be necessary or appropriate in connection therewith, (iii) act on and file any supplement to any prospectus included in this registration statement or any such amendment or any subsequent registration statement filed pursuant to Rule 462(b) under the Securities Act of 1933, as amended, and (iv) take any and all actions which may be necessary or appropriate to be done, as fully for all intents and purposes as he or she might or could do in person, hereby approving, ratifying and confirming all that such agent, proxy and attorney-in-fact or any of his substitutes may lawfully do or cause to be done by virtue thereof.

        Pursuant to the requirements of the Securities Act, this Registration Statement has been signed by the following persons in the capacities and on the dates indicated.

Signature
 
Title
 
Date

 

 

 

 

 
/s/ MAXINE GOWEN, PH.D.

Maxine Gowen, Ph.D.
  President, Chief Executive Officer and Director (Principal Executive Officer)   November 19, 2014

/s/ ROBERTO CUCA

Roberto Cuca

 

Chief Financial Officer (Principal Financial Officer and Principal Accounting Officer)

 

November 19, 2014

/s/ LEON O. MOULDER, JR.

Leon O. Moulder, Jr.

 

Chairman of the Board of Directors

 

November 19, 2014

  

Farah Champsi

 

Director

 

 

II-7


Table of Contents

Signature
 
Title
 
Date

 

 

 

 

 
/s/ MICHAEL R. DOUGHERTY

Michael R. Dougherty
  Director   November 19, 2014

/s/ ADAM M. KOPPEL M.D., PH.D.

Adam M. Koppel M.D., Ph.D.

 

Director

 

November 19, 2014

/s/ JULIE H. MCHUGH

Julie H. McHugh

 

Director

 

November 19, 2014

/s/ FRANCOIS NADER, M.D.

Francois Nader, M.D.

 

Director

 

November 19, 2014

/s/ JAKE R. NUNN

Jake R. Nunn

 

Director

 

November 19, 2014

/s/ BARBARA YANNI

Barbara Yanni

 

Director

 

November 19, 2014

II-8